Abstract
Counterterrorism resource allocation is a critical challenge, especially under financial constraints. Traditional location-allocation models often overlook the hierarchical structure of counterterrorism resources and the evolution of dynamic demand, resulting in inefficient emergency responses. To address this gap, this study proposes a hierarchical configuration model to optimize the location of facilities and the allocation of counterterrorism resources under budget limitations, explicitly incorporating dynamic collaborative strategies. An improved algorithm is developed to significantly increase computational efficiency and reduce model complexity. The results demonstrate that hierarchical structures provide greater flexibility and cost-effectiveness than nonhierarchical approaches do. Moreover, the integration of dynamic collaborative strategies effectively reduces disutility and financial expenditures, which substantially improves emergency response efficiency in counterterrorism scenarios. The proposed model has practical implications for counterterrorism planning, urban security, and critical infrastructure protection, offering valuable insights into improving resource allocation and emergency response capabilities in real-world applications.
Introduction
The unpredictability and complexity of terrorist attacks present significant challenges for global counterterrorism resource allocation. In recent years, the frequency and destructiveness of large-scale terrorist attacks have continuously increased, further exacerbating pressure on counterterrorism systems and demanding greater flexibility and adaptability. For example, after the 2015 Paris terrorist attacks, the police needed to rapidly block areas and deploy armed forces; however, as the scope of the attack expanded, the demand for medical supplies, specialized equipment, and cross-departmental emergency support grew rapidly. Similarly, during the 2017 London Bridge attack, the swift deployment of police and rescue forces effectively controlled the situation, and as the attack’s impact decreased, the need for resources diminished, and emergency forces gradually withdrew. These dynamic changes in demand require counterterrorism facilities and resource allocation to be flexible so that they can expand rapidly when demand increases and retract appropriately when demand decreases to avoid resource waste.
Existing studies mostly assume fixed or short-term demand and often neglect the complementary roles of various facilities and the need for cross-departmental collaboration. However, real-world scenarios present a more complex situation: the demand for resources in response to terrorist attacks typically evolves dynamically across different stages, involving the coordinated response of multiple facility types. For example, during the 2005 London Underground bombings, a lack of effective cross-agency coordination led to delays in responding to the needs of victims and hindered the overall emergency response. This situation demonstrates that existing models not only are inadequate for addressing the dynamic evolution of demand during terrorist attacks but also fail to consider the complementary resource distribution across multitiered facilities.
In practical applications, counterterrorism systems are typically composed of facilities at various levels to address different emergency needs. A hierarchical structure includes facilities of different types, each with distinct roles, capacities, and response times. For instance, China’s “three-level (H = 3)” public security system (police stations, police subbureaus, and police bureaus) improves emergency response efficiency through collaboration among these levels. Lower-level facilities (e.g., police stations) are quick to respond but have limited resources, whereas higher-level facilities (e.g., police bureaus) possess more extensive resources, including those of lower-level facilities, but they take longer to mobilize. Figure 1 illustrates how hierarchical structures, compared with nonhierarchical systems composed of similar facilities with comparable capabilities and resources, allocate resources more effectively, particularly in dynamic demand and resource scenarios. Similar hierarchical network configurations are commonly studied in health care systems (Smith et al. 2013; Paul et al. 2017), which are among the most researched systems in the literature (Contreras and Ortiz-Astorquiza, 2019). A review of these studies can be found in (Şahin and Süral, 2007) and (Farahani et al. 2014).
Nonhierarchy and Hierarchy.
The current research has several limitations: (1) insufficient modelling of demand evolution over time and (2) the lack of consideration of the trade-off between facility levels and budget constraints. Specifically, facilities at different levels, because of the varying types of resources that they provide, have different construction costs. This discrepancy complicates the balance between allocating resources efficiently and staying within budget constraints. The research also (3) shows an inadequate optimization of cross-departmental collaboration, often focuses solely on police systems and neglects the need for multidepartmental integration, such as medical, fire, and intelligence resources.
To address these challenges, this study first proposes an optimized counterterrorism facility allocation model combined with a dynamic collaboration strategy to increase system adaptability. Specifically, this study first develops a multitier facility coordination mechanism that incorporates hierarchical factors in facility location decisions to optimize resource complementarities. Second, dynamic demand evolution modelling is introduced and multistage optimization methods are applied to adapt resource allocation to the changing demands throughout a terrorist attack. A cross-departmental collaboration framework is proposed to ensure the effective integration of resources from police, medical, fire, and other departments, thereby improving overall response efficiency. Through these innovations, this study offers a counterterrorism resource optimization solution that is more aligned with real-world scenarios, providing flexible and precise emergency response strategies under various attack scenarios.
The structure of the paper is as follows. Section 2 reviews the classic and latest research in related fields and analyses the shortcomings of existing methods. Section 3 describes the construction of the hierarchical optimization model in detail. Section 4 elaborates on the proposed dynamic collaboration framework and algorithm design for solving the bilevel programming problem. Section 5 validates the model’s effectiveness through simulation experiments, and Section 6 concludes with a summary of the research findings and future directions.
Related literature
Counterterrorism facility location problem
The counterterrorism facility location problem is a complex multiobjective decision-making issue in emergency management that involves multiple factors, such as the spatial arrangement of facilities, dynamic resource scheduling, and interdepartmental collaboration. Existing research relies primarily on traditional optimization methods, such as the P-median model (Hakimi, 1964), the maximum coverage location problem (MCLP) (Richard Church and Velle, 1974), and bilevel programming game theory models (Berman and Gavious, 2007). These methods focus on minimizing response times, maximizing coverage, and addressing worst-case scenario losses.
