Abstract
At present, the practice of national spatial planning in China is progressing actively. Provincial and autonomous regional spatial plans (public notice drafts), which are pivotal policy instruments for managing the development, utilization, and conservation of national territorial spaces, have been formulated and passed approval procedures across 27 provinces and autonomous regions. Systematically analyzing spatial planning documents can help clarify provincial objectives, visions, and policy details, identify planning innovations and trends, and uncover potential oversights, providing a scientific basis for developing lower-level spatial plans, special plans, and policy frameworks. This study employed the Nvivo qualitative analysis software for policy text coding and executed text mining and spatial distribution characterization of pivotal planning elements. The research constructed a three-tier coding system including 4 parent codes, 14 first-level codes and 33 second-level codes. The result shows: (i) Provincial territorial spatial planning primarily focuses on macro-programmatic content, with attention to spatial strategies, positioning and objectives, and major regional infrastructure, while some provinces emphasize inter-provincial collaboration under the guidance of regional strategic development. (ii) There is a high degree of similarity in the specific content of concern across provinces, with a pervasive emphasis on sustainable development models, overall developmental goals and strategies, ecological conservation, agriculture, infrastructure and its guarantees. (iii) The content of provincial territorial spatial plans in certain regions exhibits a marked interrelation, indicative of a pronounced regional spatial correlation. Overall, this study offers new perspectives for understanding provincial policy intentions and characteristics, establishing a link between planning content and Sustainable Development Goals, and furnishing valuable insights and references for the refinement of future planning policies.
Similar content being viewed by others
Introduction
The Sustainable Development Goals (SDGs) proposed by the United Nations in 2015 have identified global development goals, advocating a transition towards sustainable development to address global challenges. In China, the gradually established territorial spatial planning (TSP) system and planning practices can serve as important policy carriers for SDGs’ localization (Hu et al., 2024; Qiu et al., 2023; Song et al., 2024). The provincial territorial spatial planning (PTSP) in TSP acts as a master plan that governs the protection, development, utilization, and restoration of all land within provincial areas (Liu & Zhou, 2021a). PTSP is always characterized by its strategic, coordinative, comprehensive, and binding features (Chen et al., 2020; Liu & Zhou, 2021a; Song et al., 2021b; Yanbo et al., 2023). Goals within the SDGs, such as promoting sustainable agriculture development (SDG2), upgrading infrastructure construction (SDG9), and revitalizing the global partnership for sustainable development (SDG17), can be integrated into PTSP at the strategic level. Meanwhile, PTSPs serve as an intermediary link to ensure the coordination and consistency of plans across national, regional, and provincial levels, acting as a bridge between upper and lower levels (Zhang et al., 2023). This role facilitates the provision of support and guidance for the implementation of SDGs at each subnational level.
Currently, research on PTSP in China mainly focuses on the formulation of planning strategies (Bao et al., 2024; Ge & Lu, 2021), evaluation of planning implementation (Fan et al., 2021; Song et al., 2021b; Zhang et al., 2024), construction of supporting systems (Chen et al., 2023; Shao et al., 2023), special planning (Chen et al., 2023; Ran et al., 2024), and innovation in related supportive analytical technology (Chen et al., 2024; Mao et al., 2024; Nie, 2024; Qin et al., 2024). Few scholars employ qualitative analysis of compilation outcomes to explore textual content systematically. Qualitative analysis can deeply excavate and analyze the common concerns and logical structures of textual materials through tools such as Nvivo (Zamawe, 2015; Maher et al. (2018); Lim, 2024). In the field of urban planning, existing studies have employed Nvivo-based grounded theory to decode the core issues of policy texts and the internal logical hierarchies of policy objectives (Li et al., 2022). PTSP is a crucial policy document for the development of Chinese provinces, essential for the strategic positioning of provincial development and the growth of cities or urban clusters within the province. However, there remains a lack of systematic qualitative analysis of PTSP texts. Moreover, exploring the spatial aggregation characteristics of key content within the text aids in identifying macro considerations for coordinated inter-provincial development on a larger regional scale. Thus, spatial clustering analysis of key considerations (content points) based on local distribution characteristics can further reveal the relevance of specific issues between a province and its neighboring regions (Zhang et al., 2024; Castaldi, 2025). It significantly contributes to an in-depth understanding of development strategies across broader geographic scales. Notably, current research lacks integrative approaches combining qualitative analysis with spatial analysis.
