Abstract
The building materials industry ranks first in terms of carbon emissions and energy consumption within the industrial sector. To achieve the goal of reducing carbon emissions, the development of the green intelligent building materials (GIBMs) industry has become a strategic priority and major demand for the country. Government support plays a vital role in promoting the growth of the GIBMs industry. This paper utilizes evolutionary game theory and Matlab software to analyze the impact of government regulations on the development of the GIBMs industry. The research findings indicate the following. i) Appropriate government control over building materials enterprises is beneficial for the advancement of the GIBMs industry. A balance is necessary, as both excessive control and weak control hinder the industry’s development. ii) Increased financial assistance from the government to enterprises producing GIBMs has a positive influence. This support enables building materials enterprises to overcome technical barriers, drive technological innovation, and encourage construction developers to actively purchase these materials. iii) Stronger government punishment for pollutant emissions by building materials enterprises serves as a catalyst for the production of GIBMs. Stricter penalties motivate these enterprises to adopt more environmentally friendly practices. iv) Moderate to strong government investment in infrastructure has a significant impact. It prompts construction developers to actively choose and purchase GIBMs. In response to government regulations and market demand, building materials enterprises are inclined to produce these environmentally friendly materials. This study emphasizes the importance of government regulations and support in promoting the growth of the GIBMs industry. By implementing appropriate control measures, providing financial assistance, imposing punishments for pollution, and investing in infrastructure, the government can effectively encourage the development of the GIBMs industry. These measures contribute to achieving the double carbon goals and fostering a more sustainable built environment.
Similar content being viewed by others

Introduction
With the development and progress of economy, the environmental problem and the greenhouse effect have aroused wide social concern. The seriousness and urgency of climate change is shared by all countries in the world (Park et al., 2023). Therefore, all countries are adhering to the principle of sustainable development. People gradually realize the influence of various factors on the environment and climate, among which the influence of building materials cannot be ignored (Dong et al., 2023a). The rapid economic development has promoted the rapid development of the building industry. Currently, the Chinese construction industry heavily relies on traditional building materials, which are known for their high energy consumption and significant environmental pollution. The widespread use of these materials has led to severe ecological degradation and pollution (Qian et al., 2023). Traditional building materials hinder the further development of the construction industry. In order to reduce resource consumption and protect the ecological environment, the government should take measures to limit the use of traditional building materials and actively promote the use of low-energy, green and environmental protection building materials. Green intelligent building materials (GIBMs) is the inevitable trend of the development of building materials in the world today (Liu and Guo, 2021).
The raw materials used in traditional building materials are often from various substances in nature, which are classified as organic materials and inorganic materials after factory processing, and sold to construction enterprises for the use of construction projects. The chemical substances used in the processing of traditional building materials, after a period of evaporation exposure, will cause significant damage to human health and cause serious environmental pollution. Common traditional building materials are asphalt concrete, polystyrene insulation board and so on. The so-called GIBM refers to the use of clean production technology in the production process, the use of urban or industrial solid waste produced by no radioactivity, no pollution, non-toxic and harmless, environmental protection and human health are beneficial to the new building materials (Sandanayake et al., 2020). Common GIBM are solar panels, intelligent environmental protection lamps and so on. GIBMs offer several advantages over traditional building materials. Firstly, they are energy-efficient. The production of these materials primarily relies on utilizing tailings, waste slag, garbage, waste liquids, and other waste materials as raw materials. This approach helps to reduce the consumption of natural resources (Zhang et al., 2018). Secondly, GIBMs aid in reducing carbon emissions. During their production, building material companies utilize non-toxic and harmless raw materials and employ low-energy consumption production technologies that do not cause environmental pollution. As a result, the air quality and pollutant emissions comply with the relevant standards. This reduction in carbon emissions contributes to the overall goal of environmental sustainability (Roh et al., 2018). Thirdly, safety is a critical aspect that must be considered. It is imperative to ensure the safety and standardization of the production process to enhance the overall production environment and guarantee that products do not pose any risks to human health. GIBMs provide several functions that contribute to safety, including fire prevention, flame retardation, and heat preservation (He, 2019). The fourth advantage lies in the convenience. GIBMs products are designed and manufactured with a modular approach, making them easy to install. The utilization of GIBMs during the construction process eliminates the generation of dust and environmental pollution, not to mention the use of organic solvents that can harm the ecological environment (Wen et al., 2020). Fifthly, it is important to highlight the renewable nature of GIBMs. The concept behind these materials emphasizes their recyclability, which helps to prevent environmental pollution and damage caused by the production and use of non-renewable materials (Morales et al., 2021).
To achieve peak carbon neutrality is a major strategic decision made by our country. Promoting the development of GIBM industry is an important part of it. With the improvement of people’s environmental awareness and the increasing requirements of society for energy conservation and emission reduction, the application of GIBM has become an important development trend in the construction industry (Dong et al., 2023a). In the traditional building construction, due to excessive reliance on traditional materials, such as brick, cement, etc., the construction industry is faced with problems such as high energy consumption and serious environmental pollution (Qian et al., 2023). GIBM can not only reduce the energy consumption and pollutant emissions of buildings, but also improve the comfort and health of buildings. These materials typically have features such as lower pollutant emissions, longer service life and renewability (Dong et al., 2023a). In building construction, choosing appropriate GIBM is one of the important means to achieve sustainable development. Therefore, exploring how to promote the development of GIBM has become an important issue in the construction industry. Green and low-carbon practices have emerged as a prominent trend in various industries, including the building materials sector. The widespread adoption of green, environmentally friendly, and renewable intelligent building materials is poised to become a significant trend in the industry (Liu and Guo, 2021). This development has the potential to effectively alleviate energy and environmental pressures. By promoting the green transformation and upgrading of building materials enterprises, GIBMs can serve as a new driver of economic growth in China. Their utilization not only aligns with environmental sustainability goals but also enhances the overall efficiency and competitiveness of the industry. Consequently, this trend presents an opportunity for both economic and environmental benefits (Mofidi and Akbari, 2020). Last century in 1990’s, China began the in-depth study of GIBMs, and in the late stage of this period, carried out the certification of building materials green environmental protection (Sánchez Cordero et al., 2019). So far, China in GIBMs research and promotion has made some achievements. However, as a new type of building material, the development and application of GIBMs are still in their infancy, and their development has been hindered to some extent (Wu et al., 2019). One of the challenges in the adoption of GIBMs is the limited number of enterprises involved in their production. Currently, there is a scarcity of enterprises specializing in the manufacturing of these materials (De Luca et al., 2017). A significant portion of building materials companies continues to produce conventional construction materials. However, there are some enterprises that are in the process of transitioning from traditional materials to green and intelligent alternatives. Only a few enterprises have prioritized research, development, and production of GIBMs. These forward-thinking companies actively explore and tap into the sales market for these innovative materials. Their efforts contribute to the expansion of this niche market and the promotion of sustainable building practices. Engaging more enterprises in the production of GIBMs would further accelerate the industry’s development and availability of these eco-friendly options (Wuni et al., 2019). Another challenge in the realm of GIBMs is the relatively slow progress in technical research and development. These materials represent a unique category of functional building materials, capable of not only creating sustainable structures but also positively influencing human health and well-being. However, compared to traditional building materials, the advancement of GIBMs in terms of technical research is lagging behind. Further research and development efforts are needed to enhance their functionality, durability, and cost-effectiveness. By focusing on improving the performance and features of these materials, we can fully capitalize on their potential to create healthier and more environmentally friendly living and working environments. It is essential to invest in scientific studies and collaborations between researchers, manufacturers, and other stakeholders to bridge this gap and maximize the benefits of GIBMs (Remizov et al., 2021). GIBMs are a kind of new functional materials with excellent performance such as demagnetization, noise reduction, dimming, temperature regulation, heat insulation, fire prevention, antistatic. It can not only provide a better living and living environment for human beings, but also create a unique experience (Hu et al., 2023).