MCLP: (Murali et al. 2012) studied the facility location problem based on capacity and proposed how to maximize coverage benefits while considering distance-dependent coverage functions and demand uncertainty. This model emphasizes facility capacity constraints and the optimization of facility configurations under uncertain demand. Similar studies, such as (Richard L Church and Scaparra, 2007), have explored optimizing facility locations to maximize coverage benefits in the face of terrorist disruptions, proposing strategies for worst-case facility loss scenarios (O’Hanley and Church, 2011).
P-median: (Richard L Church et al. 2004) introduced the facility interdiction problem by analysing the P-median system and proposed the R-Interdiction Median (RIM) and R-Interdiction Covering (RIC) problems. These methods have been used to optimize facility locations confronting uncertain terrorist attacks, ensuring optimal responses even when facilities are attacked (Richard L Church and Scaparra, 2007). This facility interdiction problem has provided new insights into the optimization of counterterrorism emergency resources. (Mahmoodjanloo et al. 2016) and (Aliakbarian et al. 2015) used different modelling techniques to devise protection schemes for various types of facilities.
Bilevel Game Theory: Game theory methods for counterterrorism facility location were first introduced by Berman and Gavious, (2007), who modelled the game between upper-level decision-makers (government) and lower-level executors (terrorist organizations) while considering complex adversarial interactions. (Shan and Zhuang, 2013) examined the impact of strategic and nonstrategic terrorist attacks on optimal counterterrorism resource allocation. In recent years, (Xiang and Wei, 2020) proposed a comprehensive counterterrorism strategy through the joint optimization of network interdiction and emergency facility location. (Hunt et al. 2022) explored the introduction of new technologies to enhance counterterrorism capabilities by creating a game-theoretic model based on risk preferences. (Li et al. 2021) studied the effects of facility capacity limitations and the irrational decisions of terrorists on counterterrorism resource optimization.
Bilevel programming models can effectively reflect the game between the government and terrorist organizations in counterterrorism facility location problems. However, existing research rarely addresses the resource differences across facilities and their impact on resource allocation, especially with respect to multitiered, hierarchical facility structures.
Uncertainty modelling
The sudden and uncertain nature of terrorist attacks leads to dynamic changes in resource demand. Considering the dynamic interaction between government decision-makers and terrorist organizations, (Berman et al. 2011) focused on the risks of interference and information concealment caused by terrorist attacks. (Shan and Zhuang, 2013) studied optimal counterterrorism resource allocation under strategic and nonstrategic attack scenarios. (Zhuang et al. 2010; Zhuang and Bier, 2011) researched the effects of terrorist deception and concealment on resource allocation and proposed a risk-preference-based game-theoretic model. (Aziz et al. 2020) explored resource allocation in response to terrorist attacks, emphasizing the impact of substitution and complementarity effects between resources on counterterrorism resource configuration. Other studies have examined facility location problems from the perspectives of terrorist attack uncertainty (Liberatore et al. 2011), diffusion (Han et al. 2012), and continuity (Cai et al. 2016).
However, the literature generally lacks attention to the dynamic evolution of demand across different time periods (Teng et al. 2024a, 2024b) and the in-depth analysis of multistage demand changes and dynamic collaboration frameworks (Teng et al. 2024a, 2024b).
Cross-departmental collaboration
Faced with increasing security risks, no single institution can bear all responsibilities independently. Therefore, effectively integrating resources from different departments and entities, including the government, the community, and international cooperation, has become critical to improving counterterrorism emergency response capabilities (Gray, 2024). However, in practice, cross-departmental collaboration often faces challenges such as resource allocation, responsibility distribution, and communication coordination, which limit the efficiency of coordinated responses (Fan et al. 2022). Effective cross-departmental collaboration relies not only on surface-level department mergers and resource allocation optimization but also on an in-depth understanding of different collaboration relationships and resource sharing models.
For example, Murali et al. (2012) proposed a collaborative mechanism for counterterrorism departments in responding to terrorist attacks that emphasizes resource sharing among facilities. Specifically, when multiple facilities provide the same service, the nearest facility is chosen for response to optimize emergency resource allocation. Such collaborative optimization models can significantly improve counterterrorism efficiency during large-scale emergency events.
Research indicates that resource allocation, combat zone planning, and multidisciplinary team cooperation are key elements in effectively managing major events such as terrorist attacks (Brewster et al. 2021). These factors help enhance the response capabilities of counterterrorism systems and ensure that departments, facilities, and emergency forces can collaborate efficiently to avoid resource waste when encountering dynamically changing demands.
However, existing studies rarely investigate the actual effects of resource complementarity and collaborative response among different types of facilities. This study aims to further analyse how to enhance counterterrorism emergency response capabilities through optimized resource allocation and improved cross-departmental collaboration.
Solution algorithms
Facility location problems with hierarchical resource structures have been proven to be NP-hard and often require substantial computational resources and time costs. In recent years, heuristic algorithms, such as genetic algorithm (GA) and particle swarm optimization (PSO), have become powerful tools to address such problems. These algorithms can effectively avoid local optima and improve the efficiency of solving large-scale problems.
With respect to large-scale problems, GAs have shown excellent performance (Houck et al. 1996). (Aytug and Saydam, 2002) proposed GA as effective strategies for solving large-scale expected coverage problems, which are widely applied in facility location optimization. GA, through appropriately designed search operators and coding schemes, can handle constraint issues and ensure the feasibility of solutions. For example, binary coding is widely used in GA because of its intuitiveness and simplicity, providing effective solutions for facility location problems. In general, genes in the coding string represent decision variables, where 1 indicates establishing a facility at an alternative location, and 0 indicates not establishing one (Kung and Liao, 2018). This coding method is simple and effective, but in hierarchical facility location problems, the long chromosome length of binary coding may complicate the decoding process, increasing mapping errors and affecting the algorithm’s convergence.
