Abstract
Enhancing total factor energy efficiency (TFEE) is an important strategy for effectively reducing carbon emissions and achieving carbon neutrality. However, there is a lack of studies that quantitatively analyze the threshold effects of TFEE on carbon emissions and carbon neutrality. This study investigates the impact of total factor energy efficiency (TFEE) on carbon emission levels and carbon neutrality, utilizing panel data from 252 prefecture-level cities in China from 2006 to 2019. Using a variety of econometric models, including fixed-effects regression and threshold analysis, we find that TFEE has a significant negative effect on both carbon emission levels and carbon neutrality. Specifically, in medium-sized cities, TFEE shows a stronger impact on reducing carbon emission levels and promoting carbon neutrality compared to large or small cities. Moreover, threshold analysis reveals that the effect of TFEE on carbon emission levels and carbon neutrality varies significantly at different levels of energy consumption. As energy consumption increases, the impact of TFEE on carbon emission levels diminishes, while the relationship with carbon neutrality follows a U-shaped pattern, initially inhibiting and later promoting carbon neutrality. These findings suggest that improving TFEE is a viable strategy for reducing carbon emission levels and achieving carbon neutrality, especially in cities with moderate energy consumption. These findings highlight significant policy implications, particularly for medium-sized cities, where targeted energy efficiency improvements can significantly contribute to carbon neutrality goals.
Similar content being viewed by others
Introduction
The ongoing issue of global warming presents the most significant threat that humanity currently faces and is likely to confront in the coming decades. The negative effects of global warming on both natural ecosystems and human societies have already been documented and are anticipated to become increasingly pronounced and rapid in the future (Arias et al., 2021). In response to challenges like climate change and global warming, nations around the world are navigating a crucial phase of economic transformation. In 1992, 197 countries came together to sign the United Nations Framework Convention on Climate Change, primarily aimed at reducing greenhouse gas emissions, which was followed by the Kyoto Protocol and the Paris Agreement. An ecological civilization, rooted in the pursuit of carbon neutrality, seeks to harmonize human material development with the Earth’s ecosystems, fostering a high standard of both material and spiritual well-being for sustainable and green progress. The digital economy, as a new economic form with data resources as the key element and modern information networks as the main carrier, has become an important force driving economic development and plays an important role in promoting carbon neutrality. Therefore, it is particularly important to study effective ways to reduce carbon emission levels for sustainable development. The use of renewable energy plays an important role in maintaining the quality of the environment (Behera et al., 2024). The study by Caglar et al describes the application of Sustainable Development Goals (SDGs) policies focusing on research and development of energy technologies and suggests that the country should adopt carbon emission reduction policies(Caglar et al., 2024). There are also studies that show that green investment and green innovation, economic growth and trade openness can have an impact on the environment that is not conducive to sustainability (Caglar et al., 2024). The generation of energy technologies has a severe dependence on mineral inputs. Strict climate policies may have a certain inhibitory effect on mineral consumption in the long run (Fikru et al., 2024). Meanwhile, in some regions, there is a positive relationship between environmental degradation and economic growth (Kilinc-Ata, 2025). Therefore, the strictness of the policy environment may also be a strategy to promote the decline of carbon emission levels and drive sustainable development.
Total factor energy efficiency (TFEE) refers to the energy efficiency of all factors (including energy, labor, capital, etc.) required to produce the same output. When TFEE increases, it indicates that, with the same resources and technology, the output capacity of an enterprise or a country tends to strengthen, and the efficiency of resource utilization tends to improve. Consequently, TFEE serves as a crucial measure of the efficiency and competitiveness of an enterprise or a country. Compared to the general single factor energy efficiency, TFEE offers better accuracy in measuring energy efficiency. Within the analysis framework of total factors, TFEE also considers the impacts of other production factors besides energy on outputs, such as capital and labor. This aspect addresses the limitations of the single-factor framework, which solely focuses on energy input (Lin and Tan, 2016). Studies have shown that TFEE is associated with economic development, economic complexity, low-carbon policies, and other factors (Djeunankan et al., 2023; Gao et al., 2023; Ohene-Asare et al., 2020).
Existing studies have indicated that the factors influencing carbon emissions include population agglomeration (Yi et al., 2022), economic agglomeration (Jiang et al., 2019), environmental regulation (Zhang et al., 2023), green innovation index (Khurshid et al., 2023), industrial structure (Qiu et al., 2017), energy consumption (Porta and Zapperi, 2024; Armengol et al., 2024), among others. Research has demonstrated that enhancing energy efficiency can effectively limit carbon emissions (Hasanov et al., 2024; Liu et al., 2023; Amin et al., 2020). However, carbon emissions tend to increase gradually as energy consumption increases (Chen et al., 2021), suggesting that the influence of TFEE on carbon emissions may vary. Kazemzadeh et al. showed that shifting the energy consumption structure from fossil fuels to clean energy can improve environmental quality (Kazemzadeh et al., 2023). Nevertheless, there is a lack of studies quantitatively analyzing the effects of TFEE on both carbon emissions and carbon neutrality. Given the complexity of human activities and the myriad factors that affect carbon emissions and neutrality, the relationship between TFEE and these outcomes is likely multifaceted. Utilizing threshold regression can provide a more precise quantification of this relationship. Furthermore, existing literature predominantly investigates linear correlations between energy efficiency and carbon emissions, with insufficient focus on threshold effects, particularly in the context of China’s diverse cities. To fill these research gaps, this paper analyzes the influence of TFEE on carbon emissions and carbon neutrality while accounting for significant variations in city size and regional energy consumption. The analysis primarily employs panel data models, incorporating fixed effects of cities and years to better control individual characteristics that do not vary over time, as well as time-related characteristics that do not vary across regions.
As the largest developing country with a large population, China faces extremely arduous tasks of economic development and livelihood improvement. China ranks second globally in terms of carbon dioxide emissions, so the pressure to reduce emissions should not be underestimated (Hasanov et al., 2024). As shown in Fig. 1, the dotted lines represent trends, China’s carbon emissions have risen year after year in recent years. Reducing carbon emissions and achieving carbon neutrality is conducive to improving global warming, realizing sustainable development, and addressing the current state of climate change. This paper calculates TFEE in each region as one of the main variables in the regression, enriching the research perspective on the effects of energy efficiency on carbon emissions and carbon neutrality (Brown et al., 2017; Nam and Jin, 2021). Additionally, this study explores the connection between TFEE and carbon emissions as well as carbon neutrality, contributing to the studies on the influencing factors of carbon emissions and carbon neutrality (Liu et al., 2023; Amin et al., 2020; Chen et al., 2021; Dou et al., 2022; Wei et al., 2023) and providing valuable information for environmental protection, energy conservation and emission reduction in each region.
Source: EDGAR—Emissions Database for Global Atmospheric Research.
There are three questions discussed in this paper: (1) Does TFEE, which provides a more accurate measure of energy efficiency, have an impact on carbon emission levels and carbon neutrality? (2) Will this impact be influenced by city size and energy consumption? (3) Does TFEE have the threshold effects on carbon emission levels and carbon neutrality as energy consumption changes? To tackle these questions, we gather data on all pertinent variables from 252 prefecture-level cities in China for the years 2006 to 2019. We utilize the SBM model to assess TFEE and calculate carbon emissions, carbon intensity, carbon density, and carbon neutrality for each region to evaluate their carbon emission levels. A panel data model is then applied to empirically analyze the relationship between TFEE and both carbon emission levels and carbon neutrality. The findings indicate that enhancements in TFEE significantly reduce emissions, subsequently aiding carbon neutrality. Further examination shows that energy consumption moderates the relevance between TFEE and carbon emission levels, as well as carbon neutrality. Heterogeneity analysis reveals that in medium-sized cities, TFEE exerts a stronger influence on carbon emission levels and carbon neutrality. Additionally, threshold effect analysis suggests that as energy consumption rises, the influence of TFEE on carbon emission levels diminishes, while its effect on carbon neutrality follows a U-shaped trajectory, initially inhibiting and later promoting it.
This study makes contributions in two primary areas. First, in contrast to prior research that typically employs a single-dimensional approach to assess the relationship between energy efficiency and carbon emissions, this paper analyzes the effects of TFEE on carbon emissions, carbon intensity, carbon density, and carbon neutrality from these four distinct perspectives. This multifaceted approach enhances the completeness and robustness of the findings. Second, the study develops a moderating effect model and a panel threshold model to investigate the threshold effects of TFEE on carbon emission levels and carbon neutrality across varying levels of energy consumption, while also analyzing the underlying mechanisms. The results indicate that TFEE exhibits threshold effects on both carbon emission levels and carbon neutrality, depending on energy consumption levels, with the influence on carbon neutrality following a U-shaped trajectory. As energy consumption rises, the inhibiting effect of TFEE on carbon emission levels and carbon neutrality diminishes, potentially reversing into a facilitating effect. Utilizing city-level data for our empirical analysis addresses the limitations of provincial data, which may overlook city-specific nuances, and the challenges of accessing county-level data, thereby providing improved regional variability and data quality. The originality of this study lies in its innovative use of the Super-efficiency SBM model and threshold analysis to explore the complex relationship between TFEE, carbon emission levels, and carbon neutrality in China’s cities.
