Fig. 6
From: Hierarchical optimal configuration model and algorithm for counterterrorism resource allocation

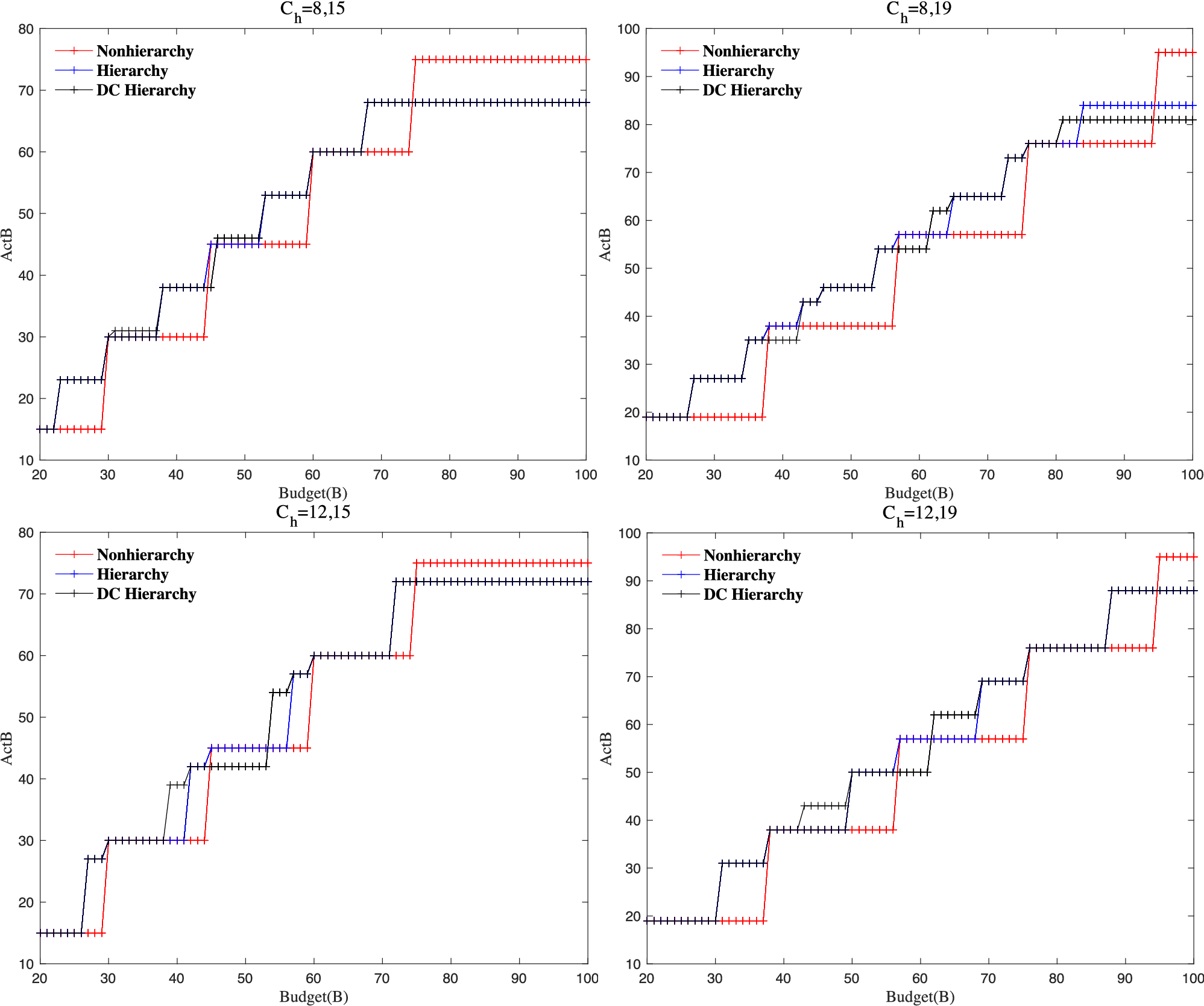
Consumption in Nonhierarchy, Hierarchy, and DC Hierarchy.
From: Hierarchical optimal configuration model and algorithm for counterterrorism resource allocation

Consumption in Nonhierarchy, Hierarchy, and DC Hierarchy.