Fewer studies (Zheng and Wang, 2009; Zhao et al. 2017) have designed coding methods based on problem characteristics to offer coding methods suited for hierarchical facility location problems. (Song and Teng, 2019) proposed a segmented coding method that has been shown to effectively handle hierarchical problems and improve algorithm efficiency. However, there is still limited in-depth discussion on the application of GA to bilevel programming problems, especially when addressing multistage demand changes and dynamic resource allocation. The optimization of the solution process remains a gap in current research.
Construction of the hierarchical counterterrorism facility location problem
Definition
Strategy
In a network \(G({V}_{i},{V}_{j})\) composed of city node set \({V}_{i}=\left\{\mathrm{1,2},\cdots ,I\right\}\) and counterterrorism facility candidate node set \({V}_{j}=\left\{\mathrm{1,2},\cdots ,J\right\}\), with \(h\in \left\{1,\cdots ,H\right\}\) representing the facility level, \({e}_{\begin{array}{c}{ij}\\ \end{array}}\) represents the resource allocation between city node \(i\) and facility node \(j\), where the weight of the edge, denoted as \({d}_{{ij}}\), represents the distance from city \(i\) to facility \(j\). The state foresees the possibility of terrorist acts and requirements in response to the acts and configures various facilities (including their level, quantity, and spatial location) within financial budget \(B\) to prevent worst-case losses. Strategy set \({S}_{B}\left({s}_{B}\in {S}_{B}\right)\) is used to represent all configuration schemes that meet budget conditions. \({s}_{B}=\left({x}_{11},{\cdots ,x}_{{jh}},\cdots ,{x}_{{JH}}\right)\) is a vector of length \(J\times H\) that constitutes strategy set \({S}_{B}\). Among these strategy sets, \({x}_{{jh}}\) represents the configuration decision variable at the facility level and location. The value is 1 if h-level facility j is constructed; otherwise, it is 0.
Terrorist organizations, as ex post actors, choose urban nodes to attack after observing the state’s decision-making plan. Strategy \({t}_{B}\) with a vector of length \(I\times H\) and \({t}_{B}=\left({p}_{11},\cdots ,{p}_{{ih}},\cdots ,{p}_{{IH}}\right)\) is a mixed strategy, and all possible scenarios of \({t}_{B}\) comprise strategy set \({T}_{B}\left({t}_{B}\in {T}_{B}\right)\). Among them, \({p}_{{ih}}\) is the probability that terrorists will attack city node \(i\) to trigger the type \(h\) of demand, which is the product of the probability of the degree of destruction \({p}_{h}\left({p}_{h}\in 0,1;\sum _{h}{p}_{h}=1\right)\) and the probability \(i\) of attacking city \({p}_{i}\left({p}_{i}\in 0,1;\sum _{i}{p}_{i}=1\right)\), \({p}_{{ih}}={p}_{i}\,\cdot\, {p}_{h}\left({p}_{{ih}}\in 0,1;\sum _{i}\sum _{h}{p}_{{ih}}=1\right)\).
Utility
When a city node is attacked, the amount of resources that it needs is equal to the amount of losses that occur, which is related to the population (Bhuiyan, 2016), with a response provided by the nearest facility in the hierarchical network that can provide the required resources. Nodes that are heavily attacked often have more diverse types of resource requirements. Therefore, it is assumed that nodes with class \(h\) requirements all have class \(k,k\le h\) requirements. The state’s utility is a linear function \({f}_{{ih}}\) of the delay in the transfer of type \(h\) resources to the attacked city \(i\), which is a loss regarded as disutility. This loss is the sum of the total response delay \(\sum _{k\left(k\le h\right)}d\left(i\left(k\right)\right)\) of attacked city \(i\) and the total response delay \(\sum _{k\left(k\le h\right)}d\left(i,j\left(i,k\right)\right)\) between city \(i\) and facility \(j\left(i,k\right)\), which is expressed as
where \(j\left(i,k\right)\) is the nearest facility \(j\) that can provide \(k\)-level resources for city \(i\), and \(d\left(i,j\left(i,k\right)\right)\) is the distance between them. \(D\left(i,j\left(i,k\right)\right)=d\left(i,j\left(i,k\right)\right)+d\left(i\left(k\right)\right)\), \({\eta }_{i}=\eta +\alpha \sum _{k\le \min \{{h}^{{\prime} },h\}}d\left(i\left(k\right)\right)\). Parameter \(\alpha\) is the delay loss of resource transfer caused by the distance and type per unit, and \(\eta {w}_{i}\) represents the negative impact caused by the terrorist organization attacking city \(i\). The expected disutility of the state is \({U}_{{BS}}\left({t}_{B},{s}_{B}\right)=\sum _{i}\sum _{h}{p}_{{ih}}{f}_{{ih}}\).
The utility of the terrorist organization attacking city \(i\) is the organization’s benefit, which is equal to the damage that it generates. It is homologous with the way of state encounter and is expressed as
where \({\delta }_{i}=\delta +\gamma \sum _{k\left(k\le h\right)}d\left(i\left(k\right)\right)\), and parameter \(\gamma\) represents the benefit per unit distance and type. \({\delta }_{i}{w}_{i}\) indicates all of the benefits obtained by attacking city node \(i\), independent of any allocated resources. The terrorist organization’s expected utility is \({U}_{{BT}}\left({t}_{B},{s}_{B}\right)=\sum _{i}\sum _{h}{{p}_{{ih}}e}_{{ih}}\).