This study investigates the role of TFEE in reducing carbon emissions and promoting carbon neutrality across 252 prefecture-level cities in China from 2006 to 2019. Using econometric techniques such as fixed effects regression, threshold analysis, and propensity score matching, we examine the multifaceted effects of TFEE, including its moderating and threshold effects. Each of these methods serves to confirm the robustness of the findings and to address different potential issues (e.g., endogeneity, selection bias, non-linearity) that might otherwise compromise the validity of the conclusions. The methods complement each other, providing a more reliable and comprehensive analysis of the research question. The findings provide actionable insights for policymakers targeting sustainable development. The study expands the existing body of literature by incorporating a novel methodological approach that combines TFEE (TFEE) with non-linear threshold analysis to understand its impact on carbon emission levels and carbon neutrality. By examining the relationship between TFEE and carbon emission, this study contributes to the theoretical understanding of energy efficiency’s role in climate change mitigation. Practically, our findings suggest that improving TFEE is crucial for cities, especially medium-sized ones, to meet carbon neutrality goals. Policymakers should focus on targeted energy efficiency policies, such as incentivizing green innovations in high-emission sectors.
The remainder of the paper is structured as follows: Section “Literature review and research hypothesis” offers a literature review and presents the research hypotheses. Section “Research Design” outlines the models, variables, and data utilized in this study. Section “Empirical analysis” discusses the correlation analysis and empirical findings. Section “Further Analysis” conducts additional analyses, Section “Discussion” discusses the research, and finally, Section “Conclusions and Policy Recommendations” concludes with insights and related policy suggestions.
Literature review and research hypothesis
Total factor energy efficiency, carbon emission levels, and carbon neutrality
There are many studies on the factors influencing carbon emission levels and carbon neutrality, which generally include the following aspects: (1) Economic and financial factors, including agricultural and pastoral economy, tax level, financial development, income per capita, human resources, etc (Liu et al., 2023; Amin et al., 2020; Wei et al., 2023; Bayat et al., 2023; Caglar et al., 2024). (2) Policy factors such as environmental regulations (Chen et al., 2021; Shaikh et al., 2023; Dao et al., 2024). (3) Natural factors like natural disasters (Dou et al., 2022).
Electrification of road transport and air pollution due to eco-innovations can have health impacts leading to premature deaths (Kazemzadeh et al., 2022; Koengkan et al., 2023). Silva et al. (2024) considered economic, socio-political, and human geographic drivers of environmental performance. Yavuz et al. (2024) investigated the applicability of the Environmental Phillips Curve (EPC) in Turkey and showed that employment and environmental policies cannot be successful at the same time. There is a correlation between renewable energy and CO2 emissions. Moreover, the increase in CO2 emissions may have a favorable impact on the expansion of renewable energy (Kilinc-Ata and Dolmatov, 2023). In contrast, Behera et al. (2023) showed that renewable energy sources and green technologies reduce carbon emissions in the long run and short run, with renewable energy sources having a greater impact. Several studies have shown that while trade openness may pose challenges to environmental sustainability, the use of renewable energy and industrial competitiveness have significantly improved environmental quality and renewable energy has a positive impact on improving environmental quality (Caglar et al., 2024), but insufficient capacity for solid waste conversion remains a major obstacle (Caglar et al., 2024). Meanwhile, the capacity of fossil energy R&D remains limited, whereas investments in renewable energy R&D have significantly improved ecological outcomes (Caglar et al., 2024).In addition, for different economies, some studies have also found a contradiction between low-carbon conversion energy security, economic efficiency, and environmental sustainability (Caglar et al., 2024).
This paper examines carbon emissions and carbon neutrality in Chinese cities based on SDGs and ESG theories. In recent years, the SDGs and ESG frameworks have gained prominence in research aimed at advancing global sustainable development and combating climate change. Studies have shown that economic growth, renewable energy use, and governance factors have a significant impact on carbon emissions and climate policy uncertainty and play a key role in the achievement of the SDGs (Işık et al., 2024; Işık et al., 2025). Particularly in OECD countries, G7 countries, and emerging economies, ESG factors are seen as key to achieving a balance between economic growth and environmental sustainability (Işık et al., 2024). In addition, related studies have emphasized the potential value of incorporating economic dimensions (ECON) into the ESG framework for enhancing energy efficiency and sustainable distribution of global supply chains, which provides important theoretical support for a low-carbon transition and the achievement of carbon neutrality goals (Işık et al., 2024).
The relationship between energy efficiency and carbon emission levels as well as carbon neutrality has garnered widespread attention. There is a negative correlation between the clean energy transition and military expenditure. In a subsequent study, Kilinc-Ata et al. (2024) confirmed that the digital industry can have a positive impact on the clean energy transition. Brown et al. (2017) empirically found that the clean energy transition can be made more affordable by improving the efficiency of energy use, and that energy efficiency can also avoid adverse effects and reduce carbon emissions by scaling down the expansion of natural gas plants. In the empirical study by Mohd et al. (2023), the long-term effects have indicated that a 1% increase in energy efficiency would lead to a reduction of over 1% in carbon emissions in the transportation sector. Nam and Jin (2021) shown that due to inefficient energy use, every 1% increase in energy intensity would lead to a 0.74% increase in carbon emissions, implying that energy efficiency is the most effective energy policy tool to mitigate climate change. Previous studies have shown that energy efficiency has a restraining effect on carbon emissions in a region. Specifically concerning TFEE, the study by Zhu and Han (2023) has shown that the improvement in TFEE has a significantly restraining effect on carbon emissions nationwide, although it varies across regions, and that there is no literature studying the effect of TFEE on carbon neutrality for the time being.
Based on the above analysis, this paper proposes the following hypothesis.
H1: The improvement in TFEE can reduce carbon emission levels and contribute to carbon neutrality.
Total factor energy efficiency, energy consumption, carbon emission levels, and carbon neutrality
Significant variations exist in TFEE across different energy-consuming industries, with high-energy sectors exhibiting a more rapid growth rate compared to those with lower energy consumption (Cao and Han, 2022). The study by Liao et al. (2021) has indicated that energy consumption can inhibit energy efficiency. Besides, energy consumption also varies among different sectors, but as a whole, energy efficiency brings about significant energy-saving effects (Su et al., 2022). However, some researchers have identified a rebound effect associated with enhanced energy efficiency, which can lead to increased energy consumption and emissions (Wang and Nie, 2018).
Furthermore, it has been established that energy consumption influences carbon emission levels, with higher energy use correlating to greater carbon emissions (Azam et al., 2022). There is a positive relationship between carbon emissions and various energy sources, including total energy, natural gas, petroleum, electricity, and coal (Porta and Zapperi, 2024). Among various sectors, energy consumption in transportation accounts for a larger proportion of carbon dioxide emissions (Modise et al., 2021). Mirza et al. demonstrated that, in the long term, a bidirectional causal relationship exists between energy consumption and carbon dioxide emissions (Armengol et al., 2024), indicating that increased energy consumption drives up carbon dioxide emissions within the economy (Armengol et al., 2024). Kazemzadeh et al. (2023) determined that economic complexity and fossil energy consumption are sufficient conditions for high carbon emission intensity through Necessary Condition Analysis (NCA) model analysis and proposed the role of economic growth, urbanization, fossil energy consumption and institutional quality in reducing carbon emissions through Fuzzy Set Qualitative Comparative Analysis (fsQCA). Otim et al. (2025) showed that the promotion of renewable energy has a significant positive effect on mitigating carbon emissions, while the level of urbanization and economic growth have different effects on carbon emissions at different stages. Given this context, this paper hypothesizes that energy consumption may moderate the relationship between TFEE and carbon emissions.
H2: Energy consumption plays a moderating role in the impact of TFEE on carbon emission levels and carbon neutrality.
When energy consumption is low, TFEE has a more noticeable impact on carbon emission levels and carbon neutrality. Low carbon energy consumption contributes to environmental sustainability (Caglar et al., 2024). Compared to baseline buildings, low energy-consuming buildings can reduce carbon emission intensity by more than 30% to 40% in all climate zones and public buildings (Zhang et al., 2023). Moreover, reducing the energy consumption of enterprises can effectively improve their TFEE thereby promoting carbon reduction (Fu and Zhu, 2020). As energy consumption rises, the long-term effects of elevated energy use within industries can lead to negative environmental consequences (Modise et al., 2021). High levels of energy consumption may hinder the energy-saving benefits of enterprises, potentially resulting in increased carbon emissions (Liu, 2022). Additionally, the restructuring industrial chains can facilitate carbon reduction by enhancing energy efficiency, with this effect being particularly significant in high-energy-consuming sectors (Lin and Teng, 2024). Overall, the relationship between TFEE and carbon emission levels, as well as carbon neutrality, may not be linear and can vary based on differing levels of energy consumption. This study draws on the Environmental Kuznets Curve (EKC) hypothesis, which suggests that as economies develop, environmental degradation increases, but beyond a certain point, the relationship becomes inverted, leading to improvements in environmental outcomes with higher income levels (Behera et al., 2024). Additionally, Technology Innovation Theory posits that advancements in energy-efficient technologies can drive reductions in emissions. Although existing studies have explored the relationship between energy efficiency and carbon emissions, there is still a lack of in-depth research on the nonlinear effects of TFEE in energy consumption contexts. To explore the potential threshold effect of energy consumption on the relationship between TFEE and both carbon emission levels and carbon neutrality, this paper proposes the following hypothesis.
H3: There is a threshold effect of TFEE on carbon emission levels and carbon neutrality based on different energy consumption.
The impact model of TFEE on carbon emissions and carbon neutrality and the relationships among three hypotheses are shown in Fig. 2.
The Impact Model of TFEE on Carbon Emissions and Carbon Neutrality: The arrows in the figure indicate the impact generated, and the circles indicate the assumptions corresponding to the respective impacts.
Research design
Empirical model
We use the Green Solow Model to construct the empirical model. The Green Solow Model shows that total factor productivity of energy affects carbon emissions. According to the coordination theory of energy economy environment system, the improvement of total factor productivity of energy directly promotes the growth of carbon productivity, affecting carbon emissions and carbon neutrality. Therefore, this paper first constructs the following panel data model to reckon the impact of TFEE on carbon emission levels and carbon neutrality.