Currently, there is a growing demand for building materials with specific functions, such as those produced through clean manufacturing processes. However, the GIBMs industry in China is still in its early stages. This is primarily due to insufficient investment from the government, scientific institutions, and local enterprises in research and development. The industry faces challenges including low technological advancements, a shortage of skilled personnel, and low research output efficiency. These factors contribute to the slower progress and limited availability of GIBMs in the market (Munaro et al., 2020). The lack of sufficient investment and attention from the Chinese government, local units, scientific research institutions, and building materials enterprises has hindered the progress of GIBMs in China. Insufficient funding has resulted in a slow pace of research and development, impeding the advancement of technology in this field. This lack of support and attention has become a serious obstacle to the development of GIBMs. Without adequate resources and focus, researchers and scientists are unable to explore and innovate in this domain. The consequence is a significant delay in the development and implementation of these materials in the construction industry. In addition, the requirements of GIBMs technology are very high (Hossain et al., 2020). Throughout their entire life cycle, green building materials offer significant environmental protection benefits by reducing pollution and resource consumption. They also prioritize the creation of built environments that are conducive to human health and ecological harmony. Additionally, there is an inadequate level of policy guidance and incentives provided by the government to foster the growth of the GIBMs industry. Without clear directives and support, the enthusiasm amongst construction developers to purchase and utilize these materials remains low, resulting in a sluggish development of the industry (Opoku, 2019). Currently, GIBMs are still in their early stages and have not been widely adopted. The existing government measures to promote the use of these materials are also lacking in effectiveness. The lack of widespread acceptance of GIBMs in society can be attributed to several factors, including the imperfect promotion measures undertaken by the government and limited efforts by enterprises in promoting these materials (Abu-Jdayil et al., 2019). GIBMs have social benefit attribute and environmental friendly attribute. Construction developers are not motivated to buy GIBMs because they cannot see the profits brought by GIBMs. It is true that some enterprises may avoid using GIBMs due to a lack of understanding or concerns about high prices (Debrah et al., 2022).
In developed countries across Europe and the United States, the focus on green materials has shifted from a “passive waste management” approach to a more proactive emphasis on “environmental coordination.” This shift has led to a growing popularity of various types of green materials, including new material structures, wall materials, chemical environmental protection materials, and efficient functional materials (Colangelo et al., 2021). By adopting the development approach embraced by developed countries, China has the opportunity to fundamentally transform the high energy consumption and high pollution characteristics of its building materials industry. The key lies in choosing an environmentally-friendly, low-pollution, low-energy consumption, and technology-driven development model. Moreover, it is essential to integrate the construction industry with ecological protection and pollution control, fostering joint development. To achieve this, China can promote the use of environmentally-friendly materials that have a lower carbon footprint and reduce pollution during the manufacturing process. This includes investing in research and development to create innovative materials that are sustainable, energy-efficient, and recyclable. By prioritizing the use of these materials in construction projects, China can significantly reduce environmental impacts (Maraveas, 2020). In the Netherlands, Germany, France and other developed countries, the government has taken GIBMs as an economic development strategy, and actively promoted the development of the industry through the implementation of fiscal subsidies, tax incentives and other policies (MacAskill et al., 2021).
Currently, the GIBMs industry in China is still in its early stages of development. Recognizing the importance of this sector, the government has been implementing measures to address the challenges hindering its progress. However, despite the introduction of various policies, including purchasing subsidies and tax incentives, the overall impact has been less than satisfactory, resulting in a slow development of the GIBMs industry. To accelerate growth in this industry, it is crucial to identify and tackle the specific obstacles that are impeding progress. One significant challenge lies in the high production costs of GIBMs compared to traditional alternatives. This cost disparity often deters developers and builders from opting for these environmentally-friendly materials, as they prioritize the immediate economic gains over long-term sustainability benefits (Xu et al., 2020). The GIBMs industry in China currently faces challenges as many building materials enterprises remain in a wait-and-see state when it comes to producing these environmentally-friendly materials. Furthermore, certain enterprises have resorted to fraudulent practices by deceiving the government to obtain financial subsidies (Darko et al., 2019). Furthermore, there seems to be a disconnect between the government’s optimistic expectations regarding the satisfaction of construction developers and the actual demand for GIBMs. This has resulted in a noticeable gap between the projected purchase of these materials and the reality of their uptake in the market (Zhang et al., 2019). The development of GIBMs industry in China has also come to the key stage. Green building and GIBMs have gradually become an important factor to be considered in construction in China (Li et al., 2020). As the basis of green building, the development of GIBMs has become the key to the development of green building industry. Therefore, how to encourage more building materials enterprises to produce GIBMs, more construction developers to buy GIBMs, and how to regulate the GIBMs market order, are the key issues that government needs to solve in promoting the development of GIBMs industry (Liu et al., 2019a).
The development of the GIBMs industry is a result of collaboration between the government, construction developers, and building materials enterprises in an emerging sector with vast market potential and intense competition. Building materials enterprises play a pivotal role as innovative entities driving the advancement of GIBMs. The government’s financial support, infrastructure development, and regulatory measures provide a solid foundation for the growth of this industry, while the demand from construction developers acts as a catalyst for its progress (Yin et al., 2019a). The application of evolutionary game theory in analyzing the dynamics and behaviors of the government, construction developers, and building materials enterprises in the green intelligent materials industry provides valuable insights into their decision-making processes. By considering bounded rationality, this paper aims to analyze and predict the collective behaviors of these three parties. Through the lens of bounded rationality, the paper examines the decision-making processes of building materials enterprises and construction developers in the game of the GIBMs industry. By using evolutionary game theory, a three-party game model is constructed to analyze the behavioral evolution of these stakeholders under government regulations. This model allows for a deeper understanding of their interactions and strategic choices. By conducting numerical simulations based on the game model, the study aims to derive policy suggestions that promote the development of the GIBMs industry. These suggestions are grounded in the analysis of the behavioral evolution of building materials enterprises and construction developers under government regulations. The simulations provide insights into the potential outcomes and dynamics of the industry, enabling policymakers to make informed decisions. This paper offers a comprehensive analysis of the dynamics and behaviors of the government, construction developers, and building materials enterprises in the GIBMs industry. Through the construction of a three-party game model and numerical simulations, the study provides policy recommendations for promoting industry development. The findings contribute to a better understanding of the decision-making processes and interactions within this industry, facilitating the formulation of effective policies.
The remaining sections of this paper are structured as follows. “Literature review” elaborates on relevant research literature. “Construction of tripartite game model of GIBMs” industry constructs a three-party game model for the GIBMs industry and sets the parameters accordingly. “Tripartite game stability analysis of GIBMs industry” analyzes the game stability of the GIBMs industry. “Tripartite game simulation analysis of GIBMs industry” applies Matlab software for simulation analysis of GIBMs. Finally, based on the research findings, policy recommendations are proposed to promote the development of the GIBMs industry.
Literature review
The current research by scholars on the development of the GIBMs industry under government regulation can be categorized into two areas. The first area focuses on the government’s incentive policies towards the industry. The second area studies the impact of government control measures on the GIBMs industry.
Incentive policies and GIBMs industry
The government should formulate and implement appropriate subsidy policies based on the specific development situation of the GIBMs industry. This will further promote the use of GIBMs and harness their role in environmental protection. Therefore, when the market share of GIBMs is low in the construction materials market, the government should provide policy support. Financial subsidies from the government can propel the development of the GIBMs industry 14. Zhang et al. found that the effect of dynamic subsidy policies adopted by the government is better than that of static subsidy policies (Zhang et al., 2015). Therefore, the government should fully consider the actual situation of industrial development and dynamically adjust the intensity of financial subsidies according to the actual level of building materials enterprises when formulating financial support policies for the GIBMs industry. With the development of GIBMs industry, building materials enterprise technology and research and development gradually become the focus of government financial support (Shurrab et al., 2019). Zhang believed that the high price of GIBMs hinders the development of GIBMs (Zhang, 2022). Enterprises can reduce the production cost of environmentally-friendly and intelligent building materials by incorporating foreign advanced production technology, equipment, and well-established production lines. By acquiring advanced production technology, it is possible to achieve a reduction in the production cost of environmentally-friendly and intelligent building materials through technological innovation. This, in turn, promotes the stable development of the environmentally-friendly and intelligent building materials industry and facilitates the emergence of more green buildings in people’s perspective (Woodhouse et al., 2019). In addition, the government should provide tax incentives, subsidies, and other policies to construction developers who use GIBMs in order to stimulate their enthusiasm for purchasing. Government departments should leverage the influence of the media, cultivate strong connections with the public, create a comprehensive and multi-faceted platform to promote green building materials, and effectively guide public sentiment (Yin et al., 2019b). At the fundamental level, we should promote the utilization of GIBMs and enhance public awareness of their benefits. The government can enhance purchase subsidies for GIBMs, encouraging their market circulation and fostering the growth of the GIBMs industry (Zhao et al., 2023). Dong believed that the differentiation of government financial support policies should be improved. Compared with general enterprises, enterprises producing GIBMs should be given greater financial subsidies, tax incentives and other support (Dong et al., 2023b). Chen believed that the lack of GIBMs industry technology and research and development limits the application and promotion of GIBMs. The government should give policy support in technology and research and development (Chen, 2020). The reform from traditional building materials to GIBMs is a significant industrial revolution in the building materials industry (Meddah et al., 2020). Among them, technological innovation is the key to promote the development of GIBMs industry. Enterprises involved in the production of GIBMs should actively engage with relevant preferential policies introduced by the government. It is crucial for them to take advantage of these policies to promote their research and development efforts in GIBMs production technology. By actively investing in the development of basic technology for GIBMs, enterprises can contribute to the advancement and innovation within the industry. Continuous research and development should be pursued to enhance the selection of raw materials, improve the preparation process, and enhance the performance of GIBMs. This entails a commitment to exploring new materials, refining production techniques, and optimizing product characteristics. By prioritizing research and development, enterprises can enhance the quality, durability, functionality, and sustainability of their GIBMs (Sun et al., 2020). It is crucial for the government to allocate funds to support building materials enterprises in establishing research laboratories specifically dedicated to GIBMs. These laboratories will serve as hubs for innovation, research, and development, facilitating the advancement of the industry. By providing financial support, the government can help enterprises overcome financial barriers and incentivize them to invest in cutting-edge research (Nußholz et al., 2019).