Equilibrium
When the game strategy and utility of the state and terrorists are known, there is a leader-follower game model in the sense of Stackelberg competition. The planner state first configures various counterterrorism facilities \({s}_{B}\), and terrorist organizations choose their own action \({t}_{B}\left({s}_{B}\right)\), abbreviated as \({t}_{B}(\cdot)\), after observing the facility configuration. \(({{t}_{B}}^{* }(\cdot),{{s}_{B}}^{* })\) is the perfect Nash equilibrium solution of the subgame; that is, for any \({s}_{B}\), \({U}_{{BS}}({{t}_{B}}^{* }(\cdot),{s}_{B})\ge {U}_{{BS}}^{* }\left(\right.\!{{t}_{B}}^{* }(\cdot),{{s}_{B}}^{* }\)), and for any \({t}_{B}(\cdot)\), \({U}_{{BT}}({t}_{B}(\cdot),{{s}_{B}}^{* })\le {U}_{{BT}}^{* }({{t}_{B}}^{* }(\cdot),{{s}_{B}}^{* })\).
The strategy of terrorist organizations is to attack a city node with the highest probability of damage. For every strategic plan of the state, there is an optimal pure strategic plan for the terrorist organization. The equilibrium between the two sides of the game is \({U}_{{BT}}^{* }\left({t}_{B}^{* }(\cdot),{{s}_{B}}^{* }\right)=\mathop{\max }\limits_{i}({e}_{{iH}})\), where \({U}_{{BS}}^{* }={U}_{{BS}}\left({{t}_{B}}^{* }(\cdot),{{s}_{B}}^{* }\right)=\min {f}_{{i}^{* }H}\).
\({\because}{e}_{{ih}}=(\mathop{\sum}\limits_{k\le h}\gamma d(i,j(i,k))+{\delta }_{i}){w}_{i}\), \({{\arg }}\mathop{\max }\limits_{i,h}({e}_{{ih}})=\{{i}^{* },{h}^{* }|\forall i,h:{e}_{{ih}}\le {e}_{{i}^{* }{h}^{* }}\}\)
\(\therefore\)For any \({{t}_{B}}^{* }(\cdot)\), satisfy \({U}_{{BT}}^{* }\left({{t}_{B}}^{* }(\cdot),{{s}_{B}}^{* }\right)=\max (\mathop{\sum}\limits_{i}\mathop{\sum}\limits_{h}{{p}_{{ih}}e}_{{ih}})=\max \left({p}_{{i}^{* }{h}^{* }}\cdot{e}_{{i}^{* }{h}^{* }}\right)=\mathop{\max }\limits_{i}{e}_{i{h}^{* }}=\mathop{\max }\limits_{i}{e}_{{iH}}\);
For any \({{s}_{B}}^{* }\), satisfy \({U}_{{BS}}^{* }={U}_{{BS}}\left({{t}_{B}}^{* }(\cdot ),{{s}_{B}}^{* }\right)=\min (\mathop{\sum}\limits_{i}\mathop{\sum}\limits_{h}{{p}_{{ih}}f}_{{ih}})=\min \left({p}_{{i}^{* }H}\cdot {f}_{{i}^{* }H}\right)=\min {f}_{{i}^{* }H}\).
Assumptions and parameters
To simplify the complexity of the problem, we make several idealized assumptions in the model. Specifically, we assume that the state is rational, while the terrorists’ behaviour is not fully rational. Terrorists are assumed to select attack nodes on the basis of material information, resulting in a lower utility than in the worst-case scenario in which they act completely rationally. To avoid this worst-case loss, both parties are modelled as fully rational agents. These assumptions are based on the counter-terrorism facility location problem, where the entire process is framed as a complete information dynamic game. The key assumptions are as follows:
-
1.
Node Independence and Facility Capacity: For simplification, we assume that an attack on a node does not affect other nodes and that each facility has unlimited service capacity.
-
2.
Facility Construction Costs: We assume that the construction cost \({C}_{k}\) of lower-level facilities is less than the cost \({C}_{h}\) of higher-level facilities while acknowledging that higher-level facilities contain a greater variety of resources.
-
3.
Response Delay Calculation: The term \(\sum _{k\left(k\le h\right)}d\left(i\left(k\right)\right)\) represents the average response delay for the node, which is independent of resource allocation. For computational simplicity, we set this term to zero, leading to the assumptions that \({\eta }_{i}=\eta\), \(\delta ={\delta }_{i}\), and for all \(i\), these values are constant.
The key parameters and variables used throughout the model are defined in Table 1. Below, we summarize the relevant assumptions and their corresponding parameters.
Hierarchical configuration model
Under a financial budget, excessive attention to low costs may increase disutility. Instead, excessive attention to low disutility creates configuration redundancy and leads to unnecessary consumption of financial resources. Therefore, determining the quantity and position of facilities at each level to prevent the worst-case loss is an important goal of the cross-department collaboration mechanism. Based on the strategy and utility of game players, a bilevel programming model of a counterterrorism network with a hierarchical structure is established as follows:
ULP
LLP
Equations (3)–(6) of the upper-level problem (ULP) correspond to the state, specifically, the planner of the counterterrorism facility, which has complete information about the attacker. The objective (3) is to minimize the maximum total weighted distance of the attacked node receiving the required resources, minimizing total disutility. Equation (4) limits the total cost to a maximum of B. Equation (5) requires that, at most, only one facility can exist in the same location. Equation (6) comprises binary variables at all levels.