We adopted a qualitative approach (grounded theory) to construct a coding system for PTSP documents and combined it with local spatial autocorrelation analysis to conduct qualitative and spatial distribution characteristic analyses. The research aims to address two key questions: (i) What are the key considerations of provincial territorial spatial planning, and what are the disparities across provinces? (ii) Do the prioritized planning contents exhibit spatial clustering characteristics? Furthermore, we discussed the key findings in relation to SDGs, and finally, offered several recommendations for aligning PTSP with the localization of the SDGs.
Study design
Figure 1 presents the technical roadmap of this study. Firstly, we obtained the territorial spatial planning documents from 27 provinces and organized them into editable text data. Then, a three-stage coding process was employed to develop the coding node system for this study, including open coding, axial coding, and selective coding. Based on this, we organized all the text and categorized relevant content into corresponding nodes within the Nvivo software. Subsequently, this study conducted descriptive statistics and cluster analysis based on coded reference point values, uncovering common issues of concern in planning. Moreover, spatial autocorrelation characteristics are emphasized. We employed local autocorrelation analysis to investigate the spatial relationship between parent nodes and secondary nodes, providing evidence for inter-provincial connections within the identified regions. Based on the rich findings in mathematical and spatial statistics, relevant policy recommendations related to provincial land space planning were put forward.
(This figure presents the overall framework of this study, outlining the key components and procedural flow of the research design, including the research objectives, methodological steps, data sources, and analytical approaches).
Study objective and data
In our study, we selected 27 provinces or autonomous regions of China as the spatial objects of analysis (excluding Hong Kong SAR, Macao SAR and Taiwan, as well as the four municipalities, including Shanghai, Beijing, Tianjin, and Chongqing). These provinces or autonomous regions are distributed across North China (3 samples), Central China (3 samples), South China (3 samples), Northeast China (3 samples), Southeast China (6 samples), Southwest China (4 samples), and Northwest China (5 samples) respectively (Fig. 2). Through comprehensive searches and collections from the official websites of Chinese governments, we obtained these samples’ public notice drafts of PTSPs which published between 2019 and 2022. The public notice draft is a planning proposal, and its main content is released to the public. It reflects the direction, objectives, and critical points of territorial spatial development and utilization in each province over a certain period in the future. Based on these textual data, this study conducted relevant qualitative analysis and spatial distribution characteristic analysis.
(This figure shows the locations of all provincial-level administrative regions (including provinces and autonomous regions) in China, marks the English abbreviations of provincial-level administrative regions (e.g., Heilongjiang Province is abbreviated as HL), divides the geographical regional scopes such as Northeast China, North China, and East China, and indicates the excluded study areas).
Methodology
Qualitative analysis based on grounded theory
Grounded theory (GT) is a method that focuses on establishing substantive theories through building inductive analysis or constructing meanings in collected empirical data through texts, interviews, literature, etc., using a bottom-up approach and coding techniques (Glaser et al., 1968). This methodology is instrumental in addressing processual data and constructing theoretical models to support research endeavors. The software Nvivo12 Plus enables multi-level node coding by linking research themes to relevant reference points (Dhakal, 2022).
Adhering to grounded theory methodology, we implemented a three-stage coding process on the draft for comments: open coding, axial coding, and selective coding. We imported 27 PTSP documents into Nvivo 12 software for coding. In the open coding phase, the content of planning documents from all provinces was broken down into smaller units in an open state, and we identified concepts and reassembled the data to generate initial reference points, resulting in 33 second-level codes. In the axial coding phase, we identified and established the subcategories by discovering the relationships of planning text content between conceptual categories and themes, resulting in 14 first-level codes. In the selective coding phase, we identify all reference points’ core categories, which were classified into 4 parent codes. Based on this, the study analyzed the total number of reference points (i.e., the corresponding content information in this paper) contained in each node and their spatial clustering characteristics.