Government control behavior and GIBMs industry
The increase of carbon tax and pollutant discharge charge by the government and the strengthening of control can promote building materials enterprises to choose to produce GIBMs (Li et al., 2022). Liu et al. believed that due to the lack of government regulation and control, some substandard GIBMs flowed into the market, which seriously hindered the development of GIBMs industry (Liu et al., 2019b). Effective regulation of the building materials market is imperative for ensuring the healthy and sustainable development of the industry. The government should enhance its regulatory efforts to curb undesirable practices and promote the use of qualified GIBMs. A zero-tolerance approach towards unqualified materials must be adopted to establish a favorable market environment (Qiao et al., 2022). Jiang et al. found through research that with the strengthening of government punishment, building materials enterprises gradually tend to choose to produce GIBMs (Jiang et al., 2022). At present, government’s policy to promote the development of GIBMs industry is not perfect, and the implementation of the policy is not ideal, which leads to difficulties in the practical promotion of GIBMs (Feng et al., 2020). The government should establish and improve laws and regulations related to the GIBMs industry, protect the rights and interests of all parties, and regulate the GIBMs market (Wang et al., 2022). Especially for the production and sale of building materials with high energy consumption and serious environmental pollution, the government should introduce corresponding policies as soon as possible (He and Chen, 2021). In addition, the government should also stipulate the proportion of GIBMs used in construction projects and provide preferential policies for enterprises producing GIBMs and construction developers purchasing GIBMs (Liu et al., 2022). In the research on the development of GIBMs industry under government regulation and control, some scholars adopt Gini coefficient decomposition method to analyze the effect of the government’s implementation of the regulation of GIBMs industry, some scholars use game model to explore the law of the development of GIBMs industry, and some scholars construct vector autoregressive model to analyze the promoting effect of government procurement on the innovation of GIBMs. Wang et al. built a dynamic game model and used panel data of listed companies to analyze the impact of government subsidies on strategic emerging industries (Wang et al., 2014). Through this study, it can be concluded that the government’s financial support for GIBMs can improve the research and development efficiency of the industry and expand the market. However, at present, the government still has problems such as difficulties in control and lack of punishment for building materials enterprises (Gao et al., 2022).
The above highlights various studies conducted by many scholars on the government’s control of green intelligent buildings. However, these studies have some limitations, which this paper aims to address. One of the shortcomings is the lack of consideration for the government’s role in providing public goods and services to the GIBMs industry. Existing research primarily focuses on the government’s control over building materials enterprises and financial subsidies, neglecting the broader perspective of public support for the industry. Another limitation is the reliance on static analysis methods in examining the development of the GIBMs industry under government regulation. The static approach fails to capture the dynamic characteristics and laws governing the industry’s development process. Additionally, while some scholars have examined the game between the government and building materials enterprises, they have not taken into account the significant role of construction developers as major players within the industry.
To overcome these gaps, this paper proposes the use of evolutionary game theory to construct a game model that explicitly reveals the dynamic evolution process among the government, developers, and building materials companies in the GIBMs industry. By considering bounded rationality, the analysis predicts the collective behavior of these three parties involved in the game. The objective is to provide insights on the behavioral evolution process of building materials companies and constraction developers under regulation. Based on the constructed three-party game model, this study aims to conduct numerical simulations to analyze behavioral patterns and recommend policies that promote the development of the GIBMs industry. By considering the complex interactions and dynamics in the industry, this approach offers a comprehensive understanding of the industry’s evolution and informs policy decisions. In summary, this paper addresses the limitations of previous research by adopting an evolutionary game theory approach to construct a three-party game model for the GIBMs industry. The objective is to analyze the behavioral evolution of building materials companies and developers under regulation and provide policy recommendations through numerical simulations.
Construction of tripartite game model of GIBMs industry
Analysis of the interests of various actors
The game model of GIBMs industry contains three subjects, namely the government, construction developers and building materials enterprises. In the evolutionary game, the government can choose positive regulation or negative regulation, construction developers can choose to buy GIBMs or not, and building materials enterprises can choose to produce GIBMs or not. The game relationship among the three is shown in Fig. 1.
-
(1)
The game between the government and building materials enterprises
The government plays a role in promoting and supervising the development of GIBMs industry. In the process of evolutionary game, the government chooses negative regulation or positive regulation strategy. When the government chooses negative regulation, the government provides technical and research and development subsidies to enterprises engaged in the production of GIBMs, so as to encourage them to produce GIBMs. At the same time, the government is actively building and improving infrastructure such as water, electricity and roads, and encouraging construction developers to buy GIBMs (Dong et al., 2023b). Under positive regulation, in addition to the above incentive policies, the government will also control the behavior of building materials enterprises. In the production process of GIBMs, some enterprises engaged in the production of GIBMs may cheat subsidies through the government’s financial support policies, and put some substandard GIBMs into the market, thus causing chaos in the market order. Therefore, the government will severely crack down on the behavior of building materials enterprises cheating subsidies. At the same time, the non-green manufacturing behavior of building materials enterprises shall be punished to guide building materials enterprises to develop towards the direction of producing GIBMs. Driven by government policies, enterprises will choose corresponding strategies according to their own interests.
-
(2)
The game between the government and construction developers
The government guides construction developers to buy GIBMs, and grants subsidies and tax incentives to those who buy GIBMs, so as to stimulate their consumption. We will increase investment in water, electricity and roads, improve infrastructure, and encourage construction developers to buy GIBMs. Under the guidance of the government, construction developers will weigh the pros and cons and choose whether to buy GIBMs.
-
(3)
Game between building materials enterprises and construction developers
As buyers and sellers of GIBMs market, construction developers and building materials enterprises choose different strategies which will bring different impacts on their income. If building materials enterprises choose to produce GIBMs, construction developers will bring additional benefits to building materials enterprises when they buy GIBMs (MacAskill et al., 2021). construction developers will also choose whether to buy GIBMs based on the products and services provided by building materials companies.
Basic assumptions and parameter settings
Hypothesis 1: The system constituted by the government, building materials enterprises and construction developers is regarded as a complete system without considering other constraints under the “natural environment”. In the evolutionary game model, it is assumed that the government, building materials enterprises and construction developers participating in the game are all in the primary stage of the game, and all participants are bounded rationality (Remizov et al., 2021). The information grasped by the government, building materials enterprises and construction developers participating in the game is not completely symmetrical, and the influence of other players on the players participating in the game is not considered in the game process.
Hypothesis 2: The government, construction developers and building materials enterprises participating in the game should dynamically adjust their own strategies in different stages of the development of GIBMs industry. Given the overall low level of development in the GIBMs industry in China, it becomes imperative for the government to provide necessary policy support to ensure its rapid and healthy growth. Policy interventions can create a favorable environment for the development and adoption of GIBMs. This can include incentives such as tax breaks, grants, and subsidies for building materials enterprises that invest in research and development, production, and promotion of such materials. Additionally, the government can establish regulations and standards that require the use of GIBMs in construction projects, stimulating demand and encouraging market acceptance. Moreover, the government can facilitate the exchange of knowledge and technology by establishing research and development centers, encouraging collaboration between academia, industry, and research institutions (Hossain et al., 2020). This would foster innovation and accelerate advancements in GIBMs. By providing policy support, the government can pave the way for the rapid and healthy development of the GIBMs industry in China. This will not only contribute to sustainable construction practices but also drive economic growth and enhance the overall competitiveness of the building materials sector.