Equations (7)–(13) of the lower-level problem (LLP) correspond to the terrorist attacker. The terrorist’s objective (7) is to attack the city with the largest total weighted distance for receiving services to maximize the terrorist’s benefit. Equation (8) indicates that demand is generated only when the urban node is attacked. Equation (9) specifies the premise regarding the distribution of demand; that is, demand allocation is passable only to facilities that can provide the required resources. Equation (10) ensures that the demand is allocated to the nearest facility that can provide the required services, with \(M1\) representing a large constant that supports this allocation. Equation (11) indicates that one node is attacked. Equations (12) and (13) define the attack variables and related demand allocation variables and the distance parameters.
Expansion problem of dynamic collaboration
Demand evolution and response mechanism
In the hierarchical network \(G({V}_{i},{V}_{j})\), whether a facility can effectively provide resources to the attacked node depends on its own configuration and the distance from the node. A city node \(i\) with \(1\cdots H\)-level demand is responded to by the nearest facility \(j\left(i,h\right)\) that furnishes the required \(h\)-level (\(h\in \{1,\cdots ,H\}\)) resources. When the \(1\cdots h\)-level demand of node i is updated to\(1\cdots k\)-level demand with probability \({p}_{k}^{h}\), the responding facility may change. Specifically,
The initial probability \({p}_{{h}_{0}}\) represents the probability of the demand type \({h}_{0}\left({h}_{0}\in \{1,\cdots ,H\}\right)\) occurring at the initial stage when the attack happens.
where \({p}_{{h}_{0}}\) is the probability of an event with demand type \({h}_{0}\).
The demand evolution probability \({p}_{k}^{h}\) is the conditional probability that the demand evolves from level \(h\) to level \(k\). It represents the likelihood of demand changing from one stage to another. The formula is as follows:
If \(k\le h\), then the demands can still be met by the facilities currently providing resources. If \(k > h\), then the satisfaction of each type of demand depends on whether the facilities at all levels responding to the attacked node can provide resources from the \(h+1\) to the \(k\) level. In this case, the following two situations can arise:
-
1.
The original facilities can still respond to all types of node needs, and the node continues to receive services.
-
2.
The \(h+1,\cdots ,k\)-level needs of the affected node can no longer be fully met through the collaborative resources provided by the original responding facilities. The evolving needs that cannot be met are transferred to other facilities that possess the required capabilities and are closest in distance to the attacked node.
As the node’s demand for resources evolves dynamically in stages before being fully met, we regard the entire emergency response process as \(N\) stages and assume that the requirements are fully satisfied throughout all \(N\) stages of the emergency response. Thus, the \(n\)-th stage demand evolution event \({A}_{{h}_{n}}\) is conditional upon the occurrence of the \(\left(n-1\right)\)-th stage demand evolution event \({A}_{{h}_{n-1}}\). For clarity, \({A}_{{h}_{n}}\) is defined as the \(n\)-th stage demand event, which signifies that the demand in the previous stage has evolved into an event with demand type \({h}_{n}\left({h}_{n}\in \{1,\cdots ,H\}\right)\) in the \(n\)-th stage. The initial probability, \({P(A}_{{h}_{0}})={p}_{{h}_{0}}\), corresponds to the initial probability of an event with demand type \({h}_{0}\) when the attack occurs.
Let \(P({A}_{{h}_{n}},|,{A}_{{h}_{n-1}})={p}_{{h}_{n}}^{{h}_{n-1}}\) represent the probability of demand evolution, that is, the likelihood of the event evolving from the \(n-1\) stage demand type \({h}_{n-1}\) to the \(n\)-th stage demand type \({h}_{n}\). As shown in Fig. 2, for \({A}_{{h}_{n}}\) in any stage, the demand events \({A}_{{h}_{n-1}=1}\), \({A}_{{h}_{n-1}=2}\), \(\cdots\), and \({A}_{{h}_{n-1}=H}\) from the previous stage constitute exhaustive events. The demand event probability \(P\left({A}_{{h}_{n}}\right)\) at stage n is the sum of the probabilities of all possible events from demand type \({h}_{n-1}\) in stage \(n-1\) evolving into demand type \({h}_{n}\) in stage n. According to the total probability theorem, the following expression holds:
Demand Evolution Process.
The event probability of demand evolution in Stage 1:
The event probability of demand evolution in Stage 2:
The event probability of demand evolution in Stage 3:
The event probability of demand evolution in stage n:
The disutility in stage n is as follows:
Since the response at each stage is crucial, the weight coefficient of each stage, including the initial stage, is regarded as \(\frac{1}{N}\), which means that all stages are equally important. The total state disutility \({U}_{{BS}}\) is the sum of all types of resource demand response delays for all stages of the attack on city i, which are expressed as
Hierarchical Optimization Model
Given the phased dynamic evolution characteristics of individual demand, variable \({y}_{{ijh}}^{n}\) is added to represent demand allocation in the nth stage. When the class h demand of node i is allocated to facility \(j\left(i,h\right)\), \({y}_{{ijh}}^{n}=1\); otherwise, \({y}_{{ijh}}^{n}=0\). The optimization model, in the sense of Stackelberg competition, is established as follows:
ULP
LLP
Equation (15) is the goal of the state, and it implies the total disutility in all stages. Equation (16) is the total weighted utility redefined for game followers based on the characteristic information of demand evolution. New expressions (17)–(19) have similar meanings to expressions (8)–(10), indicating the conditions that the dynamic allocation strategy should meet when considering the evolution of demand. Equations (20) and (21) add definitions for the allocation variables and distance parameters for each stage.