Spatial autocorrelation analysis
Expanding on our qualitative analysis, we conducted a spatial autocorrelation analysis to assess the frequency distribution of parent codes and second-level codes (i.e., the number of reference points) across provinces, utilizing the coded data. This study employed the Local Indicators of Spatial Association (LISA) method to analyze the spatial proximity of PTSP outcomes. Proposed by Anselin (1995), LISA accounts for spatial heterogeneity and enables the analysis of clustering or dispersion of specific elements in space, aiding in the exploration and understanding of cross-provincial planning and development strategies. The calculation formula is as follows:
Here, i ≠ j; n represents the total number of provinces, \({x}_{i}\) and \({x}_{j}\) denote the number of reference points for analysis units i and j, respectively, while \({W}_{{ij}}\) is the spatial weight matrix. The Moran’s I statistic \({I}_{i}\) measures the spatial autocorrelation of the reference point counts by examining the distribution of high and low values among neighboring provinces. This distribution was visualized in a scatter plot with four quadrants representing different patterns: H-H (High-High clustering), L-L (Low-Low clustering), H-L (High-Low clustering), and L-H (Low-High clustering).
Results
Number of coded reference points
Table 1 presents the coded statistical data of China’s PTSP documents. We systematically applied a hierarchical coding approach to meticulously review and analyze 27 provincial territorial spatial planning texts, resulting in the extraction of 1725 reference points. The second-level codes (33 in total) were obtained based on the induction of reference points, and they ascended to summarize the first-level codes (14 in total) and the parent codes (4 in total) sequentially. These interrelated hierarchical codes collectively reveal the territorial spatial planning texts’ content emphases and hierarchical structure across various provinces. The parent codes encompass “Overall Strategy”, “Planning Guarantee”, “Policy Orientation”, and “Support System”, with the respective reference point counts being 1128, 162, 95, and 340.
Table 1 indicates that the top five first-level codes are “Spatial Strategies” (786), “Positioning and Objectives” (238), “Regional Major Facilities” (140), “Transportation Infrastructure” (105), and “Development Paradigm” (104). It shows that PTSP in China is programmatic and macro-guided, which can offer a foundational basis for the establishment of the provincial-territorial spatial system.
Relatively, the planning texts pay less attention to “Laws & Regulations” (32), “Community Integrated Services” (23), “Public Service Mode” (17), and “Major Project Safeguards” (14), suggesting that these points are not core concerns to the planning at the provincial level. It should be noted that some codes reflect the coordinated development between provinces. For instance, reference points underscore the importance of inter-provincial coordinated development from a regional perspective, as seen in the Yangtze River Economic Delta, Pearl River Delta, and Belt and Road Initiative. This coordination is primarily reflected in regional major infrastructure, provincial policy guidance, and the integration of ecology and industrial development within spatial strategies.