Hypothesis 3: In the evolutionary game model, when the government actively regulates, it will control the subsidy cheating behavior of building materials enterprises and impose penalty H; if the government control intensity is α, the loss of building materials enterprises is αH; if building materials enterprises choose not to produce GIBMs, the government will punish building materials enterprises; if the emission charge and carbon tax F are imposed, the penalty intensity is θ. The penalty fee that the building materials enterprise needs to pay is θF. When the government has negative regulation, the government will support building materials enterprises to produce GIBMs and give financial subsidy V to technological research and development of building materials enterprises. If the government subsidy intensity is β, then the financial subsidy for building materials enterprises is βV. In addition, in order to promote GIBMs, the government will invest P in water, electricity, roads and other infrastructure. If the investment intensity is γ, the government will invest γP in infrastructure. In addition, the government gives tax incentives to construction developers who buy GIBMs.
Hypothesis 4: The direct economic benefit of building materials enterprises producing GIBMs is R1, and the direct economic benefit of building materials enterprises not producing GIBMs is R2. The construction developer’s purchase of GIBMs brings r1 extra income to building materials enterprises. For building materials enterprises, the R&D cost of GIBMs is C1.
Hypothesis 5: The construction developer’s direct income from purchasing GIBMs is R3. The direct income of construction developers who do not buy GIBMs is R4; the government’s construction of water, electricity, road and other infrastructure brings additional income γP to the construction developers who buy GIBMs; and the government’s active regulation brings additional income δR to the construction developers who buy GIBMs.
Hypothesis 6: The strategy selection probabilities of government, construction developers and building materials enterprises participating in the evolutionary game of GIBMs industry are x, y and z, and, and \(x,y,z\in [0,1]\), time are all functions of t.
Payment matrix and strategy solution of tripartite game of GIBMs industry
Based on the above assumptions, the evolutionary game payment matrix of government, construction developers and building materials enterprises is constructed. (See Table 1).
The average expected revenue of the government is
Expected benefits of positive government regulation is
Expected benefits of negative government regulation is
The replication dynamic equation of government regulation is
Average expected revenue of construction developers is
The expected income of construction developers purchasing GIBMs is
construction developers do not buy GIBMs expected revenue is
The replication dynamic equation for construction developers is
Average expected income of building materials enterprises is
Expected income of building materials enterprises choosing to produce GIBMs is
Expected income of building materials enterprises not choosing to produce GIBMs is
The replication dynamic equation of building materials enterprise is
Tripartite game stability analysis of GIBMs industry
Solving the equilibrium point of evolutionary game
In order to find the equilibrium point of the tripartite evolutionary game, let
Then Eq. (13) has 8 equilibrium points on \(R=\{(x,y,z)|0\le x\le 1,0\le y\le 1,0\le z\le 1\}\), A0 (0,0,0), A1 (1,0,0), A2 (1,1,0), A3 (0,1,0), A4 (0,1,1), A5 (1,1,1), A6 (1,0,1), A7 (0,0,1), \(E({x}^{\ast },{y}^{\ast },{z}^{\ast })\) are also in the above solution domain. And satisfies Eq. (14)
By solving Eq. (14), we can obtain
According to evolutionary game theory, when \({{U}_{1}}^{{\prime} }(x) \,<\, 0,{{U}_{2}}^{{\prime} }(y) \,<\, 0,{{U}_{3}}^{{\prime} }(z) \,<\, 0\), then \(E({x}^{\ast },{y}^{\ast },{z}^{\ast })\) is the tripartite game stability strategy (ESS) of the government, construction developers and building materials enterprises, and
Stability analysis of evolutionary game
According to Eqs. (18), (19) and (20), when \({{U}_{1}}^{{\prime} }(x) \,<\, 0,{{U}_{2}}^{{\prime} }(y) \,<\, 0,{{U}_{3}}^{{\prime} }(z) \,<\, 0\), \({x}^{\ast }\), \({y}^{\ast }\) and \({z}^{\ast }\) respectively represent the stable strategies that the government, construction developers and building materials enterprises should choose in the process of evolutionary game.
-
(1)
Analysis of the gradual stability of the government
In formula (18),
$$(\alpha H-\theta F)z+\theta F=0$$Denotes the boundary between steady states, if
$$(\alpha H-\theta F)z+\theta F \,>\, 0$$So \({{U}_{1}}^{{\prime} }(0) \,>\, 0,{{U}_{1}}^{{\prime} }(1) \,<\, 0\), which means that the government chooses positive regulation as the stable state, and chooses negative regulation as the unstable state. If
$$(\alpha H-\theta F)z+\theta F \,<\, 0$$\({{U}_{1}}^{{\prime} }(0) \,<\, 0,{{U}_{1}}^{{\prime} }(1) \,>\, 0\), indicating that the government chooses negative regulation as the stable state, and chooses positive regulation as the unstable state. When \(x\in (0,1)\), \({U}_{1}(x) \,>\, 0\), the evolution phase diagram of its stability depends on the shape of line \((\alpha H-\theta F)z+\theta F=0\).
-
(2)
Analysis of the progressive stability of construction developers
Similarly, in Eq. (19),
$$\delta Rxz+z({R}_{3}+\gamma P+L)-{R}_{4}=0$$Denotes the boundary between steady states, if
$$\delta Rxz+z({R}_{3}+\gamma P+L)-{R}_{4} \,>\, 0$$\({{U}_{2}}^{{\prime} }(0) \,>\, 0,{{U}_{2}}^{{\prime} }(1) \,<\, 0\), indicating that construction developers choose to buy GIBMs is stable state, choose not to buy GIBMs is unstable state; if
$$\delta Rxz+z({R}_{3}+\gamma P+L)-{R}_{4} \,<\, 0$$Then \({{U}_{2}}^{{\prime} }(0) \,<\, 0,{{U}_{2}}^{{\prime} }(1) \,>\, 0\), which means that the construction developer chooses not to buy GIBMs is a stable state, and chooses to buy GIBMs is an unstable state. When \(y\in (0,1)\), \({U}_{2}(y) > 0\), the evolution phase diagram of its stability depends on the shape of the conic \(\delta Rxz+z({R}_{3}+\gamma P+L)-{R}_{4}=0\).
-
(3)
Analysis of progressive stability of building materials enterprises
Similarly, in Eq. (20),
Denotes the boundary between steady states, if
\({{U}_{3}}^{{\prime} }(0) \,>\, 0,{{U}_{3}}^{{\prime} }(1) \,<\, 0\), indicating that the enterprise chooses to produce GIBMs is stable state, choose not to produce GIBMs is unstable state. If
Then \({{U}_{3}}^{{\prime} }(0) \,<\, 0,{{U}_{3}}^{{\prime} }(1) \,>\, 0\), indicating that building materials enterprises choose not to produce GIBMs is a stable state, and choose to produce GIBMs is an unstable state. When \(z\in (0,1)\), \({U}_{3}(z) \,>\, 0\), the evolution phase diagram of its stability depends on the shape of the conic \({r}_{1}y+(\theta F-\alpha H)x+\beta V+{R}_{1}-{R}_{2}-{C}_{1}=0\).
Tripartite game simulation analysis of GIBMs industry
In order to more intuitively and clearly reflect the dynamic evolutionary behavior of the government, construction developers and building materials enterprises, it is necessary to conduct numerical simulation of the evolutionary behavior of the government, construction developers and building materials enterprises. Based on the replicated dynamic equation of the government, construction developers and building materials enterprises and according to the simulation requirements, discretization of Eqs. (4), (8) and (12) is carried out to analyze the progressive and stable operation trajectory of the tripartite evolutionary game of GIBMs. If the time step is set as \(\varDelta T\), then according to the reciprocal definition:
Parameter design
Obtaining relevant data for research can oftentimes be challenging due to various constraints. In this particular study, given the difficulty in acquiring data, alternative approaches will be utilized to address the research objectives. To overcome data limitations, this paper will refer to existing research on the policies surrounding the GIBMs industry as documented in the reference literature. This will provide a basis for understanding the current state of the industry and the policy landscape. Additionally, the basic methodology for setting simulation parameters will utilizing the questionnaire method to gather insights from experts in relevant fields. By consulting these experts, valuable information on the industry can be obtained, and the parameters for the simulation study can be established based on their input. This approach ensures that the simulation model reflects expert opinions and accounts for important factors influencing the industry’s dynamics. Furthermore, a practical case study will be included in the research to verify the conclusions drawn from the simulation analysis. This case study will serve as an empirical example, demonstrating the real-world applicability of the simulation model. By examining how the conclusions derived from the simulation align with the outcomes of the practical case study, the validity and effectiveness of the research findings can be confirmed.