Algorithm design
The bilevel programming problem is a well-known NP-hard problem, which makes it difficult to obtain an exact solution in polynomial time. In our model, we first solve the optimal solution \({{t}_{B}}^{* }(\cdot)=\left({p}_{1H},\cdots ,{p}_{{iH}},\cdots ,{p}_{{IH}}\right)\) of the lower-level programming problem for each group \({s}_{B}=\left({x}_{11},{\cdots ,x}_{{jh}},\cdots ,{x}_{{JH}}\right)\) of the upper-level programming problem and then substitute \({{t}_{B}}^{* }(\cdot)\) into the upper-level problem to solve for the optimal \({{s}_{B}}^{* }\). The full solution process involves traversing variable \({x}_{{jh}}\) in the upper-level problem, which satisfies the budget constraint, and then traversing \({y}_{{ijh}}^{n}\) and \({p}_{i}\) in the lower-level problem for sub-objective optimization. The time complexity of the corresponding problem is \(O\left(J* H* I* N\right)\).
Given that the time required by an algorithm is directly proportional to the number of traversals in the algorithm, it becomes computationally expensive as the dimensions of \(I,J,H,\) and \(N\) increase. When the parameters become very large, the original exact solution method becomes infeasible because of high computation times.
To overcome this issue, we propose a simplified approach by introducing a dimension reduction strategy. This method accounts for the decision variables of terrorists, which are based on observations of the state’s decisions in the upper-level problem. By introducing a facility quantity function to reduce the time complexity, we achieve a more efficient solution process.
With the dimension reduction approach, we identify the facility quantity set \(A\) (where \(a\in A\)) under all levels to find \({s}_{B}\). Each facility quantity scheme, denoted as \(a={a}_{1}^{m},\cdots ,{a}_{h}^{m},\cdots {a}_{H}^{m}\), corresponds to a facility scheme that meets the budget constraints, as shown in Fig. 3. The computational time complexity of the improved algorithm is reduced to \(O\left(\sum _{h}{a}_{h}^{m}* I* N\right)\). The overall algorithm is designed as follows:
Coding Design.
Algorithm 1
for a in range(A):
for i in range(I):
for n in range(N):
# Solve the lower-level problem for each a,i,n
y[i][n][a] = solve_lower_level(x[a], z2)
# Solve the upper-level problem using the lower-level solutions
z1 = solve_upper_level(y)
# Update the lower-level problem with the upper-level solution
for a in range(A):
for i in range(I):
for n in range(N):
x[a] = update_lower_level(x[a], z1)
# Repeat the process until convergence
while not converged:
for a in range(A):
for i in range(I):
for n in range(N):
y[i][n][a] = solve_lower_level(x[a], z2)
z1 = solve_upper_level(x)
for a in range(A):
x[a] = update_lower_level(x[a], z1)
This process continues iteratively until convergence. In each iteration, the lower-level solutions are recalculated and used to update the upper-level solutions.
Compared with the original algorithm, which requires \(O\left(J* H* I* N\right)\) operations every time the objective function value is calculated, our method greatly reduces the computational burden. This leads to significant improvements in computational efficiency, particularly as \(J\), \(H\), and other problem parameters increase. The optimized algorithm can solve larger-scale problems more efficiently.
Results and discussion
Our model outperforms existing methods because of its incorporation of dynamic demand evolution and real-time resource coordination within the dynamic collaborative hierarchical structure (DC-Hierarchy). It also employs hierarchical structures to minimize losses from node attacks, enhancing overall resilience. Moreover, our algorithm is efficient and accurate and is especially vital for large-scale problem solving.
Results analysis
To ensure meaningful comparisons of the model and algorithm, we select several key parameters, namely, \(B,{C}_{h}\) and \({p}_{k}^{h}\), and conduct 100 iterations for different values of these parameters to test the efficiency and accuracy of the improved algorithm. Other parameters were set as follows: mutation probability Pm = 0.9 and crossover probability Pc = 0.4. All simulation experiments were performed on a computer with an M1 chip, 8 cores, and 16 GB of memory, and MATLAB 2021a was used for processing and execution. To facilitate intuition and reduce the complexity of problem analysis and interpretation, \(\left|H\right|=2,\alpha =5,\gamma =1\) is assumed in the calculation process.
The detailed results from the simulations are shown in Tables 2–4 and Figs. 4–7. Additionally, a large number of datasets are presented in Appendix Table 1 for further comparison.
Disutility in Nonhierarchy, Hierarchy, and DC Hierarchy.
Location-Allocation Schemes in Nonhierarchy and Hierarchy.
Consumption in Nonhierarchy, Hierarchy, and DC Hierarchy.
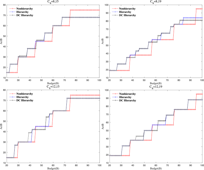
Location-allocation schemes in hierarchy and DC hierarchy.
Table 2 compares the disutility and financial costs under the same budget for nonhierarchical and hierarchical structures. As shown in Fig. 4, the hierarchical structure consistently results in lower disutility, which highlights the advantage of hierarchical models in minimizing losses. This translates into faster resource deployment and reduced losses during critical times, particularly in real-world scenarios such as disaster response.
In Fig. 5, we observe the differences in financial costs between hierarchical and nonhierarchical structures. Hierarchical structures help allocate resources more efficiently, reduce redundant resource allocation and optimize financial expenditures. This capability is particularly important for supply chain management, where managing costs is as crucial as timely deliveries.
Table 3 shows that in a dynamic collaborative strategy, considering demand evolution reduces disutility more effectively than traditional strategies do, while maintaining lower financial costs within the same budget, as illustrated in Fig. 6. This demonstrates the real-world application of the model in environments that require quick adaptations to fluctuating demands, such as in emergency management.