Here, \({{CE}}_{i,t}\) denotes the carbon emissions of region \(i\) in year \(t\); \({{CI}}_{i,t}\) indicates the carbon intensity of region \(i\) in year \(t\); \({{CD}}_{i,t}\) indicates the carbon density of region \(i\) in year \(t\); \({{CN}}_{i,t}\) stands for the carbon neutrality of region \(i\) in year \(t\); \({{TFEE}}_{i,t}\) identifies the TFEE of region \(i\) in year \(t\); \({{Controls}}_{i,t}\) are other control variables, including population agglomeration (POP), economic agglomeration (ECO), environmental regulation (ENVIR), green innovation index (GPIL) and industrial structure (IS); \({{Year}}_{t}\) denotes time fixed effect; \({{City}}_{i}\) denotes city fixed effects; \({{\rm{\epsilon }}}_{{\rm{i}},{\rm{t}}}\) is the random disturbance term; \({\beta }_{0}\), \({\beta }_{1}\) and \({\beta }_{2}\) are the parameters to be estimated.
To further investigate the mechanism through which TFEE affects carbon emission levels and carbon neutrality, energy consumption is selected as a moderating variable, leading to the development of the following moderating effect model to test Hypothesis 2.
Here, \({{EC}}_{I,t}\) denotes the energy consumption of region \(i\) in year \(t\), while the definitions of the other variables remain accordant with those provided in the previous section.
The EKC theory states that at different stages of economic development, there is an inverted U-shaped relationship between the level of environmental pollution and per capita income, i.e., as the economy grows, the level of environmental pollution rises and then falls. By inference, TFEE improvement may present a nonlinear impact on carbon emissions. So this paper further examines the threshold effect of TFEE on carbon emission levels and carbon neutrality. It also investigates how the threshold level of energy consumption influences the impact of TFEE on these outcomes, examining whether there are notable differences in the effects when energy consumption is below or above specific threshold(s). In previous studies on threshold effects, grouping tests or introducing interaction terms were commonly used. However, when considering continuous variables such as energy consumption as grouping indicators for the samples, the grouping values are often chosen based on subjective judgments, making it difficult to determine the exact threshold values of the threshold variables. This problem can be addressed by the threshold regression model, which excels in automatically identifying the sample data to estimate the specific threshold quantities and values, as well as conducting significance tests for the threshold effect. Hansen (1999) first proposed the static panel threshold regression modeling method based on fixed effects. Following Hansen (1999), this study develops a single-panel threshold model using energy consumption as the threshold variable.
Here, λ denotes the threshold value, and \(I(\cdot )\) represents the threshold characteristic function. If the expression in the parentheses is true, then \(I(\cdot )=1\); otherwise, \(I(\cdot )=0\). It can be observed that the impacts of TFEE on carbon emission levels and carbon neutrality are represented by \({\beta }_{1}\) and \({\beta }_{2}\) respectively when energy consumption is below the threshold value (\({{EC}}_{i,t}\le \lambda\)) or surpasses the threshold value (\({{EC}}_{i,t} > \lambda\)). The definitions of the remaining variables are the same as those mentioned in Eq. (1). The threshold regression model not only jointly estimates the threshold value \(\lambda\) of energy consumption and the slope values (\({\beta }_{1}\) and \({\beta }_{2}\)), but also facilitates the significance test of the threshold effect, i.e., testing Ho:β1 = β2. Rejecting this null hypothesis implies a significant difference in the impact of TFEE on carbon emission levels and carbon neutrality at various levels of energy consumption.
Equations (5) and (6) only establish a single threshold value for the energy consumption index, but there might be two threshold values. The double-threshold regression models are formulated as Eqs. (7) and (8).
Similarly, if there are multiple threshold values, similar multi-threshold regression models can still be constructed for analysis.
Variables
Dependent variables—carbon emission levels and carbon neutrality
(1) Carbon emission levels. Following the methods used in previous studies (Wu et al., 2021; Hu et al., 2022), this paper measures carbon emission levels using carbon emission (CE), carbon intensity (CI), and carbon density (CD). Carbon emissions (CE) represent the total carbon dioxide emissions from natural gas, liquefied petroleum gas, electricity usage, and heat supply in the region over a specific period, as shown in Eq. (9).
Here, \({{NG}}_{i,t}\), \({{LPG}}_{i,t}\), \({{EWS}}_{i,t}\) and \({{TH}}_{i,t}\) respectively indicate the natural gas supply, liquefied petroleum gas supply, total electricity consumption and total heat supply of region \(i\) in year \(t\). And \({\alpha }_{1}\), \({\alpha }_{2}\), \({\alpha }_{3}\) and \({\alpha }_{4}\) are the carbon emission coefficients of natural gas, liquefied petroleum gas, electricity and heating, respectively.
Carbon intensity (CI) refers to the carbon dioxide emissions per unit of Gross Domestic Product (GDP). It is calculated using the ratio of regional carbon emissions to GDP, and the specific formula is as follows.
Here, \({{GDP}}_{i,t}\) denotes the GDP of region \(i\) in year \(t\).
This paper uses carbon emissions per capita to measure the CD of a region, as shown in Eq. (11).
Here, \({P}_{i,t}\) is the total population of region \(i\) at the end of the year \(t\).
(2) Carbon neutrality. Carbon neutrality (CN) refers to the total carbon dioxide or greenhouse gas emissions generated, either directly or indirectly, by a region over a defined period. These emissions are balanced through measures such as afforestation, energy conservation, and emission reduction, leading to a relative state of “zero emissions”. This paper measures carbon neutrality with reference to the study by Li et al. (2023), calculating it as the difference between carbon emissions and carbon sequestration. The specific calculation formula is as follows.
Where, \({{CS}}_{i,t}\) denotes the carbon sequestration of region \(i\) in year \(t\).
Explanatory variable—total factor energy efficiency
Energy, being an input factor, must be combined with other input factors to produce economic output. Therefore, compared to the traditional energy efficiency indices based on single input factors, TFEE which is calculated using a multi-input model, better reflects reality. TFEE represents the ratio of the target energy input to the actual energy input needed for a certain amount of effective output, assuming unchanged technological levels and other production factor inputs (Lv et al., 2020). The calculation formula is as follows.
In practical production, the actual energy input typically exceeds the predetermined target input, and the disparity between them is termed the energy adjustment amount, indicating the additional energy input necessary in actual production. Consequently, TFEE values fall within the range[0,1], with higher values indicating greater TFEE. The energy adjustment amount denotes the variance between actual energy input and the minimum energy input, signifying the potential energy input reduction achievable in production. There exist parametric and non-parametric methods for measuring TFEE. Presently, the non-parametric Data Envelopment Analysis (DEA) method can effectively handle the efficiency evaluation of decision-making units (DMUs) in complex situations with multiple inputs and outputs. This method has been widely applied in TFEE evaluation.
DEA method is a non-parametric statistical approach for evaluating the comparative effectiveness among DMUs with multiple inputs and outputs (Wang and Wang, 2022; Xu et al., 2020). By comparing the efficiency of a particular unit with the performance of a group of similar units providing the same service, it attempts to maximize the efficiency of the service unit. In this process, some of the units obtaining 100 per cent efficiency are referred to as relatively efficient units, while others with efficiency ratings below 100 per cent are referred to as inefficient units. A non-parametric frontier line is constructed by utilizing sample point data, and points on this line are considered efficient while other points are deemed inefficient. The relative size of the inefficient points can be adjusted based on the specified direction for comparative evaluations.
The traditional DEA model faces challenges in comparatively evaluating multiple efficient DMUs and fails to adequately consider input and output slack variables. To address the shortcomings of the traditional DEA model, Tone (2002) proposed the Super-efficiency SBM model, which takes into account undesirable outputs and slack variables.
Suppose there are \(n\) DMUs and m input variables as well as s output variables in the measurement system of the SBM model. The input variable of the \(j\)-th DMU is denoted as xj = (x1j, x2j,…,xmj) and the output variable as yj = (y1j,y2j,…,ysj). Here, xij identifies the i-th input while yrj stands for the r-th output. The calculation principle of the Super-efficiency SBM model is that, when calculating the j-th unit, if its inputs and outputs can be expressed as a linear combination of other DMUs’ inputs and outputs, then this unit should be excluded and considered to have an efficiency greater than 1. If the inputs of an efficient DMU can be increased in proportion, the ratio of the increase is the result of super-efficiency. The analytical formula for the super-efficiency of the \({j}_{0}\)-th unit is as follows.
Here, \(\phi\) denotes the efficiency value of this unit; \({\eta }_{j}\) indicates the combination ratio of the j-th DMU in a reconstructed effective DMU combination to the \({j}_{0}\)-th DMU; \({S}_{i}^{-}\) and \({S}_{r}^{+}\) are called slack variables, representing input overruns and output deficits respectively. The implications of the model are as follows: (1) when the efficiency value \(\phi\) is greater than 1, the DMU is technically-efficient, meaning that inputs cannot decrease proportionally without altering output. (2) When the value \(\phi\) is less than 1, the DMU is technically-inefficient, implying that inputs can decrease proportionally without changing output. (3) When the value \(\phi\) equals 1, the scenario varies: a. when slack variables \({S}_{i}^{-}\) and \({S}_{r}^{+}\) are non-zero, the DMU is weakly efficient, indicating that inputs cannot decrease proportionally, but some may be reduced; b. when both slack variables \({S}_{i}^{-}\) and \({S}_{r}^{+}\) are zero, the DMU is strongly efficient, suggesting that no inputs can be reduced. Suppose \(K=1/(\phi * \mathop{\sum }\nolimits_{\mathop{j=1}\limits_{j\ne {j}_{0}}}^{n}{{\rm{\eta }}}_{j})\): when K is greater than 1, scale efficiency is in the increasing returns stage; when K equals 1, scale efficiency is optimal; when K is less than 1, scale efficiency is in the decreasing returns stage.