Questionnaire design and data
Based on relevant literature both domestically and internationally, and following mature questionnaire design methods, this paper adopts a semi-open questionnaire for investigation. The questionnaire consists of three main parts: the first part captures basic information about the experts; the second part focuses on the assignment of basic parameters and variable parameters of the payment matrix, such as the setting of tax incentives, financial support, penalty costs, and additional income. It also includes the value range of change parameters for subsidy, input, control, and punishment intensity (low, medium, and high), as well as the parameter setting under different strengths. The third part consists of open-ended questions, where experts provide their opinions on the impact of changing parameters (funding, input, control, punishment) on the GIBMs industry.
To ensure the rationality and scientificity of the simulation parameters, and the credibility and generalizability of the research conclusions, 100 experts were invited to participate in the consultation through real-name questionnaires, the internet, and social media. The 100 experts mainly include technical professionals and managers in the GIBMs industry, experts in related fields from universities, and experts in public management. The survey was conducted from October 2022 to April 2023, during which time 100 questionnaires were sent out, and 92 questionnaires were collected, resulting in a recovery rate of 92%. After collecting the questionnaires, the results provided by each expert were simulated and tested. Following verification, 86 valid questionnaires were obtained, which were consistent with reality. Within the valid questionnaires, 72.09% were male, and 27.91% were female. Additionally, 40.70% held doctorate degrees, 46.51% held master’s degrees, and 12.79% had bachelor’s degrees or lower. In terms of work experience, 37.21% had worked for less than 5 years, 41.86% had worked for more than 5 years but less than 10 years, and 20.93% had worked for 10 years or more. In terms of the types of institutions, 34.88% belonged to enterprises, 38.37% belonged to universities and scientific research institutions, and 26.75% belonged to government departments. The basic characteristics of the sample enterprises are presented in Table 2.
Analysis of questionnaire results
Through sorting out the results of the questionnaire and combining the opinions and suggestions of most experts, the simulation parameters are set.
① In the development process of GIBMs industry, government control is an essential element. The government’s control intensity varies from strong to weak, and different control intensity will have different effects on industrial development. The high level of control means that the government establishes a strict pre-access and post-control mechanism for the GIBMs industry, that is, the government establishes a high-standard market access system. When building materials enterprises cheat subsidies, the government will reduce the support funds, and take measures to cancel the eligibility for capital subsidies and give up government procurement of other building materials for serious cases. Low control intensity means that the government lowers the threshold of access before and control intensity after. Experts differ on whether intensive control can promote the development of GIBMs industry. Some experts believe that high-intensity control is conducive to the development of GIBMs, while others believe that high-intensity control will inhibit the development of GIBMs industry. Some experts believe that only when the control is controlled within a certain range will it affect the development of GIBMs industry. Experts suggest that the control intensity should be distinguished when setting parameters. The control intensity of low intensity should be less than 0.3, the control intensity of medium intensity should be set at about 0.5, and the control intensity of high intensity should be greater than 0.7. According to the results of the questionnaire survey, most experts choose 0.2 to represent the intensity of low-intensity control, 0.5 to represent the intensity of medium-intensity control, and 0.8 to represent the intensity of high-intensity control. Therefore, 0.2, 0.5 and 0.8 are selected in this paper to represent the low, medium and high-intensity control intensity of the three participants in the GIBMs industry.
② The government’s punishment will have an impact on the behavior of the building materials enterprises. The punitive measures taken by the government are to protect the ecological environment and achieve the goal of double carbon. The government can punish the non-green manufacturing behaviors of building materials enterprises in the name of carbon tax and pollutant discharge charges. Low-intensity control means lowering tax rates and reducing taxes, while high-intensity control means raising tax rates and increasing taxes. According to this characteristic, experts suggest that parameter setting should reflect the selective production behavior of building materials enterprises under different punishment intensity as much as possible. In order to intuitively distinguish the impact of different control efforts, experts suggest that the government should set the medium-intensity punishment intensity at about 0.5, lower than 0.5 means low-intensity punishment intensity, and higher than 0.5 means high-intensity punishment intensity. According to the results of the questionnaire survey, most experts chose 0.3 for low-intensity punishment, 0.5 for medium-intensity punishment, and 0.7 for high-intensity punishment. Therefore, 0.3, 0.5 and 0.7 are selected in this paper to represent the low, medium and high intensity punishment of the three parties involved in the GIBMs industry.
③ Government support refers to the financial support given by the government to building materials enterprises on technology and research and development. High support strength indicates that the government’s financial support of building materials enterprises more investment, wide range. Experts believe that different levels of support will have different impacts on participants in the GIBMs industry, and the parameter setting should reflect this difference. The government should, as far as possible, provide technical and R&D financial support to enterprises producing GIBMs, so as to help enterprises overcome technical difficulties and carry out technological innovation activities. Experts suggest that the government’s medium-intensity support should be set at about 0.5, with a level below 0.5 indicating low-intensity support and a level above 0.5 indicating high-intensity support. According to the results of the questionnaire survey, most of the experts chose 0.2 to indicate low-intensity support intensity, 0.5 to indicate medium-intensity support intensity, and 0.9 to indicate high-intensity support intensity. Therefore, 0.2, 0.5, and 0.9 are selected in this paper to represent the low, medium and high strength support of the three parties involved in the GIBMs industry.
④ The government’s investment in water, electricity, roads and other infrastructure affects the development of GIBMs industry. High investment means that the government is actively building infrastructure such as water, electricity and roads. The strength of investment determines the trend of GIBMs industry market. Experts suggest that when setting parameters, the input strength of low intensity should be less than 0.2, the input strength of medium intensity should be set at about 0.5, and the input strength of high intensity should be greater than 0.7. According to the results of the questionnaire survey, most experts choose 0.1 to represent low-intensity input intensity, 0.5 to represent medium-intensity input intensity, and 0.9 to represent high-intensity input intensity. Therefore, 0.1, 0.5 and 0.9 are selected in this paper to represent low, medium and high-intensity input strength respectively. ⑤ Select the value agreed by most experts for parameter setting in the payment matrix of the evolutionary game of GIBMs industry. See Table 3 for details.
Simulation analysis
In this paper, matlab software is used for simulation analysis to discuss the influence of government control, punishment, financial support and infrastructure investment on the GIBMs industry.
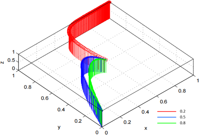
Influence of control intensity α on the tripartite game evolution behavior of GIBMs industry
α values are 0.2 (red), 0.5 (blue) and 0.8 (green), respectively representing the government’s low, medium and high intensity control on the GIBMs industry. The results of its evolutionary game are shown in Fig. 2.
When the control intensity is low or medium, the government’s control will promote the development of GIBMs industry. Therefore, the government will continue to choose the active control strategy. If the control of the GIBMs industry is too strong, the government’s control will promote its development to some extent at the beginning. With the passage of time, too strong control will in turn inhibit the development of GIBMs industry. Therefore, the government is gradually no longer inclined to choose positive regulation, and gradually shifts the support focus to the construction of water, electricity, road and other infrastructure and technology research and development, giving up high-intensity control and punishment.
When the government adopts low or medium control, construction developers are more inclined to buy GIBMs. When the government chooses the high-intensity control, the construction developers will initially choose the strategy of purchasing GIBMs, and the proportion of construction developers choosing to purchase GIBMs gradually increases. Despite strict control measures, building materials enterprises with strong core competitiveness can still produce high-quality GIBMs to meet the demands of construction developers. These enterprises possess the necessary resources, technology, and expertise to develop and manufacture sustainable and environmentally friendly building materials. While increased control measures may discourage some enterprises from initially venturing into the production of GIBMs, it is important to note that over time, the market demand for materials is likely to grow. As environmental awareness continues to rise and construction developers place increasing emphasis on sustainable practices, the demand for GIBMs will become more prevalent. Therefore, it is essential for the government to create a supportive environment that incentivizes building materials enterprises to invest in research and development, foster innovation, and prioritize the production of GIBMs. By doing so, the government can help accelerate the development and adoption of these materials, contributing to more sustainable and eco-friendly construction industry. construction developers can enjoy a good use experience and make more money. However, after a period of development, under the inspection of the government, some building materials enterprises were exposed to defraud the government financial subsidies. This behavior leads to the continuous decline and loss of market share and customer groups, and eventually leads to building materials enterprises to give up the production of GIBMs. Due to the cheating behavior of these enterprises, construction developers have doubts about the quality and safety of GIBMs products, thus affecting the purchase decision of construction developers and increasing the risk of GIBMs market. At this point, core building materials enterprises will eventually give up the production of GIBMs, and construction developers will choose not to buy GIBMs. Therefore, the government and building materials enterprises have the responsibility to promote and educate the construction developers about GIBMs, and help them to have more understanding of the technical indicators and safety common sense of GIBMs, so as to promote the development of the GIBMs industry. To sum up, low intensity control will disturb the market order of GIBMs, medium intensity government control can promote the healthy development of GIBMs industry, while high intensity control will inhibit the development of GIBMs industry.
