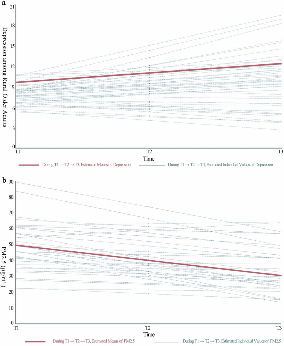
Fig. 3: The overall sample development trajectory of PM2.5 and depression.

a Overall sample development trajectory of depression among rural older adults in a randomized 50 sample. b Overall sample development trajectory of PM2.5 pollution in a randomized 50 sample.