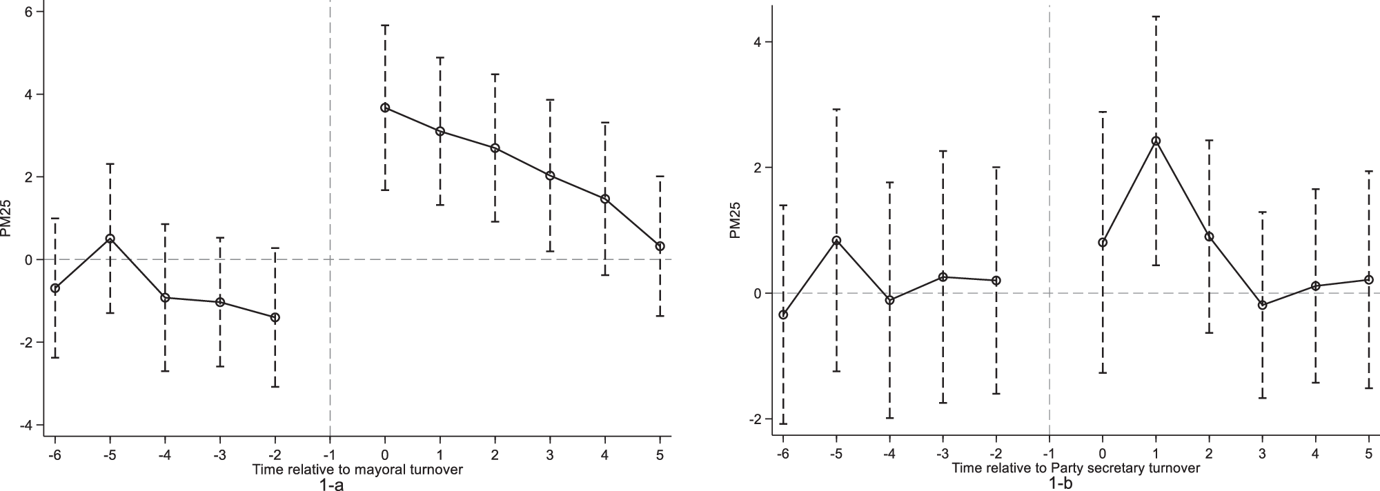
Fig. 1: Parallel trend test.

a Dynamic impact of the pre- and post-terms of the mayoral turnover on air quality, and b dynamic impact of the pre- and post-terms of the Party secretary turnover on air quality.

a Dynamic impact of the pre- and post-terms of the mayoral turnover on air quality, and b dynamic impact of the pre- and post-terms of the Party secretary turnover on air quality.