When the intensity of government control is weak, building materials enterprises are more inclined to produce GIBMs. When the government adopts moderate control, some building materials enterprises will choose not to produce GIBMs for a period of time, and wait and see for a period of time. With the passage of time, the market environment of GIBMs under the control of the government has been gradually improved. With the support of government policies, more and more building materials enterprises produce GIBMs that meet the technical standards and safety requirements, and bring them to the market in time with the help of the government. At the same time, the number of construction developers who buy GIBMs is also gradually increasing, which also has a certain impact on the purchasing behavior of other construction developers. Thus, the market demand for GIBMs has increased, and most building materials enterprises choose to continue to produce GIBMs. The Ministry of Finance has made it clear that it will raise the subsidy threshold for GIBMs and cancel financial assistance for some building materials with low technical indicators. These measures will certainly play a positive role in promoting the development of GIBMs industry. At present, the development of China’s GIBMs industry is still in the early stage of the development, many building materials enterprises in the GIBMs technology is not very mature, therefore, the appearance of some unqualified product. However, after seeing its huge market potential, they will choose to try to produce new products. If the government’s control is too strict, building materials enterprises can hardly meet the technical and quality requirements stipulated by the government in the short term. Therefore, after weighing the advantages and disadvantages, building materials enterprises will choose to give up the production of GIBMs.
Influence of penalty intensity θ on the tripartite game evolution behavior of GIBMs industry
When the penalty intensity θ is 0.3 (red), 0.5 (blue) and 0.7 (green), the corresponding evolutionary game results are shown in Fig. 3.
As can be seen from Fig. 3, with the increase in punishment, the speed of the government’s evolution towards positive regulation is also accelerating. The government’s low-intensity punishment is not enough to restrict the production of building materials enterprises. When the punishment is strong enough, the environmental pollution behavior of building materials enterprises can be restricted, and then promote the promotion of GIBMs, so that more building materials enterprises choose to produce GIBMs. Therefore, the stronger the punishment of the government, the more conducive to the development of GIBMs industry.
When the punishment is weak, the number of construction developers who buy GIBMs will increase at the beginning, but after a period of growth, the number of construction developers who buy GIBMs will decline and eventually develop towards the direction of not buying GIBMs. This is mainly related to the strategy of building materials enterprises not to produce GIBMs under government control. When the penalties increase, construction developers will eventually move toward buying GIBMs. With the increase of punishment, construction developers to buy GIBMs, the faster the evolution of the direction. Therefore, the government should punish the non-green manufacturing behavior of enterprises, so as to promote the production of GIBMs and constantly improve the technical level, bring more benefits to the construction developers, and promote the development of GIBMs industry.
Building materials enterprises often choose not to produce GIBMs when the penalties for non-compliance are insignificant. This is due to the fact that the green intelligent materials industry in China is still in its early stages of development, while traditional building materials continue to generate high profits and hold a significant market share. Although there may be penalties for producing traditional building materials, the relatively small punishments make it more appealing for building materials enterprises to continue manufacturing them rather than venturing into the production of green intelligent materials. On the other hand, if the penalties are significantly increased, there will likely be a decline in the number of enterprises producing GIBMs in the early stages. This could result in a prolonged period of market depression. However, over time, building materials enterprises will eventually transition towards the production of green intelligent materials, albeit at a slow pace. It is important to strike a balance in the level of penalties imposed on non-compliant enterprises to incentivize the production of GIBMs without causing significant disruptions to the market. This will promote the development and adoption of more sustainable and environmentally friendly building materials in the long run.
When the punishment is strong, the proportion of enterprises that choose to produce GIBMs will increase, and eventually building materials enterprises will develop towards the direction of producing GIBMs and choose to produce all GIBMs. Therefore, in view of the non-green manufacturing behavior of enterprises that do not produce green building materials, the government should increase its pollution penalty fee, so as to promote the industrial transformation of building materials enterprises. Energy conservation, pollution reduction and pollution control are important measures for China’s sustainable economic development. The Chinese government has adopted more fiscal and tax policies to support the development of energy conservation and environmental protection industries, and gradually improved the standards of GIBMs. Enterprises producing traditional building materials must constantly meet the national demand for green development, increase investment in technological innovation, and at the same time bear the risk of being punished for producing substandard products. Therefore, it is a wise choice for building materials enterprises to choose GIBMs that produce low carbon and meet market standards and social needs.
Influence of support intensity β on tripartite game evolution behavior of GIBMs industry
When the value of support strength β is 0.1 (red), 0.5 (blue) and 0.8 (green), the evolutionary game simulation results of GIBMs industry are shown in Fig. 4.
As can be seen from Fig. 4, with the gradual enhancement of government support, the development rate of government towards positive regulation becomes slower and slower. In order to support the technology and research and development of building materials enterprises, it is crucial for the government to closely monitor their activities and regulate the market. By doing so, the government can ensure continuous improvement in the research and development capabilities of these enterprises, while making the most effective use of its financial resources. When government support is strong, with the continuous maturity of building materials enterprises’ research and development technology, the GIBMs market develops in a healthy and orderly direction. At this point, the government will give up high-intensity penalties and controls, thus slowing the rate of government’s evolution toward positive regulation. The government’s technology and research and development support to building materials enterprises affects the construction developers’ purchase behavior of GIBMs products. When the government support is weak, the enthusiasm of construction developers to buy GIBMs is also low. When government support is strong, construction developers will be encouraged to buy GIBMs, thus promoting the development of GIBMs market.
When the government’s support for technology and research and development of building materials enterprises is weak, building materials enterprises will choose to give up the production of GIBMs. One of the main reasons for the limited production of GIBMs in China is the relatively late start of the industry, resulting in immature technology. The high cost of research and development for key technologies, coupled with a lack of standardization within the industry, makes it difficult for enterprises to shoulder the expenses associated with research and development. As a result, many companies choose not to manufacture GIBMs. When the government supports technology and research and development of building materials enterprises, it can reduce the research and development cost of building materials enterprises, stimulate the original innovation of technology, and promote building materials enterprises to choose to produce GIBMs products. Therefore, in addition to providing direct financial support and purchase subsidies, the government should also pay attention to the technological innovation of the GIBMs industry, and provide financial support for building materials enterprises to overcome the core technical difficulties and key parts, so as to promote the development of our GIBMs industry.
Influence of input intensity γ on the tripartite game evolution behavior of GIBMs industry
When the input intensity γ is 0.1 (red), 0.5 (blue) and 0.9 (green), the evolutionary game simulation results of GIBMs industry are shown in Fig. 5.
As can be seen from Fig. 5, no matter whether the government’s investment in the GIBMs industry is strong or weak, the government will always choose the positive regulation strategy.
Construction developers are direct beneficiaries of the government’s efforts to build and improve infrastructure such as water, electricity and roads. When the government’s investment in water, electricity, road and other infrastructure is relatively low, that is, when the infrastructure is not perfect, construction developers will choose the direction of purchasing GIBMs in the early stage. Over time, construction developers will move towards not buying GIBMs due to the high cost of using GIBMs. When the government’s investment in infrastructure such as water, electricity and roads is moderate or strong, construction developers will choose to buy GIBMs, and the higher the government’s investment in infrastructure such as water, electricity and roads, the faster the development of construction developers will buy GIBMs. Therefore, the government actively promotes the construction of water, electricity, roads and other infrastructure, which is conducive to the development of GIBMs industry.
The market of GIBMs is depressed in the context of low government investment in water, electricity, road and other infrastructure construction and imperfect supporting facilities, which are difficult to meet the needs of construction developers. Therefore, building materials enterprises develop towards the direction of not producing GIBMs. When the government’s investment in infrastructure such as water, electricity and roads is at medium or high intensity, building materials enterprises will initially choose not to produce GIBMs due to the time lag of investment effect in infrastructure such as water, electricity and roads. With the continuous appearance of investment effect and the continuous improvement of water, electricity, road and other infrastructure, the enthusiasm of construction developers to buy GIBMs is rising. Building materials enterprises will change the product strategy to produce GIBMs direction.