Figure 7 presents the location-allocation schemes for both the hierarchical structure and the dynamic collaborative hierarchical structure. The dynamic collaborative structure allows for more efficient and flexible allocation by considering real-time coordination and demand evolution, which leads to better resource distribution and reduced disutility.
Table 4 compares the processing times of the general algorithms used to solve small-scale problems. As the problem size increases, the processing time for general algorithms sharply increases, while the designed algorithm maintains high efficiency. Compared with traditional algorithms, the designed algorithm can obtain results in a fraction of the time, which is crucial for large-scale real-time applications, such as disaster response.
Model’s application in real-world scenarios
The experiments conducted validate the model’s performance in controlled scenarios. However, the real-world potential of this model lies in its applicability across sectors where unpredictable demands and resource allocation are critical. These include disaster response, emergency management, and supply chain management.
In disaster response, the model can optimize the allocation of emergency facilities, ensuring that resources are allocated dynamically based on real-time needs, such as medical supplies, personnel, and transportation. The hierarchical structure allows for a more precise distribution of resources and ensures quicker response times, which is vital during large-scale disasters.
In supply chain management, disruptions can lead to significant operational challenges. Our model assists in dynamically adjusting the distribution of resources across different levels of the supply chain network, which reduces inefficiencies and costs. For example, in response to a sudden surge in demand, the model can identify which regions or facilities need additional resources, helping prevent stockouts and delays.
However, implementing this model in real-world situations requires overcoming challenges such as data collection, interdepartmental coordination, and resistance to structural changes. Collaboration with local governments, emergency responders, and supply chain partners is essential for customizing the model to fit specific needs. Furthermore, addressing capacity constraints and ensuring real-time data integration are critical to the model’s success in dynamic environments.
Conclusion
This paper presents a hierarchical resource allocation model for counterterrorism networks designed to optimize facility locations and resource distributions under budget constraints. Compared with the original methods, the model integrates dynamic demand evolution, improving the flexibility and efficiency of resource allocation. By leveraging real-time coordination and hierarchical structures, the model minimizes losses from node attacks and enhances resilience, which makes it highly efficient for large-scale applications.
The model outperforms existing strategies and offers significant advantages in scenarios with unpredictable demand, such as disaster response and supply chain management. The proposed algorithm reduces computational complexity, ensuring that the model can be applied effectively in practical situations that require real-time resource allocation. This approach has demonstrated clear benefits in optimizing the distribution of emergency resources and minimizing disutility while adhering to financial constraints.
However, the real-world application of this model faces challenges, particularly in data collection, cross-departmental coordination, and capacity constraints. For the model to be successfully implemented, overcoming these challenges is crucial. Future research will focus on enhancing the model by incorporating real-time data integration, addressing capacity limitations, and expanding its application to multisectoral resource allocation in dynamic, large-scale environments.
In addition, the model’s application can significantly impact public safety and security management, ensuring more efficient use of resources during emergencies and improving decision-making. It offers a promising approach to dynamic collaborative resource allocation that can reduce delays and enhance overall efficiency in real-time crisis situations.
Data availability
The datasets generated and analysed during this study are available from the first author upon reasonable request.
References
Aliakbarian N, Dehghanian F, Salari M (2015) A bi-level programming model for protection of hierarchical facilities under imminent attacks. Comput Oper Res 64:210–224
Aytug H, Saydam C (2002) Solving large-scale maximum expected covering location problems by genetic algorithms: A comparative study. Eur J Oper Res 141:480–494
Aziz RA, He M, Zhuang J (2020) An attacker–defender resource allocation game with substitution and complementary effects. Risk Anal 40:1481–1506
Berman O, Gavious A (2007) Location of terror response facilities: A game between state and terrorist. Eur J Oper Res 177:1113–1133
Berman O, Gavious A, Huang R (2011) Location of response facilities: a simultaneous game between state and terrorist. Int J Oper Res 10:102–120
Bhuiyan BA (2016) An overview of game theory and some applications. Philosophy and Progress 111-128
Brewster C, Forbes K, Handford C, Scallan N, Eskell M, Hettiaratchy S, Baden J (2021) Planning for UK terror attacks: analysis of blast and ballistic injuries. Injury 52:1221–1226
Cai R, Sun K, Chen J (2016) Optimization model and application of anti-terrorist facilities location and resource scheduling under continuous terrorist attacks. Syst Eng –Theory Pract 36:464–472
Church R, Velle CR (1974) The maximal covering location problem. Pap Reg Sci 32:101–118
Church RL, Scaparra MP (2007) Protecting critical assets: the r‐interdiction median problem with fortification. Geogr Anal 39:129–146
Church RL, Scaparra MP, Middleton RS (2004) Identifying critical infrastructure: the median and covering facility interdiction problems. Ann Assoc Am Geogr 94:491–502
Contreras I, Ortiz-Astorquiza C (2019) Hierarchical facility location problems. Location science 365-389
Fan B, Li Z, Desouza KC (2022) Interagency collaboration within the city emergency management network: a case study of Super Ministry Reform in China. Disasters 46:371–400