The fundamentals of the Super-efficiency SBM model are illustrated in Fig. 3, which depicts an input-oriented radial Super-efficiency model. Points A, B, C, and D constitute the frontier surface, while points G and F represent inefficient points. To calculate the efficiency value at point C, one can connect it with other efficiency points to form a new frontier surface. If C lies outside the new frontier, it indicates that C is superior to the other efficiency points. If the adjustment amount is given radially, an ‘OC’ line is introduced from the origin, and the efficiency value at point C is OC‘/OC, which is greater than 1.
Source: DEA Methods and MAXDEA Software.
In this paper, TFEE measured by the segmented Super-efficiency SBM model with variable radial returns to scale is used as the explanatory variable in the baseline regression. Additionally, TFEE measured by the global Super-efficiency SBM model with variable radial returns to scale is used as the alternative variable for the robustness test.
Moderating and threshold variables
There is a significant variation in TFEE among different energy-consuming industries (Kazemzadeh et al., 2023). Su et al. (2022) identified a strong correlation between overall energy efficiency and energy savings in their regional analysis. Additionally, an increase in energy consumption induce carbon emissions, and this consumption may also affect the relationship between TFEE and carbon emissions (Azam et al., 2022). Based on Nathaniel et al. (2022), this study uses the logarithmic value of energy consumption as a moderating variable to explore how TFEE influences carbon emissions.
As energy consumption rises, its effect on the relationship between TFEE and carbon emissions becomes significant. To analyze this moderating effect, this paper adopts the logarithmic value of energy consumption as a threshold variable to examine the threshold effects of TFEE on both carbon emission levels and carbon neutrality.
Control variables
To improve the accuracy of the empirical results, this paper includes control variables in the regression that may impact carbon emissions or carbon neutrality. (1) Population Agglomeration (POP): A significant driver of urban energy demand and emissions. The concentration of population in large cities significantly increases their carbon emissions, and this effect varies across different population levels (Yi et al., 2022). (2) ECO: Represents sectoral concentration, which influences energy intensity. Previous studies have suggested that most carbon emissions transfers are concentrated in a few sectors, which often represent ECO (Jiang et al., 2019). (3) Environmental Regulation (ENVIR): Reflects policy-induced reductions in emissions. Research by Zhang et al. has suggested that environmental regulation, influenced by spatial effects, can restrain carbon emissions, impacting the pathway to carbon neutrality (Zhang et al., 2023). (4) Green Innovation Index (GPIL): Captures the role of sustainable technology. Khurshid et al. have found that green innovation effectively reduces carbon emissions in both the short and long term (Khurshid et al., 2023). (5) Industrial Structure (IS): Affects emissions via energy-intensive industries. Industrial structure can affect both carbon emissions and the carbon neutrality process. Qiu et al. (2017) have discovered that carbon emission intensity is higher in declining resource-based cities compared to mature resource-based cities, followed by non-resource-based and regenerative resource-based cities. This paper measures industrial structure using the ratio of the output value of the secondary industry to that of the tertiary industry Table 1.
To ensure the validity and availability of data, because of the large number of missing and unavailable data used for the calculations of post-2019 carbon emissions data and TFEE, we ultimately select annual panel data from 252 prefecture-level cities in China for the period 2006–2019 as the primary dataset for empirical analysis. The data on carbon emission levels and carbon neutrality are sourced from the Statistical Yearbook and the Urban Construction Statistical Yearbook for various regions. TFEE is assessed using the Super-efficiency SBM model, with relevant data obtained from the China City Statistical Yearbook. Data for the control variables are collected from regional Statistical Yearbooks, the National Bureau of Statistics, and Carbon Emission Accounts & Datasets (CEADs).
In this analysis, the capital stock, labor force, and total electricity consumption of the 252 prefecture-level cities during 2006–2019 serve as input indicators. The nominal GDP of each city is treated as a desirable output indicator, while industrial wastewater emissions, industrial sulfur dioxide emissions, and industrial soot emissions are classified as undesirable output indicators for measuring TFEE. The complete indicator system is presented in Table 2.
Empirical analysis
Correlation analysis
As illustrated in Fig. 4, there is a negative correlation among TFEE and carbon emissions, carbon intensity, and carbon density. This suggests an inverse relationship between TFEE and carbon emissions levels, aligning with the previously discussed hypotheses. The absolute values of the correlation coefficients for the other control variables are predominantly below 0.5, which means the model constructed based on these variables generally meets the requirement of non-multicollinearity.
The specific values of the correlation coefficients are given in the bottom half of the figure.
Baseline regression results
To reduce the problem of heteroskedasticity and autocorrelation among the variables, this paper uses fixed effects to regress models (1) and (2), and the baseline regression results are shown in Fig. 5. The findings indicate that TFEE significantly reduces carbon emissions, carbon intensity, carbon density, and carbon neutrality, the regression coefficients are −0.629***, −1.506***, −0.932*** and −7.137* respectively. Among them, the absolute value of the regression coefficient of carbon intensity is larger and at the highest level of significance, indicating that TFEE has a better inhibiting effect on carbon emissions per unit of GDP. These results align with the findings of Mahapatra and Irfan (2023), which suggest that improvements in TFEE can significantly lower carbon emissions, thereby confirming the validity of hypothesis H1.
Different colors and shapes represent different independent variables, as shown in the legend.
Endogeneity problems
Instrumental variables regression
There may be endogeneity problems with models (1) and (2) in this study. Firstly, unobservable factors could potentially affect TFEE, carbon emission levels, and carbon neutrality simultaneously, leading to omitted variable bias. Secondly, lower carbon emission levels or carbon neutrality might also enhance TFEE, resulting in reverse causality problems.
To address the above endogeneity problems, this study follows the method proposed by Yuan et al. (2022) and employs the existence of a railway network in 1933 as an instrumental variable to conduct two-stage least squares estimations of models (1) and (2). The historical presence of the railway network influenced industrialization and energy consumption in the past, which, in turn, has a lasting impact on contemporary TFEE levels. Since the railway network’s effect on modern carbon emissions is indirect, we argue that it satisfies the relevance and exogeneity conditions for a valid instrument. The results, detailed in Table 3, reveal that the chosen instrumental variables are significantly positively correlated with the endogeneity variables, thereby confirming the relevant hypothesis. In the second stage, TFEE shows a significant negative correlation with carbon emission levels at the 1% level and a significant positive correlation with carbon neutrality after addressing the endogeneity concerns.
Furthermore, this paper utilizes Anderson canon. corr. LM statistic for testing non-identifiability. The results across columns (1) to (4) consistently reject the null hypothesis at the 1% level (18.58***). Moreover, the weak instrumental variable test is conducted using the Cragg-Donald Wald F statistic (Hausman et al., 2005; Stock et al., 2002). The statistic value of 18.57 exceeds the critical value of 16.38 at the 10% level, allowing for a strong rejection of the null hypothesis that the instrumental variables are weak. Additionally, this paper utilizes Anderson-Rubin Wald test and Stock and Watson LMS statistic for the test, and the results across columns (1) to (4) also reject the null hypothesis at the 1% level (Stock and Watson, 2008), further suggesting a strong correlation between the instrumental variables selected in this paper and the endogeneity variables. These findings, summarized in Table 3, indicate that the instrumental variables utilized in this study are indeed appropriate.
Propensity score matching
To control potential selection bias, this study employs the Propensity Score Matching (PSM) method to restructure the control group. First, based on the median value of TFEE for each year, we categorize the cities in our sample into a high TFEE group and a low TFEE group. Then, a propensity score is calculated using a Logit model, where the dependent variable is a binary indicator of whether a city belongs to the high or low TFEE group. The propensity score reflects the likelihood that a city belongs to the high TFEE group based on its observed characteristics. Next, a one-to-one matching procedure is used to match each high TFEE city with a low TFEE city that has a similar propensity score. This approach ensures that the cities in the treatment and control groups are comparable and helps reduce selection bias. After matching, we use the matched samples to re-estimate the regression model. In this way, we can examine the effect of TFEE on carbon emission levels and carbon neutrality while controlling for observed differences between cities. Table 4 below presents the regression results of the PSM and the OLS. In Table 4 below, the results in columns (2), (4), (6), and (8) demonstrate a persistent significant negative correlation between TFEE and carbon emissions, carbon intensity, carbon density, and carbon neutrality at the 1% level, even after applying the PSM. The conclusions align with the above findings, suggesting that TFEE is still significantly negatively correlated with carbon emission levels and carbon neutrality after addressing endogeneity problems.
Robustness test
Alternative variable
This study employs the global Super-efficiency SBM model with variable radial returns to scale to measure total factor energy efficiency (TEEE_1) as an alternative variable for the robustness test, with the regression results displayed in Table 5. At the 1% significance level, TFEE continues to demonstrate a significant negative effect on carbon emissions, carbon intensity, carbon density, and carbon neutrality. These results are consistent with the baseline regression findings, confirming the robustness of the conclusions.
Alternative technique
Considering the potential heteroskedasticity and autocorrelation problems, we re-estimate Eqs. (1) and (2) using the feasible generalized least squares (FGLS) method, and the regression results are shown in Table 6. The regression results of the FGLS show that TFEE is significantly negatively correlated with carbon emissions, carbon intensity, carbon density, and carbon neutrality. This is consistent with the benchmark regression results, indicating that the results are robust.