Results of cluster analysis based on coding similarity
We performed cluster analysis on all second-level codes, as well as those within the “Overall Strategy”, “Planning Guarantee”, Policy orientation”, and “Support System” categories, using the Jaccard coefficient to measure coding similarity (Fig. 3). In the cluster diagram, blue lines between nodes indicate a positive connection (i.e., similarity), while red lines indicate a negative relationship (i.e., exclusivity) (Bengt & McDougall, 2019). The lines’ sparseness reflects the coded nodes’ importance in all texts (Alcoforado & Egídio dos Reis, 2020; Ying et al., 2014). It has been stated that the cluster analysis results are more robust when the Jaccard coefficient is between 0.5 and 1 (Fig. 3) (Pinero de Plaza et al., 2024; Vieira et al., 2024). The results indicate that the second-level codes for “Overall Strategy” and “Planning Guarantee” have higher clustering performance, with mean Jaccard coefficients of 0.607 and 0.582, respectively. In contrast, certain categories show less ideal clustering performance. The mean Jaccard coefficients for the overall clustering of all second-level codes, “Support System”, and “Policy Orientation” are 0.44 (overall clustering of all second-level codes), 0.32 (Support System), and 0.394 (Policy Orientation), respectively. Although some nodes do not exhibit significant clustering characteristics, there are still notable correlations among certain nodes. For instance, the Jaccard coefficients for the “Organizational Mechanisms” node with “Platform Support”, “Town”, and “Agriculture” are close to 1, indicating a high degree of similarity (all second-level codes). Additionally, the Jaccard coefficient between “Major Regional Safety and Disaster Prevention Facilities” and “Major Regional Water Supply Facilities” within the “Support System” category is 0.875.
(The figure includes five subgraphs: provincial-level territorial spatial planning (a), Overall Strategy (b), Support System (c), Planning Guarantee (d), and Policy Orientation (e). It illustrates the connections between different codes (presented in abbreviated form, such as AGRI for Agriculture) through lines connecting the nodes. Each subgraph lists the top five, bottom five (some subgraphs show all rankings) of code associations and their Jaccard coefficients, and marks the average Jaccard coefficient.
In the cluster analysis of all second-level codes (Fig. 3a), a prominent network is observed, characterized by multiple blue lines radiating from most nodes and connecting to various other nodes. This indicates that although there are variations in node frequency across different elements, the underlying content of these nodes shares a remarkable degree of similarity. For instance, the Jaccard coefficient between “Platform Support (PS)” and “Organizational Mechanism (OM)” reaches 1.000 (the table in Fig. 3a), indicating a high degree of content similarity and a strong correlation between two elements in provincial-territorial spatial planning. This finding suggests that provincial planning integrates technical tools and institutional frameworks as holistic guarantee measures and coordinated planning elements. However, regarding line density, a subset of nodes demonstrates sparser connectivity with other nodes, such as “Demands (DMD)”, “Development and Protection Patterns (DPPs)”, “Development Patterns (DPs)”, “Economy (ECON)”, “Education (Edu)”, “External Influence (EI)”, “Healthcare (H)”, “Internal Influences (II)”, “Major Project Safeguards (MPS)”, “Major Regional Electrical Facilities (MREF) “, “New Infrastructure (NI)”, and “Ocean (O)”. This phenomenon aligns with provincial planning’s characteristic focus on macro-level strategic content—such as Macro Strategies (MS), Development Goals (DGs), and Agriculture (AGRI)—which exhibit dense interconnections and coefficients ≥ 0.963 (the table in Fig. 3a). This further emphasizes the prioritization of foundational and strategic considerations in the planning process. The absence of red lines across all second-level clusters indicates that the content of PTSP is not characterized by exclusivity or negative relationships. Instead, it exhibits pronounced synergies and integrated consideration of diverse components, enabling objectives, spatial strategies, and supporting systems to function in a complementary and mutually reinforcing manner rather than in conflict.
The cluster analysis of second-level codes (Fig. 3b, c, e) or first-level codes (Fig. 3d) reveals that the connections between nodes are uniformly blue, signifying high content similarity among the interconnected nodes. Additionally, within the Overall Strategy, a few second-level codes such as “Conservation Patterns (CP)”, “Development Patterns (DPs)”, “Economy (ECON)”, and “Ocean (O)” exhibit low connectivity. This suggests that Chinese provinces are adopting a more holistic development approach, seeking a balanced integration of protection and development. There is a shift towards considering not just economic growth but also the sustainability of development (the coefficient between “Agriculture (AGRI)” and “Ecology (ECO)” is 0.963 (the table in Fig. 3b)), aligning with its programmatic status (Fig. 3b). In the “Support Systems” (Fig. 3c) and “Policy Orientation” (Fig. 3e) nodes, several second-level codes are isolated, lacking connections with others. These nodes encompass aspects of public and community services, infrastructure, and both internal and external influences. This indicates a general lack of widespread attention from Chinese provinces towards these areas. Furthermore, Fig. 3d illustrates the formation of a triangular relationship within the “Planning Guarantee”, linking “Platform Support (PS)”, “Organizational Mechanisms (OM)” and “Laws & Regulations (L&R)”. The “Major Project Safeguards (MPS)” are observed to have weak connections with other nodes, implying that PTSP focuses on smooth operation and compliance of the planning system. The cluster analysis of second-level codes or first-level codes did not generate any red line. This finding corroborates that the specific elements and details in provincial spatial plans also maintain coherence and systemic relationships, thereby avoiding exclusive provisions.