Farahani RZ, Hekmatfar M, Fahimnia B, Kazemzadeh N (2014) Hierarchical facility location problem: Models, classifications, techniques, and applications. Comput Ind Eng 68:104–117
Gray C (2024) Counterterrorism strategies in the age of global insurgency. Int J Conv Non-Conv Warf 1:56–64
Hakimi SL (1964) Optimum locations of switching centers and the absolute centers and medians of a graph. Oper Res 12:450–459
Han C, Meng L, Zhang C (2012) Location of terror response facilities based on dynamic game of complete information. Syst Eng -Theory Pract 32:366–372
Houck CR, Joines JA, Kay MG (1996) Comparison of genetic algorithms, random restart and two-opt switching for solving large location-allocation problems. Comput Oper Res 23:587–596
Hunt K, Agarwal P, Zhuang J (2022) On the adoption of new technology to enhance counterterrorism measures: An attacker–defender game with risk preferences. Reliab Eng Syst Saf 218:108151
Kung L-C, Liao W-H (2018) An approximation algorithm for a competitive facility location problem with network effects. Eur J Oper Res 267:176–186
Li Q, Li M, Zhang R, Gan J (2021) A stochastic bilevel model for facility location-protection problem with the most likely interdiction strategy. Reliab Eng Syst Saf 216:108005
Liberatore F, Scaparra MP, Daskin MS (2011) Analysis of facility protection strategies against an uncertain number of attacks: The stochastic R-interdiction median problem with fortification. Comput Oper Res 38:357–366
Mahmoodjanloo M, Parvasi SP, Ramezanian R (2016) A tri-level covering fortification model for facility protection against disturbance in r-interdiction median problem. Comput Ind Eng 102:219–232
Murali P, Ordóñez F, Dessouky MM (2012) Facility location under demand uncertainty: Response to a large-scale bio-terror attack. Socio-economic Plan Sci 46:78–87
O’Hanley JR, Church RL (2011) Designing robust coverage networks to hedge against worst-case facility losses. Eur J Oper Res 209:23–36
Paul NR, Lunday BJ, Nurre SG (2017) A multiobjective, maximal conditional covering location problem applied to the relocation of hierarchical emergency response facilities. Omega 66:147–158
Şahin G, Süral H (2007) A review of hierarchical facility location models. Comput Oper Res 34:2310–2331
Shan X, Zhuang J (2013) Hybrid defensive resource allocations in the face of partially strategic attackers in a sequential defender–attacker game. Eur J Oper Res 228:262–272
Smith HK, Harper PR, Potts CN (2013) Bicriteria efficiency/equity hierarchical location models for public service application. J Oper Res Soc 64:500–512
Song Y, Teng C (2019) Optimal decision model and improved genetic algorithm for disposition of hierarchical facilities under hybrid service availability. Comput Ind Eng 130:420–429
Teng C, Xiang Y, Li S (2024a) Model and algorithm for cross-departmental coordination in healthcare under demand evolution. Syst Eng -Theory Pract 12:13
Teng C, Yu P, Liu L (2024b) A cooperative optimization model and enhanced algorithm for guided strategies in emergency mobile facilities. Hum Soc Sci Commun 11:375
Xiang Y, Wei H (2020) Joint optimizing network interdiction and emergency facility location in terrorist attacks. Comput Ind Eng 144:106480
Zhao M, Chen Q, Ma J, Cai D (2017) Optimizing temporary rescue facility locations for large-scale urban environmental emergencies to improve public safety. J Environ Inform 29
Zheng C, Wang Y (2009) A Location-Allocation Model and Its Algorithm for Multi-Echelon Logistics Systems. In: Logistics: The Emerging Frontiers of Transportation and Development in China. 3002–3009
Zhuang J, Bier VM (2011) Secrecy and deception at equilibrium, with applications to anti‐terrorism resource allocation. Def Peace Econ 22:43–61
Zhuang J, Bier VM, Alagoz O (2010) Modeling secrecy and deception in a multiple-period attacker–defender signaling game. Eur J Oper Res 203:409–418
Acknowledgements
We are grateful for the support from the Ministry of Education Humanities and Social Sciences Foundation Project (21YJC630126). This research was supported by the “Qinglan Project” of Jiangsu Higher Education Institutions.
Author information
Authors and Affiliations
Contributions
CT conceptualized the study, wrote the manuscript, and prepared the figures. YX provided feedback on the manuscript from the perspective of emergency logistics research. SL revised the manuscript structure as a reviewer. RM identified gaps in the article from the perspective of an external expert. PY improved and revised the manuscript's language and structure. JG handled data processing and table design.
Corresponding authors
Ethics declarations
Competing interests
The authors declare no competing interests.
Ethical approval
Ethical approval was not required as the study did not involve human participants.
Additional information
Publisher’s note Springer Nature remains neutral with regard to jurisdictional claims in published maps and institutional affiliations.
Supplementary information
Rights and permissions
Open Access This article is licensed under a Creative Commons Attribution-NonCommercial-NoDerivatives 4.0 International License, which permits any non-commercial use, sharing, distribution and reproduction in any medium or format, as long as you give appropriate credit to the original author(s) and the source, provide a link to the Creative Commons licence, and indicate if you modified the licensed material. You do not have permission under this licence to share adapted material derived from this article or parts of it. The images or other third party material in this article are included in the article’s Creative Commons licence, unless indicated otherwise in a credit line to the material. If material is not included in the article’s Creative Commons licence and your intended use is not permitted by statutory regulation or exceeds the permitted use, you will need to obtain permission directly from the copyright holder. To view a copy of this licence, visit http://creativecommons.org/licenses/by-nc-nd/4.0/.
About this article
Cite this article
Teng, C., Xiang, Y., Li, S. et al. Hierarchical optimal configuration model and algorithm for counterterrorism resource allocation. Humanit Soc Sci Commun 12, 1634 (2025). https://doi.org/10.1057/s41599-025-04988-5
Received:
Accepted:
Published:
Version of record:
DOI: https://doi.org/10.1057/s41599-025-04988-5