Further analysis
Heterogeneity analysis
The expansion of city size reduces the number of cities and thus global pollution, suggesting that city size has an impact on polluting gas emissions (Pflüger et al., 2021). Brand’s Law states that the larger the city, the more sustainable and green it is. Higher density leads to better social interactions and creates efficient interactions while maintaining the quality of urban life (Batty, 2013). Therefore, this study examines whether the influence of TFEE on carbon emission levels and carbon neutrality varies according to city size. To assess city size, the sample cities are categorized into large, medium, and small-sized cities based on their registered population at year-end. Cities with populations of 5 million or more are classified as large, those with populations between 3 million and 5 million as medium, and those with populations below 3 million as small.
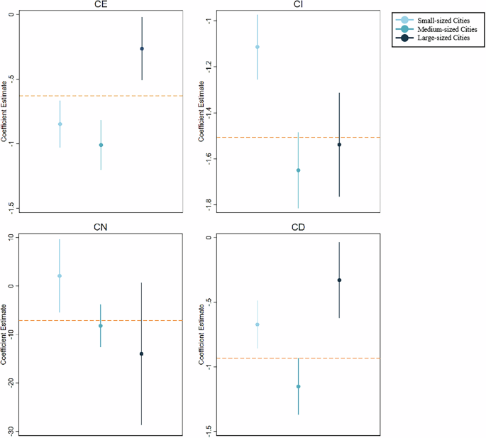
Table 6 and Fig. 6 present the results of the heterogeneity analysis segmented by city size. The findings reveal that TFEE significantly negatively affects carbon emissions, carbon intensity, and carbon density across all city sizes. Notably, the absolute value of the regression coefficient is greatest in medium-sized cities. Additionally, the regression coefficients of TFEE on carbon neutrality demonstrate a significant negative correlation only in medium-sized cities. These results suggest that TFEE effectively mitigates carbon emission levels and promotes carbon neutrality in cities of varying sizes. However, the magnitude of this impact varies with city size. Particularly, TFEE exhibits the most pronounced restraining effect on carbon emission levels and carbon neutrality in medium-sized cities. The reason may be attributed to several factors. Small-sized cities typically have a smaller scale and less carbon emissions, limiting the potential for significant emission reductions. Conversely, large-sized cities possess a larger scale and higher carbon emissions, resulting in a slower impact of TFEE improvement on social production and a delayed effect on carbon emission reduction. For the effect of TFEE on carbon neutrality, the effect of TFFE may be weakened by weak infrastructure or the complexity of energy consumption in small and large cities, making the regression results insignificant.
Grouping plot of the heterogeneity analysis: The orange dotted lines in the figure show the baseline regression coefficients, which are −0.629, −1.506, −0.932, and −7.137, the short vertical lines represent the standard errors, and the solid dots are the coefficients of heterogeneity analysis.
Analysis of moderating effect
Energy consumption influences the levels of carbon emission levels and carbon neutrality within a region (Qiu et al., 2017; Porta and Zapperi, 2024). Therefore, whether energy consumption moderates the negative impact of TFEE on carbon emission levels and carbon neutrality is investigated. The regression results of the moderating effect of energy consumption are represented in Table 7. The findings indicate that the interaction coefficients between energy consumption and carbon emissions, carbon intensity, carbon density and carbon neutrality are all significantly positive, with the estimated coefficients of TFEE being −0.660, −2.060, −1.370 and −36.330, respectively. This indicates that energy consumption can moderate the relationship between TFEE and carbon emission levels as well as carbon neutrality. Specifically, energy consumption significantly reduces the negative impacts of TFEE on carbon emission levels and carbon neutrality, indicating that an increase in energy consumption can weaken the restraining effect of TFEE on carbon emission levels and hinder progress toward achieving carbon neutrality. These results support Hypothesis 2.
Analysis of threshold effect
As discussed in the prior section, energy consumption can moderate the relationship between TFEE and carbon emission levels as well as carbon neutrality. This section aims to further investigate whether a threshold effect exists based on energy consumption regarding TFEE’s impact on carbon emission levels and carbon neutrality. The minimum amount of change or magnitude of change necessary for one economic factor to be able to have an effect or change on the other of two related economic factors is the threshold value. If it is less than this amount of change, the former will have no effect or influence on the change in the latter. At the same time, we can call this relationship between the two factors the “threshold effect” relationship. Table 8 presents the results of estimating threshold quantities and values and the test of threshold effect. The findings reveal that the double-threshold effect is significant for carbon emissions (CE) and carbon density (CD), and the significance of the single-threshold model surpasses that of the double-threshold effect for carbon intensity (CI) and carbon neutrality (CN). In the double-threshold model for carbon emissions and carbon density, the threshold values for energy consumption are 2.6660, 4.5713 and 2.8820, 4.571, respectively, with significance at the 1% level. This indicates a notable difference in the impact of TFEE on carbon emissions and density in low, medium and high energy-consuming ranges. In the single-threshold model for carbon intensity and carbon neutrality, the threshold values for energy consumption are 2.6660 and 5.8991. This implies that there is a significant difference in the impact of TFEE on carbon intensity and neutrality in low and high energy-consuming ranges.
The reason for this phenomenon may be that at lower levels of energy consumption, improvements in TFEE increase energy efficiency, thereby reducing carbon emissions and promoting carbon neutrality. As energy consumption increases, the “rebound effect” may partially offset these gains, thereby weakening the positive impacts of TFEE. However, at higher levels of energy consumption, technological advances, structural changes and increased adoption of renewable energy sources may further enhance carbon neutrality.
Tables 9 and 10 represents the threshold model estimating the impact of TFEE on carbon emissions, carbon intensity, carbon density and carbon neutrality. The impacts of TFEE on carbon emission levels and carbon neutrality are significantly different at different stages of energy consumption. For carbon emissions and density, when energy consumption is at the stage of low threshold (EC ≤ 2.6660), the estimated coefficients of TFEE are −1.234 and −1.168 respectively; when energy consumption is at the stage of high threshold (2.6660 < EC ≤ 4.5713), the estimated coefficients of TFEE are −0.470 and −0.446, indicating that the restraining effect of TFEE on carbon emissions is diminished; when energy consumption is over the high threshold (EC > 4.5713), the estimated coefficients of TFEE are 0.157 and 0.154, suggesting that TFEE exerts a slight promoting effect on carbon emissions. For carbon intensity, when energy consumption is below the threshold (EC ≤ 2.6660), the estimated coefficient of TFEE is −0.813; when energy consumption is over the threshold (EC > 2.6660), the estimated coefficient of TFEE is −0.530, indicating that the restraining effect of TFEE on carbon intensity is diminished. For carbon neutrality, when energy consumption is below the threshold (EC ≤ 5.8991), TFEE significantly inhibits carbon neutrality (the coefficient is −3.796); when energy consumption is over the threshold (EC > 5.8991), TFEE promotes carbon neutrality at the 1% level (the coefficient is 7.659), suggesting that the impact of TFEE on carbon neutrality exhibits an inverted U-shaped pattern. This may explain the positive correlation between TFEE and carbon neutrality found in the earlier correlation analysis. The above empirical results show that TFEE has a threshold impact on carbon emission levels and neutrality, and that the restraining effect of TFEE on carbon emission levels and carbon neutrality is diminished or even transformed into a facilitating effect as energy consumption increases.
Discussion
Using a panel fixed-effects model, this study found that an increase in TFEE significantly suppresses carbon emissions, which may be due to the fact that higher TFEE improves resource utilization efficiency, reduces energy consumption per unit of output, and promotes energy-saving technological innovations and optimization of the energy structure, which in turn reduces the dependence on high-carbon energy sources. Meanwhile, the analysis with the moderating effect model reveals that energy consumption has a moderating effect on the impact of TFEE on carbon emission levels and carbon neutrality. In addition, the analysis of the threshold effect model shows that the emission reduction effect of TFEE is more significant at lower levels of energy consumption, while at higher levels of energy consumption, this effect may be weakened or even reversed due to the “rebound effect”.
This paper analyzes the impact of TFEE on carbon emissions, carbon intensity, carbon intensity, and carbon neutrality from these four different perspectives, and incorporates key control variables to comprehensively assess the determinants of carbon emissions and carbon neutrality. Population agglomeration, a significant driver of urban energy demand and carbon emissions, is associated with higher carbon emission levels as its concentration increases. ECO indirectly affects carbon emissions by influencing industrial concentration and thereby energy intensity. Environmental regulation, through policy guidance, reduces carbon emissions and plays a positive role in achieving carbon neutrality. The green innovation index, reflecting the application of sustainable technologies, effectively lowers carbon emissions at higher levels of innovation. Industrial structure significantly impacts carbon emissions and the carbon neutrality process by affecting the proportion of energy-intensive industries. The inclusion of these control variables makes the research findings more comprehensive and accurate.
The findings of this paper extend the study of Mahapatra and Irfan (2023), which showed that the improvement of TFEE can significantly reduce the level of carbon emissions. In addition, the heterogeneity analysis in this paper provides strong evidence for Pflüger’s (2021) argument that city size has an impact on pollutant gas emissions. Furthermore, this paper supports the arguments (Porta and Zapperi, 2024; Armengol et al., 2024) that energy consumption has an impact on the level of carbon emissions and carbon neutrality.
This paper measures the TFEE of each region as an explanatory variable, which provides a new research perspective for examining the impact of energy efficiency on carbon emission levels and enriches the relevant research on carbon neutrality (Hasanov et al., 2024). The measurement results of TFEE of each region and the findings of this study provide valuable insights for energy conservation and emission reduction and promoting sustainable development in various regions.