Simulation discussion
Based on the analysis of the above four aspects, the findings of this study are shown in Table 4.
-
i.
It can be seen that GIBMs can develop healthily and orderly only under the proper control of the government. When the government takes appropriate control, building materials enterprises tend to choose the strategy of producing GIBMs, while construction developers choose to buy GIBMs. When the government controls the GIBMs industry too much, building materials enterprises are more inclined to choose not to produce GIBMs strategy, and construction developers choose not to buy GIBMs strategy. At this point, the government cannot promote the development of GIBMs industry through regulation.
-
ii.
In the case of weak punishment from the government, building materials enterprises evolve towards not producing GIBMs, while construction developers choose not to buy GIBMs and finally maintain stability. If the punishment intensity is increased, enterprises will choose to produce GIBMs, construction developers will buy GIBMs, and the government regulation effect is significant.
-
iii.
Different levels of government support have different effects on the development of GIBMs industry. When the government’s financial support is weak, building materials enterprises develop towards the direction of not producing GIBMs, and construction developers develop towards the direction of not buying GIBMs, and finally maintain stability. When the government’s financial support is strong, building materials enterprises choose to produce GIBMs, construction developers buy GIBMs, government regulation effect is significant.
-
iv.
When the government’s investment in infrastructure construction such as water, electricity and roads is weak, building materials enterprises evolve towards not producing GIBMs, while construction developers develop towards not purchasing GIBMs, and finally maintain stability. When the government has strong investment in water, electricity, road and other infrastructure construction, building materials enterprises will choose to produce GIBMs, and construction developers will buy GIBMs. Government regulation has a significant effect.
Conclusions
This study examines the evolution of participants in the GIBMs industry, taking into account the concept of limited rationality in the game. The study establishes a game model and conducts a numerical simulation using MATLAB to analyze the behavior of building material companies and construction developers in response to government regulations.
The research findings indicate that a moderate level of government control over building material companies is vital for the healthy development of the GIBMs industry. This approach ensures an orderly market while allowing for growth. On the contrary, weak government control disrupts market order, while excessive control stifles the industry’s progress. The study also demonstrates the importance of government support in terms of funding and technology for research and development. This assistance enables building material companies to overcome technical challenges, make breakthroughs in technological innovation, and facilitate the scalability of the GIBMs industry. Moreover, such support encourages construction developers to actively purchase these materials. Infrastructure construction also plays a significant role in shaping the industry. When the government invests insufficiently in critical infrastructure like water, electricity, and roads, construction developers may choose not to invest in GIBMs. However, moderate to high levels of government investment prompt construction developers to actively seek these materials. Consequently, building material companies adapt their focus towards producing green intelligent materials in response to government regulations and the purchasing decisions of construction developers. Additionally, the article emphasizes the importance of a robust punishment mechanism. Imposing stricter penalties on building material companies for pollutant emissions creates a more favorable environment for these companies to transition towards producing GIBMs. Overall, this research highlights the significance of government regulations and their impact on the evolution of the GIBMs industry. By maintaining moderate control, providing support for research and development, investing in infrastructure, and implementing effective punishment mechanisms, governments can promote the growth of this industry and foster a more sustainable built environment.
Based on the research findings mentioned above, we can draw the following implications.
-
i.
Establish and enhance the management and control system of building materials enterprises, strengthen supervision to prevent cheating behavior, and impose severe penalties on companies producing substandard GIBMs. For serious cases, immediate corrective measures should be taken, and thorough exposure and appropriate actions should be carried out. Additionally, a set of rules and regulations should be developed to ensure the healthy and orderly growth of the GIBMs market.
-
ii.
Harness the government’s leading role in promoting research and development of GIBMs technology. Formulate supportive policies and recommendations to facilitate the industry’s development. Establish a collaborative innovation alliance between industry, academia, and research institutions. Strengthen the construction of a cooperative operational mechanism within the alliance. Simultaneously, expedite breakthroughs in GIBMs production technology. Encourage cooperation between research institutes, large and medium-sized enterprises, and universities to establish open and shared technology innovation platforms and focus on key technological advancements. Furthermore, increase financial investment in GIBMs technology and research and development, with financial support optimizing the role of market resource allocation and enhancing enterprises’ independent innovation capabilities.
-
iii.
Create an effective reward and punishment mechanism and implement a “credit score” system to incentivize enterprises to meet GIBMs standards. This will encourage improvement in production technology. Furthermore, the government should establish and refine environmental protection laws and regulations and strengthen enforcement. With this in place, more building materials enterprises will opt for producing GIBMs, leading to industrial transformation.
-
iv.
Prioritize the construction and enhancement of infrastructure. The government should provide convenient access to water, electricity, roads, and other infrastructure for construction developers who choose to purchase GIBMs. This will incentivize developers to actively adopt these materials and subsequently encourage building materials enterprises to produce GIBMs.
Based on the evolutionary game theory, this paper simulates the government, construction developers and building materials enterprises participating in the evolutionary game of GIBMs industry, and draws some important conclusions, but there are still some shortcomings. Firstly, due to the limitation of payment matrix parameters in evolutionary game, all factors affecting the development of GIBMs industry are not taken into account. Secondly, limited by survey objects and conditions, the parameter setting of payment matrix lacks the support of real data, so it can only reflect the general situation. In the future research, the above deficiencies can be further studied to make the research conclusions more constructive and targeted.
Data availability
The datasets generated during and analyzed during the current study are not publicly available due to data protection obligations but are available from the corresponding author upon reasonable request.
References
Abu-Jdayil B, Mourad AH, Hittini W, Hassan M, Hameedi S (2019) Traditional, state-of-the-art and renewable thermal building insulation materials: an overview. Constr Build Mater 214:709–735
Chen ZY (2020) Research on modern architectural engineering and green building materials. Green Build Mater 8(6):42–45
Colangelo F, Farina I, Travaglioni M, Salzano C, Cioffi R, Petrillo A (2021) Innovative materials in Italy for eco-friendly and sustainable buildings. Materials 14(8):2048
Darko A, Chan AP, Huo X, Owusu-Manu DG (2019) A scientometric analysis and visualization of global green building research. Build Environ 149:501–511
De Luca P, Carbone I, Nagy JB (2017) Green building materials: a review of state of the art studies of innovative materials. J Green Build 12(4):141–161
Debrah C, Owusu-Manu DG, Kissi E, Oduro-Ofori E, Edwards DJ (2022) Barriers to green cities development in developing countries: evidence from Ghana. Smart Sustain Built Environ 11(3):438–453
Dong T, Yin S, Zhang N (2023b) The interaction mechanism and dynamic evolution of digital green innovation in the integrated green building supply chain. Systems 11(3):122
Dong T, Yin S, Zhang N (2023a) New energy-driven construction industry: digital green innovation investment project selection of photovoltaic building materials enterprises using an integrated fuzzy decision approach. Systems 11(1):11
Feng Q, Chen H, Shi X, Wei J (2020) Stakeholder games in the evolution and development of green buildings in China: government-led perspective. J Clean Prod 275:122895
Gao Y, Jia R, Yao Y, Xu J (2022) Evolutionary game theory and the simulation of green building development based on dynamic government subsidies. Sustainability 14(12):7294
He BJ (2019) Towards the next generation of green building for urban heat island mitigation: zero UHI impact building. Sustain Cities Soc 50:101647
He L, Chen L (2021) The incentive effects of different government subsidy policies on green buildings. Renew Sustain Energy Rev 135:110123
Hossain MU, Ng ST, Antwi-Afari P, Amor B (2020) Circular economy and the construction industry: existing trends, challenges and prospective framework for sustainable construction. Renew Sustain Energy Rev 130:109948