Results of local spatial autocorrelation analysis based on parent codes
We utilized the ArcGIS 10.8 software to analyze the local spatial autocorrelation of the frequency of the reference points within four parent codes: “Overall Strategy”, “Planning Guarantee”, “Policy Orientation”, and “Support System”. Figure 4 displays the spatial clustering characteristics of the parent codes, indicating a statistically significant local spatial autocorrelation for the reference points under the four parent codes at the 95% significance level.
(The figure includes four subgraphs: Overall Strategy (a), Planning Guarantee (b), Policy Orientation (c), and Support System (d). Different colors are used to indicate High-High Cluster, Low-Low Cluster, High-Low Outlier, Low-High Outlier, and Not Significant areas, highlighting the local spatial autocorrelation distribution characteristics of each parent code’s frequency in space and marking the excluded study areas.
Regarding the “Overall Strategy” (Fig. 4a), the provinces with significant spatial clusters are predominantly located in the western region of China, reflecting a concentrated pattern. Provinces with H-H clustering characteristics include Qinghai (QH) and Yunnan (YN), which can be attributed to their shared status as ecological barrier zones and biodiversity core areas, and have a common requirement for balance between agricultural development and ecological conservation. In contrast, the Tibet Autonomous Region (XZ) exhibits L-L clustering, likely due to its relatively lagging economic development and weaker planning autonomy, resulting in a lower density of strategic content compared to other provinces. In the aspect of planning guarantee (Fig. 4b), the spatial clustering patterns for each reference point frequency are relatively more diverse; Sichuan (SC), Shaanxi (SN), and Liaoning (LN) are provinces with H-H clustering, primarily because these provinces face higher institutional demands for regional governance and possess certain first-mover advantages in policy piloting. The Xinjiang Uygur Autonomous Region (XJ) shows L-L clustering characteristics, possibly due to the unique requirements of frontier governance, which emphasize technical platforms over institutional coordination. Meanwhile, Shandong (SD) and Jiangsu (JS) are provinces showed a pattern of H-L adjacency, reflecting their relatively higher development levels compared to neighboring provinces and highlighting the institutional gradient between coastal and inland regions. Figure 4c, d reveal relevant policy attention and support system clustering. In “Policy Orientation” (Fig. 4c), significant clustering is observed in two provinces: Xinjiang Uygur Autonomous Region (XJ) with H-H clustering and Jiangxi (JX) with L-H clustering, highlighting regional disparities. This divergence may stem from Xinjiang’s strategic positioning as a core area of the Belt and Road Initiative, fostering policy extroversion, while Jiangxi’s inland location limits exposure to outward-oriented policy spillovers from surrounding regions. In the “Support System” (Fig. 4d), Zhejiang (ZJ) and Hainan (HI) both exhibit significant H-H clustering, with no other provinces showing geographically clustered types. This is mainly due to their coastal openness and unique functional positioning, which drive higher demands for infrastructure development.