This study makes important theoretical contribution by expanding the existing body of literature through a novel methodological approach that combines TFEE with non-linear threshold analysis to understand its impact on carbon emission levels and carbon neutrality. By using the Super-efficiency SBM model and panel threshold regressions, this study provides a more nuanced understanding of how TFEE influences carbon emissions at different levels of energy consumption across cities. This methodological innovation fills a gap in the literature, which predominantly focuses on linear relationships or fail to consider threshold effects in energy efficiency research (Liu et al., 2023). Furthermore, the findings challenge the conventional view of energy efficiency as a straightforward linear mechanism for emissions reduction (Amin et al., 2020). The recognition of threshold effects, especially the non-linear U-shaped relationship between energy consumption and carbon neutrality, adds new dimensions to the theoretical understanding of the role of TFEE in achieving carbon neutrality. This has the potential to shift the focus of future research towards more dynamic, context-specific analyses of energy efficiency.
The findings of this research hold practical importance for reducing carbon emission levels and achieving carbon neutrality, offering valuable insights into the relationship among TFEE, carbon emission levels and carbon neutrality. From a practical perspective, the study’s findings are highly relevant for policymakers and urban planners. By identifying how TFEE influences carbon emission levels and neutrality in cities of different sizes, the study provides actionable insights for targeted policy interventions. Policymakers can use these insights to prioritize energy efficiency improvements, particularly in medium-sized cities where TFEE shows the greatest impact. The study also underscores the importance of considering energy consumption thresholds when designing energy policies, enabling more effective, context-sensitive strategies for achieving carbon neutrality.
Conclusions and policy recommendations
In this study, we collect data on all relevant variables for 252 prefecture-level cities in China from 2006 to 2019, measure TFEE using the SBM model, calculate carbon emission levels, carbon intensity, carbon intensity, and carbon neutrality in each region to measure the level of carbon emissions, and empirically test the relationship between TFEE and carbon emission levels as well as carbon neutrality using a panel data model. Empirical evidence indicates that improvements in TFEE can effectively reduce carbon emission levels and enhance carbon neutrality. This underscores the potential of enhancing TFEE as a viable strategy for emission reduction and achieving carbon neutrality. Endogeneity tests and robustness tests confirm the significant negative correlation between TFEE and carbon emission levels, as well as carbon neutrality. In medium-sized cities with a moderate city size, TFEE has a stronger impact on carbon emission levels and a significant negative effect on carbon neutrality. Additionally, energy consumption moderates the relationship between TFEE and carbon emission levels, as well as carbon neutrality. As energy consumption increases, the influence of TFEE on carbon emission levels diminishes, while its effect on carbon neutrality follows a U-shaped trajectory.
On the basis of the above research findings, we put forward the following policy recommendations.
First, the improvement of TFEE can significantly curb carbon emission levels and promote carbon neutrality, and we suggest that a two-pronged approach be taken at both policy and technical levels to improve TFEE. This entails government departments in all regions introducing policies and taking steps to encourage enterprises and individuals to enhance their energy efficiency. Additionally, energy efficiency should be promoted through technological advancements. Encouraging technological innovation and equipment upgrades can facilitate the recycling of energy, which means the process of capturing and reusing energy that would otherwise be wasted during production, conversion, or utilization.
Second, the results of heterogeneity analysis show that the TFEE of medium-sized cities has a greater impact on carbon emission levels, and there is a significant negative impact on carbon neutrality, so it is recommended to optimize the size of the city to promote carbon emission levels reduction and achieve carbon neutrality. Efforts should be made in utilizing resources efficiently, improving transportation efficiency, enhancing public service facilities, planning rationally, optimizing the city’s industrial structure, improving the city’s economic efficiency and competitiveness, and promoting sustainable development.
Finally, as energy consumption increases, the inhibitory effect of TFEE on carbon emission levels and carbon neutrality is weakened or even transformed into a facilitating effect, and we suggest multiple measures to reduce energy consumption. Firstly, focusing on market mechanisms, governments should establish an energy trading market and promote energy conservation through these mechanisms. Secondly, governments, businesses, and research institutions should extend support for the research and advance of energy-efficient technologies, allocate more funding, and encourage enterprises to adopt low energy-consuming technologies such as clean energy and renewable energy. Thirdly, efforts in publicity and education should be strengthened to raise public awareness of the importance of energy conservation.
However, due to the limitation of data availability, this paper only analyzes the data of some Chinese cities from 2006–2019, which may cause our findings to lose some of their timeliness, as well as whether similar phenomena are found in other countries or regions around the world, which is not investigated in this paper. Subsequent studies could try to collect carbon emission-related data from a broader range of sources to study the relationship between energy efficiency and carbon emissions over a wider time frame, or conduct studies on other countries or regions to explore the similarities and differences in the impact of energy efficiency on carbon emission levels among various regions. In addition, although the existing model reveals the overall relationship between TFEE and carbon emissions, it does not fully explain the intermediate mechanism in the process, i.e., how efficiency indirectly affects carbon emissions through other key variables. Therefore, future research will analyze this causal pathway in more detail, and clarify the intermediary variables through which the improvement of TFEE may be transmitted to carbon emissions, so as to enhance the rigor of the mechanism analysis and the scientific validity of the conclusions. Furthermore, this study focuses on the relationship between technical inefficiency and carbon emissions, but the improvement paths of technical inefficiency and the emission reduction of bad inputs are yet to be explored in greater depth. So, future research can further refine the specific paths for each industry or region, and combine green technology innovation and policy support measures to build an effective mechanism for technical inefficiency and emission reduction.
Data availability
All data generated or analysed during this study are included in this published article.
Change history
10 September 2025
In this article Liang Wu and Xing Wang affiliation has been modified and sequence of affiliation has been changed for Alexander Wang and Junying Xu.
References
Amin A, Dogan E, Khan Z (2020) The impacts of different proxies for financialization on carbon emissions in top-ten emitter countries. Sci Total Environ 740:140127. https://doi.org/10.1016/j.scitotenv.2020.140127
Armengol JM, Carnerero C, Rames C et al. (2024) City-scale assessment of pedestrian exposure to air pollution: a case study in Barcelon. Urban Clim 58:102183. https://doi.org/10.1016/j.uclim.2024.102183
Azam M, Uddin I, Khan S, Tariq M (2022) Are globalization, urbanization, and energy consumption cause carbon emissions in SAARC region? New evidence from CS-ARDL approach. Environ Sci Pollut Res 29(58):87746–87763. https://doi.org/10.1007/s11356-022-21835-1
Batty M (2013) The new science of cities. MIT press
Bayat T, İlarslan K, Shahbaz M (2023) How do logistics and financial ındicators contribute to carbon emissions in Turkiye? Environ Sci Pollut Res. https://doi.org/10.1007/s11356-023-29255-5
Behera B, Behera P, Sucharita S, Sethi N (2024) Mitigating ecological footprint in BRICS countries: unveiling the role of disaggregated clean energy, green technology innovation and political stability. Discov Sustain 5(1):165. https://doi.org/10.1007/s43621-024-00378-0
Behera P, Haldar A, Sethi N (2023) Achieving carbon neutrality target in the emerging economies: role of renewable energy and green technology. Gondwana Res 121:16–32. https://doi.org/10.1016/j.gr.2023.03.028
Behera P, Behera B, Sethi N (2024) Assessing the impact of fiscal decentralization, green finance and green technology innovation on renewable energy use in European Union countries: What is the moderating role of political risk. Renew Energy 229:120715. https://doi.org/10.1016/j.renene.2024.120715
Behera P, Sethi L, Sethi N (2024) Balancing India’s energy trilemma: assessing the role of renewable energy and green technology innovation for sustainable development. Energy 308:132842. https://doi.org/10.1016/j.energy.2024.132842
Brown MA, Kim G, Smith AM, Southworth K (2017) Exploring the impact of energy efficiency as a carbon mitigation strategy in the U.S. Energy Policy 109:249–259. https://doi.org/10.1016/j.enpol.2017.06.044
Caglar AE, Daştan M, Avci SB (2024) Persistence of disaggregate energy RD&D expenditures in top-five economies: evidence from artificial neural network approach. Appl Energy 365:123216. https://doi.org/10.1016/j.apenergy.2024.123216