Hu C, Sun T, Yin S, Yin J (2023) A systematic framework to improve the digital green innovation performance of photovoltaic materials for building energy system. Environ Res Commun 5:095009
Jiang ZL, Tang J, Chen DC (2022) Evolutionary game study on low-carbon development of green building materials under environmental regulation: from the perspective of stakeholders. IndTech Econ 41(12):45–52
Li Q, Long R, Chen H, Chen F, Wang J (2020) Visualized analysis of global green buildings: development, barriers and future directions. J Clean Prod 245:118775
Li X, Wang C, Kassem MA, Liu Y, Ali KN (2022) Study on green building promotion incentive strategy based on evolutionary game between government and construction unit. Sustainability 14(16):10155
Liu Y, Zuo J, Pan M, Ge Q, Chang R, Feng X, Dong N (2022) The incentive mechanism and decision-making behavior in the green building supply market: a tripartite evolutionary game analysis. Build Environ 214:108903
Liu Z, Guo A (2021) Application of green building materials and multi-objective energy-saving optimization design. Int J Heat Technol 39(1):299–308
Liu Z, Zhou Q, Tian Z, He BJ, Jin G (2019a) A comprehensive analysis on definitions, development, and policies of nearly zero energy buildings in China. Renew Sustain Energy Rev 114:109314
Liu RQ, Li Y, Liu J, Yang YQ (2019b) Research on development problems and countermeasures of green building materials industry in Liaoning Province. Build Mater Decor 25(5):53–54
MacAskill S, Sahin O, Stewart RA, Roca E, Liu B (2021) Examining green affordable housing policy outcomes in Australia: a systems approach. J Clean Prod 293:126212
Maraveas C (2020) Production of sustainable construction materials using agro-wastes. Materials 13(2):262
Meddah MS, Benkari N, Al-Saadi SN, Al Maktoumi Y (2020) Sarooj mortar: from a traditional building material to an engineered pozzolan-mechanical and thermal properties study. J Build Eng 32:101754
Mofidi F, Akbari H (2020) Intelligent buildings: an overview. Energy Build. 223:110192
Morales A, Labidi J, Gullón P, Astray G (2021) Synthesis of advanced biobased green materials from renewable biopolymers. current opinion in green and sustainable. Chemistry 29:100436
Munaro MR, Tavares SF, Bragança L (2020) Towards circular and more sustainable buildings: a systematic literature review on the circular economy in the built environment. J Clean Prod 260:121134
Nußholz JL, Rasmussen FN, Milios L (2019) Circular building materials: carbon saving potential and the role of business model innovation and public policy. Resour Conserv Recycl 141:308–316
Opoku A (2019) Biodiversity and the built environment: implications for the Sustainable Development Goals (SDGs). Resour Conserv Recycl 141:1–7
Park E, Kim Y, Lee A, Kim J, Kong H (2023) Study on the global sustainability of the Korean construction industry based on the GRI standards. Int J Environ Res Public Health 20(5):4231
Qian Y, Yu XA, Shen Z, Song M (2023) Complexity analysis and control of game behavior of subjects in green building materials supply chain considering technology subsidies. Expert Syst Appl 214:119052
Qiao W, Dong P, Ju Y (2022) Synergistic development of green building market under government guidance: a case study of Tianjin, China. J Clean Prod 340:130540
Remizov A, Tukaziban A, Yelzhanova Z, Junussova T, Karaca F (2021) Adoption of green building assessment systems to existing buildings under Kazakhstani conditions. Buildings 11(8):325
Roh S, Tae S, Kim R (2018) Developing a Green Building Index (GBI) certification system to effectively reduce carbon emissions in South Korea’s building industry. Sustainability 10(6):1872
Sánchez Cordero A, Gómez Melgar S, Andújar Márquez JM (2019) Green building rating systems and the new framework level (s): a critical review of sustainability certification within Europe. Energies 13(1):66
Sandanayake M, Gunasekara C, Law D, Zhang G, Setunge S, Wanijuru D (2020) Sustainable criterion selection framework for green building materials—an optimisation-based study of fly-ash geopolymer concrete. Sustain Mater Technol 25:e00178
Shurrab J, Hussain M, Khan M (2019) Green and sustainable practices in the construction industry: a confirmatory factor analysis approach. Eng Constr Arch Manag 26(6):1063–1086
Sun X, He M, Li Z (2020) Novel engineered wood and bamboo composites for structural applications: state-of-art of manufacturing technology and mechanical performance evaluation. Constr Build Mater 249:118751
Wang Y, Chen D, Tian P (2022) Research on the impact path of the sustainable development of green buildings: evidence from China. Sustainability 14(20):13628
Wang QM, Han QX, Yang C (2014) Government subsidies and corporate behavior in strategic emerging industries: from the perspective of dynamic game analysis under government regulation. Res Financ Econ 10(7):43–53
Wen B, Musa N, Onn CC, Ramesh S, Liang L, Wang W (2020) Evolution of sustainability in global green building rating tools. J Clean Prod 259:120912
Woodhouse MA, Smith B, Ramdas A, & Margolis RM (2019) Crystalline silicon photovoltaic module manufacturing costs and sustainable pricing: 1H 2018 Benchmark and Cost Reduction Road Map (No. NREL/TP-6A20-72134). National Renewable Energy Lab.(NREL), Golden, CO (United States)
Wu Z, Jiang M, Cai Y, Wang H, Li S (2019) What hinders the development of green building? An investigation of China. Int J Environ Res Public Health 16(17):3140
Wuni IY, Shen GQ, Osei-Kyei R (2019) Scientometric review of global research trends on green buildings in construction journals from 1992 to 2018. Energy Build 190:69–85
Xu J, Deng Y, Shi Y, Huang Y (2020) A bi-level optimization approach for sustainable development and carbon emissions reduction towards construction materials industry: a case study from China. Sustain Cities Soc 53:101828
Yin S, Li B, Xing Z (2019b) The governance mechanism of the building material industry (BMI) in transformation to green BMI: the perspective of green building. Sci Total Environ 677:19–33
Yin S, Li B, Xing Z (2019a) The governance mechanism of the building material industry (BMI) in transformation to green BMI: the perspective of green building. Sci Total Environ 677:19–33
Zhang HB, Sheng ZH, Meng QF (2015) Research on government subsidy mechanism for new energy vehicle market development. Manag Sci 6:122–132
Zhang Y, Kang J, Jin H (2018) A review of green building development in China from the perspective of energy saving. Energies 11(2):334
Zhang Y, Wang H, Gao W, Wang F, Zhou N, Kammen DM, Ying X (2019) A survey of the status and challenges of green building development in various countries. Sustainability 11(19):5385
Zhang XY (2022) Analysis of problems and countermeasures in the current development of green building materials in China. Chin Manag Inform 14(7):183–185
Zhao Y, Zhang Y, Song Y, Yin S, Hu C (2023) Enhancing building energy efficiency: formation of a cooperative digital green innovation atmosphere of photovoltaic building materials based on reciprocal incentives. AIMS. Energy 11(4):694–722
Acknowledgements
This research was funded by the Philosophy and Social Sciences Planning Project of the Ministry of Education grant number [21YJCZH203] and The National Social Science Fund of China grant number [22CJY043].
Author information
Authors and Affiliations
Contributions
Conceptualization, SY; methodology, SY and YZ; software, SY; validation, SY and YZ; writing—original draft preparation, SY and YZ; writing—review and editing, SY and YZ. All authors have read and agreed to the published version of the manuscript.
Corresponding author
Ethics declarations
Competing interests
The authors declare no competing interests.
Ethical approval
All procedures performed in this study were in accordance with the ethical standards of the university. Ethical clearance and approval were granted by Hebei Agricultural University (jgy230121).
Informed consent
Informed consent was obtained from all individual participants included in the study.
Additional information
Publisher’s note Springer Nature remains neutral with regard to jurisdictional claims in published maps and institutional affiliations.
Rights and permissions
Open Access This article is licensed under a Creative Commons Attribution 4.0 International License, which permits use, sharing, adaptation, distribution and reproduction in any medium or format, as long as you give appropriate credit to the original author(s) and the source, provide a link to the Creative Commons licence, and indicate if changes were made. The images or other third party material in this article are included in the article’s Creative Commons licence, unless indicated otherwise in a credit line to the material. If material is not included in the article’s Creative Commons licence and your intended use is not permitted by statutory regulation or exceeds the permitted use, you will need to obtain permission directly from the copyright holder. To view a copy of this licence, visit http://creativecommons.org/licenses/by/4.0/.
About this article
Cite this article
Yin, S., Zhao, Y. An agent-based evolutionary system model of the transformation from building material industry (BMI) to green intelligent BMI under supply chain management. Humanit Soc Sci Commun 11, 468 (2024). https://doi.org/10.1057/s41599-024-02988-5
Received:
Accepted:
Published:
Version of record:
DOI: https://doi.org/10.1057/s41599-024-02988-5
This article is cited by
-
Multi-dimensional model and interactive simulation of intelligent construction based on digital twins
Scientific Reports (2025)
-
A game study on the evolution of carbon emission reduction behavior of Chinese power enterprises
Scientific Reports (2025)
-
Research on the impact of green finance on collaborative governance of pollution reduction and carbon reduction
Scientific Reports (2025)
-
Eco-efficiency evaluation of China’s agricultural sector based on an ecosystem service valuation framework
Environment, Development and Sustainability (2025)
-
Factors affecting corporate greenwashing: importance testing with LightGBM and shapely additive explanations
Environment, Development and Sustainability (2025)