Caglar AE, Gönenç S, Destek MA (2024) The influence of nuclear energy research and development investments on environmental sustainability: evidence from the United States and France. Int J Sustain Dev World Ecol 31(7):861–872. https://doi.org/10.1080/13504509.2024.2341797
Caglar AE, Destek MA, Manga M (2024) Analyzing the load capacity curve hypothesis for the Turkiye: a perspective for the sustainable environment. J Clean Prod 444:141232. https://doi.org/10.1016/j.jclepro.2024.141232
Caglar AE, Gökçe N, Şahin F (2024) Sustaining environment through municipal solid waste: evidence from European Union economies. Environ Sci Pollut Res 31(4):6040–6053. https://doi.org/10.1007/s11356-023-31494-5
Caglar AE, Gökçe N, Balsalobre-Lorente D (2024) Towards the vision of going green: the role of different energy research and development investments, urbanization and income in load capacity factor. Sustain Energy Technol Assess 68:103888. https://doi.org/10.1016/j.seta.2024.103888
Caglar AE, Avci SB, Gökçe N, Destek MA (2024) A sustainable study of competitive industrial performance amidst environmental quality: new insight from novel Fourier perspective. J Environ Manag 366:121843. https://doi.org/10.1016/j.jenvman.2024.121843
Caglar AE, Avci SB, Ahmed Z, Gökçe N (2024) Assessing the role of green investments and green innovation in ecological sustainability: from a climate action perspective on European countries. Sci Total Environ 928:172527. https://doi.org/10.1016/j.scitotenv.2024.172527
Caglar AE, Daştan M, Bulut E, Marangoz C (2024) Evaluating a pathway for environmental sustainability: the role of competitive industrial performance and renewable energy consumption in European countries. Sustain Dev 32(3):1811–1824. https://doi.org/10.1002/sd.2755
Caglar AE, Avci SB, Daştan M, Destek MA (2024) Investigation of the effect of natural resource dependence on environmental sustainability under the novel load capacity curve hypothesis. Int J Sustain Dev World Ecol 31(4):431–446. https://doi.org/10.1080/13504509.2023.2296495
Caglar AE, Daştan M, Avci SB, Ahmed Z, Gönenç S (2024) Modeling the influence of mineral rents and low-carbon energy on environmental quality: new insights from a sustainability perspective. Nat Resour Forum 48(4):1456–1476. https://doi.org/10.1111/1477-8947.12472
Cao J, Han Y (2022) Industrial total factor energy efficiency measures and influencing factors considering the difference in industrial energy consumption—empirical analysis based on the panel data of 34 industries in Xinjiang. Eco-Econ 38(01):60–68
Chen Q, Mao Y, Morrison AM (2021) Impacts of environmental regulations on tourism carbon emissions. Int J Environ Res Public Health 13(23):128650. https://doi.org/10.3390/ijerph182312850
Dao, NB, Dogan, B, Ghosh, S, Kazemzadeh, E, & Radulescu, M (2024). Toward sustainable ecology: how do environmental technologies, green financial policies, energy uncertainties, and natural resources rents matter? Clean Technol Environ Policy. https://doi.org/10.1007/s10098-024-02887-y
Djeunankan R, Njangang H, Tékam H (2023) How does economic complexity improve energy efficiency? Mechanism discussion and empirical test. Environ Sci Pollut Res 30(43):96906–96925. https://doi.org/10.1007/s11356-023-28920-z
Dou Y, Shahbaz M, Dong K, Dong X (2022) How natural disasters affect carbon emissions: the global case. Nat Hazards 113:1875–1901. https://doi.org/10.1007/s11069-022-05374-z
Eskander SM, Fankhauser S (2023). The impact of climate legislation on trade-related carbon emissions 1996–2018. Environ Resour Econ. https://doi.org/10.1007/s10640-023-00762-w
Fikru, MG, Kilinc-Ata, N, Belaïd, F (2024) Climate policy stringency and trade in energy transition minerals: an analysis of response patterns.Resources Policy, 96105.https://doi.org/10.1016/j.resourpol.2024.105236
Fu Y, Zhu Y (2020) Financing constraints, technological innovation and enterprise energy consumption—based on the survey data of Chinese manufacturing enterprises. Investig Res 39(02):62–74
Gao D, Cao Y, Liu C (2023) The low-carbon policy and urban green total factor energy efficiency: evidence from a spatial difference-in-difference method. Int J Environ Res Public Health 20(4):3498. https://doi.org/10.3390/ijerph20043498
Hansen BE (1999) Threshold effects in non-dynamic panels: estimation, testing, and inference. J Econ 93(2):345–368. https://doi.org/10.1016/S0304-4076(99)00025-1
Hasanov FJ, Sbia R, Papadas D et al. (2024) The evidence from natural gas exporters. Energy Rep. 12:5974–5989. https://link.springer.com/article/10.1007/s11524-024-00888-2
Hausman J, Stock JH, Yogo M (2005) Asymptotic properties of the Hahn–Hausman test for weak-instruments. Econ Lett 89:333–342. https://doi.org/10.1016/j.econlet.2005.06.007
Hu H, Zuo W, Xu S (2022) Study on the decoupling effect and driving factors of carbon emission from transportation energy in the Yangtze River Economic Belt. Resour Environ Yangtze River Basin 2022(004):031
Irfan M, Mahapatra B, Shahbaz M (2023) Energy efficiency in the Indian transportation sector: effect on carbon emissions. Environ Dev Sustain. https://doi.org/10.1007/s10668-023-02981-z
Işık C, Ongan S, Islam H (2024) A new pathway to sustainability: integrating economic dimension (ECON) into ESG factors as (ECON-ESG) and aligned with sustainable development goals (SDGs). J Ekon 6(1):34–39. https://doi.org/10.58251/ekonomi.1450860
Işık C, Ongan S, Islam H, Menegaki AN (2024) A roadmap for sustainable global supply chain distribution: exploring the interplay of ECON-ESG factors, technological advancement and SDGs on natural resources. Resour Policy 95:105114. https://doi.org/10.1016/j.resourpol.2024.105114
Işık C, Ongan S, Yan J, Islam H (2025) Towards carbon neutrality & COP29 Baku/Azerbaijan—COP30 Belem/Brazil: exploring the impacts of economic, environmental, social, and governance (ECON-ESG) factors on Climate Policy Uncertainty (CPU) for sustainable development. Heliyon 11(3):e41944. https://doi.org/10.1016/j.heliyon.2025.e41944
Işık C, Ongan S, Islam H, Sharif A, Balsalobre-Lorente D (2024) Evaluating the effects of ECON-ESG on load capacity factor in G7 countries. J Environ Manag 360:121177. https://doi.org/10.1016/j.jenvman.2024.121177
Işık C, Ongan S, Islam H, Balsalobre-Lorente D, Sharif A (2024) ECON-ESG factors on energy efficiency: fostering sustainable development in ECON-growth-paradox countries. Gondwana Res 135:103–115. https://doi.org/10.1016/j.gr.2024.07.020
Işık C, Bulut U, Ongan S, Islam H, Irfan M (2024) Exploring how economic growth, renewable energy, internet usage, and mineral rents influence CO2 emissions: a panel quantile regression analysis for 27 OECD countries. Resour Policy 92:105025. https://doi.org/10.1016/j.resourpol.2024.105025
Işık C, Ongan S, Islam H, Pinzon S, Jabeen G (2024) Navigating sustainability: unveiling the interconnected dynamics of ESG factors and SDGs in BRICS-11. Sustain Dev 32(5):5437–5451. https://doi.org/10.1002/sd.2977
Jiang M, Gao X, Guan Q, Hao X, An F (2019) The structural roles of sectors and their contributions to global carbon emissions: a complex network perspective. J Clean Prod 208:426–435. https://doi.org/10.1016/j.jclepro.2018.10.127
Kazemzadeh E, Lotfalipour MR, Shirazi M, Sargolzaie A (2023) Heterogeneous effects of energy consumption structure on ecological footprint. Environ Sci Pollut Res 30(19):55884–55904. https://doi.org/10.1007/s11356-023-26118-x
Kazemzadeh E, Fuinhas JA, Salehnia N, Koengkan M, Silva N (2023) Exploring necessary and sufficient conditions for carbon emission intensity: a comparative analysis. Environ Sci Pollut Res 30(43):97319–97338. https://doi.org/10.1007/s11356-023-29260-8
Kazemzadeh E, Koengkan M, Fuinhas JA, Teixeira M, Mejdalani A (2022) Heterogeneous impact of electrification of road transport on premature deaths from outdoor air pollution: a macroeconomic evidence from 29 European countries. World Electri Veh J 13(8):155 https://doi.org/10.3390/wevj13080155
Khurshid A, Rauf A, Qayyum S, Calin AC, Duan W (2023) Green innovation and carbon emissions: the role of carbon pricing and environmental policies in attaining sustainable development targets of carbon mitigation—evidence from Central-Eastern Europe. Environ, Dev Sustain 25(8):8777–8798. https://doi.org/10.1007/s10668-022-02422-3
Kilinc-Ata N (2025) Investigation of the impact of environmental degradation on the transition to clean energy: new evidence from Sultanate of Oman. Energies 18(4):839–839. https://doi.org/10.3390/en18040839
Kilinc-Ata N, Dolmatov I (2023) The Russian Federation’s renewable energy development determinants: evidence from empirical research. Int J Energy Sect Manag 17(4):779–800. https://doi.org/10.1108/IJESM-04-2022-0018
Kilinc-Ata N, Barut A, Citil M (2024) Do military expenditures have an impact on the adoption of renewable energy in OECD nations? Evidence from a panel cointegration test approach. Int J Energy Sect Manag 18(6):1745–1766. https://doi.org/10.1108/IJESM-07-2023-0010
Koengkan M, Kazemzadeh E, Fuinhas JA, Tash MNS (2023) Heterogeneous impact of eco-innovation on premature deaths resulting from indoor and outdoor air pollution: empirical evidence from EU29 countries. Environ Sci Pollut Res 30(1):2298–2314. https://doi.org/10.1007/s11356-022-22423-z
Li K, Cao Y, Fan S, et al (2023) Simulation study of “water-energy-carbon” system in three northeastern provinces based on SD model. J Ecol (17):1–13.https://doi.org/10.20103/j.stxb.202208252434
Liao N, Luo X, Wu J (2021) Economic output, energy consumption and energy efficiency of the logistics industry. Stat Decis Mak 37(18):113–116. https://doi.org/10.13546/j.cnki.tjyjc.2021.18.025
Lin B, Tan R (2016) Ecological total-factor energy efficiency of China’s energy intensive industries. Ecol Indic 70:480–497. https://doi.org/10.1016/j.ecolind.2016.06.026
Lin B, Teng Y (2024) Industrial chain division and carbon emission intensity: the moderating effect of digitization. Energy 286:129573. https://doi.org/10.1016/j.energy.2023.129573
Liu B, Ding JC, Hu J et al. (2023) Carbon trading and regional carbon productivity. J Clean Prod 420:138395. https://doi.org/10.1016/j.jclepro.2023.138395
Liu XH (2022) Does trade liberalization promote the energy efficiency of enterprises Financ Theory Clust 2022(3):3–14. https://doi.org/10.13762/j.cnki.cjlc.20210402.001
Lv Y, Chen W, Cheng J (2020) Effects of urbanization on energy efficiency in China: New evidence from short run and long run efficiency models. Energy Policy 147:111858
Mahapatra B, Irfan M (2023) Investigating asymmetric impacts of total factor energy efficiency on carbon emissions in India. Environ Sci Pollut Res 30(19):55340–55353. https://doi.org/10.1007/s11356-023-26206-y
Arias P, Bellouin N, Coppola E, Jones C, Krinner G, Marotzke J, Naik V, Plattner G-K, Rojas M, Sillmann J, Storelvmo T, Thorne P, Trewin B, Achutarao K, Adhikary B, Armour K, Govindasamy B, Barimalala R, Berger S, Zickfeld K (2021) Climate Change 2021: The Physical Science Basis. Contribution of Working Group I to the Sixth Assessment Report of the Intergovernmental Panel on Climate Change; Technical Summary
Modise RK, Mpofu K, Adenuga OT (2021) Energy and carbon emission efficiency prediction: applications in future transport manufacturing. Energies 14:8466. https://doi.org/10.3390/en14248466
Mohd I, Bamadev M, Muhammad S (2023) Energyefficiency in the Indian transportation sector: Effect on carbon emissions. Environ Dev Sustain https://doi.org/10.1007/s10668-023-02981-z
Nam E, Jin T (2021) Mitigating carbon emissions by energy transition, energy efficiency, and electrification: difference between regulation indicators and empirical data. J Clean Prod 300:126962. https://doi.org/10.1016/j.jclepro.2021.126962
Nathaniel SP, Ekeocha DO, Nwulu N (2022) Quantile estimation of ecological footprint and economic complexity in emerging economies: The moderating role of increasing energy consumption. Environ Sci Pollut Res 29(22):33856–33871. https://doi.org/10.1007/s11356-021-18397-z
Ohene-Asare K, Tetteh EN, Asuah EL (2020) Total factor energy efficiency and economic development in Africa. Energy Effic 13:1177–1194. https://doi.org/10.1007/s12053-020-09877-1
Otim J, Watundu S, Mutenyo J, Bagire V (2025) Determinants of carbon dioxide emissions: role of renewable energy consumption, economic growth, urbanization and governance. SN Bus Econ 5(3):23. https://doi.org/10.1007/s43546-025-00791-1
Pflüger M (2021) City size, pollution and emission policies. J Urban Econ 126:103391. https://doi.org/10.1016/j.jue.2021.103391
Porta CAMLa, Zapperi S (2024) Urban scaling functions: emission, pollution and health. J Urban Health 101:752–763. https://doi.org/10.1007/s11524-024-00888-2
Qiu F, Yuan H, Bai L, Li F (2017) Spatial-temporal heterogeneity of industrial structure transformation and carbon emission effect in Xuzhou Metropolitan Area. Chin Geogr Sci 27(6):904–917. https://doi.org/10.1007/s11769-017-0920-8
Silva N, Fuinhas JA, Koengkan M, Kazemzadeh E (2024) What are the causal conditions that lead to high or low environmental performance? A worldwide assessment. Environ Impact Assess Rev 104:107342. https://doi.org/10.1016/j.eiar.2023.107342
Stock JH, Watson MW (2008) Heteroskedasticity-robust standard errors for fixed effects panel data regression. Econometrica 76:155–174. https://doi.org/10.1111/j.0012-9682.2008.00821.x
Stock JH, Wright JH, Yogo M (2002) A survey of weak instruments and weak identification in generalized method of moments. J Bus Econ Stat 20:518–529. https://doi.org/10.1198/073500102288618658
Su B, Goh T, Ang BW, Ng TS (2022) Energy consumption and energy efficiency trends in Singapore: the case of a meticulously planned city. Energy Policy 161:112732. https://doi.org/10.1016/j.enpol.2021.112732
Tone K (2002) A slacks-based measure of super-efficiency in data envelopment analysis. Eur J Oper Res 143(1):32–41
Wang C, Nie P (2018) How rebound effects of efficiency improvement and price jump of energy influence energy consumption? J Clean Prod 202:497–503. https://doi.org/10.1016/j.jclepro.2018.08.169
Wang Z, Wang X (2022) Research on the impact of green finance on energy efficiency in different regions of China based on the DEA-Tobit model. Resour Policy 77:102695
Wei Z, Wei K, Liu J, Zhou Y (2023) The relationship between agricultural and animal husbandry economic development and carbon emissions in Henan Province, the analysis of factors affecting carbon emissions, and carbon emissions prediction. Mar Pollut Bull 193:115134
Wu G, Liu J, Chen Y (2021) Spatial characteristics and spillover effects of agricultural carbon emission intensity in China. Environ Sci Technol 44(11):211–219. https://doi.org/10.19672/j.cnki.1003-6504.1521.21.338
Xu T, You J, Li H et al. (2020) Energy efficiency evaluation based on data envelopment analysis: a literature review. Energies 13(14):3548
Yavuz E, Kilic E, Caglar AE (2024) A new hypothesis for the unemployment-environment dilemma: Is the environmental Phillips curve valid in the framework of load capacity factor in Turkiye? Environ Dev Sustain 26(11):29475–29492. https://doi.org/10.1007/s10668-023-04258-x
Yi Y, Qi J, Chen D (2022) Impact of population agglomeration in big cities on carbon emissions. Environ Sci Pollut Res 29(57):86692–86706. https://doi.org/10.1007/s11356-022-21722-9
Yuan H, Feng Y, Luo X, Feng Y (2022) How does the manufacturing industry agglomeration affect the regional green development and welfare? China Popul Resour Environ 32(05):68–83
Zhang S, Wang K, Xu W (2023) Research on the carbon emission control index of low-carbon, near-zero-carbon and zero-carbon public buildings. Build Sci 39(02):1–10+35. https://doi.org/10.13614/j.cnki.11-1962/tu.2023.02.01
Zhang X, Pan Z, Tang D, Deng Z, Boamah V (2023) Impact of environmental regulation and industrial agglomeration on carbon emissions in the Yangtze River economic belt. Sustainability 15(10):8308. https://doi.org/10.3390/su15108308
Zhu M, Han Z (2023) China’s industrial structure upgrading, total factor energy efficiency and carbon emissions. J Resour Ecol 03:445–453
Acknowledgements
This study was financially supported by the Excellent Young Scientists Fund from the National Natural Science Foundation of China (Grant No. 42422105), the University of Hong Kong HKU-100 Scholars Fund, the Guizhou Province Natural Science Research Project (Qian Jiao Ji [2023] No. 033) and the Guizhou Province Major Science and Technology Achievement Transformation Project (QKHCG[2024]ZD016).
Author information
Authors and Affiliations
Contributions
CL(First Author): Conceptualization, Methodology, Funding Acquisition, Writing—Original Draft. WZ: Data Curation, Methodology, Software, Formal Analysis, Writing—Original Draft. ZX (Corresponding Author): Resources, Supervision, Writing—Review & Editing. YZ: Investigation, Writing—Original Draft. MY: Resources, Supervision. LW: Conceptualization, Validation. XW: Visualization, Writing—Review & Editing. ABW: Resources, Supervision. JX: Supervision, conceptualization. All authors reviewed the manuscript.
Corresponding author
Ethics declarations
Competing interests
The authors declare no competing interests.
Ethical approval
The study does not involve human participants or their data.
Informed consent
The study does not involve human participants or their data.
Additional information
Publisher’s note Springer Nature remains neutral with regard to jurisdictional claims in published maps and institutional affiliations.
Appendix
Appendix
Appendix: Baseline regression results
(1) | (2) | (3) | (4) | |
|---|---|---|---|---|
lnce | lnci | lncd | CN | |
TFEE | −0.629*** (−9.93) | −1.506*** (−26.32) | −0.932*** (−11.72) | −7.137* (−2.54) |
POP | −0.00642 (−0.39) | −0.0935*** (−6.28) | −0.311*** (−15.00) | 10.06*** (13.75) |
ECO | 0.0603*** (10.44) | 0.0589*** (11.28) | 0.158*** (21.79) | 2.108*** (8.21) |
ENVIR | −0.458*** (−6.95) | −0.417*** (−7.00) | −0.467*** (−5.64) | 4.094 (1.40) |
GPIL | 0.427*** (42.25) | 0.0479*** (5.25) | 0.216*** (17.01) | 1.263** (2.81) |
IS | −0.170*** (−9.86) | −0.0877*** (−5.64) | −0.346*** (−15.99) | −4.209*** (−5.51) |
Constant | 5.884*** (95.90) | 2.271*** (40.96) | 1.175*** (15.25) | −37.16*** (−13.64) |
Fixed Effects | Y | Y | Y | Y |
N | 2975 | 2975 | 2975 | 2975 |
F | 689.6*** | 178.4*** | 311.7*** | 193.7*** |
\({R}^{2}\) | 0.5834 | 0.2659 | 0.3876 | 0.2823 |
Rights and permissions
Open Access This article is licensed under a Creative Commons Attribution-NonCommercial-NoDerivatives 4.0 International License, which permits any non-commercial use, sharing, distribution and reproduction in any medium or format, as long as you give appropriate credit to the original author(s) and the source, provide a link to the Creative Commons licence, and indicate if you modified the licensed material. You do not have permission under this licence to share adapted material derived from this article or parts of it. The images or other third party material in this article are included in the article’s Creative Commons licence, unless indicated otherwise in a credit line to the material. If material is not included in the article’s Creative Commons licence and your intended use is not permitted by statutory regulation or exceeds the permitted use, you will need to obtain permission directly from the copyright holder. To view a copy of this licence, visit http://creativecommons.org/licenses/by-nc-nd/4.0/.
About this article
Cite this article
Li, C., Zhang, W., Xu, Z. et al. Impacts and threshold effects of total factor energy efficiency on carbon emissions and carbon neutrality across China’s cities. Humanit Soc Sci Commun 12, 1206 (2025). https://doi.org/10.1057/s41599-025-05488-2
Received:
Accepted:
Published:
Version of record:
DOI: https://doi.org/10.1057/s41599-025-05488-2