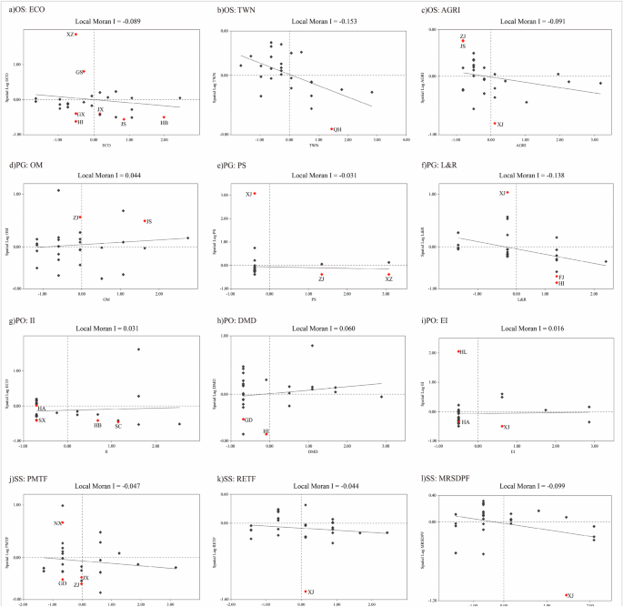
Results of local spatial autocorrelation analysis based on second-level codes
To further explore the spatial distribution of the planning content, we performed a local spatial autocorrelation analysis on the second-level codes with the top three frequency points under each parent code. For the “Planning and Guarantee” node, which lacks second-level codes, we used its first-level codes for the analysis, focusing on those with higher frequency rankings. Since first-level nodes represent highly abstract and synthesized constructs at a higher level, they may obscure the detailed information covered by second-level codes. As mid-level categories, second-level codes serve as a bridge between empirical data and abstract theory, maintaining a closer connection to data and thereby enhancing the guidance of research findings for subsequent planning. Therefore, this study primarily employs second-level codes for spatial analysis.
Upon examination of Figs. 5a–f and 6a–f, it becomes evident that provinces with statistical significance at the 95% level within the top-ranked second-level codes of the “Overall Strategy” and “Planning Guarantee” dimensions are concentrated mainly in either the H-H or L-L clustering regions. Particularly, Xinjiang (XJ) stands out with a H-H cluster in the realm of “Agriculture”, while it presents a L-L spatial clustering profile with respect to “Platform Support” and “Laws & Regulations”. Furthermore, Guangxi (GX) and Hainan (HI) exhibit a comparatively diminished emphasis on ecological aspects when compared with their surrounding provinces, indicative of a L-H clustering tendency. Conversely, Jiangsu Province (JS) displays a significantly higher frequency in the “Organizational Mechanism (OM)” node relative to its neighboring provinces, thereby highlighting a pronounced H-L local spatial clustering attribute.
(The figure includes 12 subgraphs, corresponding to the top three second-level codes in frequency under Overall Strategy (OS), Planning Guarantee (PG), Policy Orientation (PO), and Support System (SS) (e.g., OS: ECO represents the ecology code under Overall Strategy). Different colors are used to distinguish High-High Cluster, Low-Low Cluster, High-Low Outlier, Low-High Outlier, and Not Significant areas, showing the local spatial autocorrelation distribution characteristics of each second-level code’s frequency in space, and marking the excluded study areas).
(This figure shows the spatial autocorrelation relationship of the second-level codes (top three in frequency) through scatter distribution. The red points in the figure correspond to provinces with significant local spatial autocorrelation in the map.
In terms of Policy Orientation, the spatial distribution of both internal and external influence nodes exhibits L-H clustering characteristics, and the provinces with significant performance at the 95% level are all located in the border area of North, Central and East China (Figs. 5g, i and 6g, i). The result of internal influence includes Shanxi (SX) and Henan (HA) provinces, while the result of external influence comprises Henan (HA), Hubei (HB), Anhui (AH), and Jiangxi (JX) provinces. Internal influence leads to significant H-H clustering in Sichuan (SC) and Hubei (HB), while external influence results in H-H clustering in Xinjiang (XJ) and Zhejiang (ZJ), with Heilongjiang (HL) in an L-L agglomeration area. Under the “Demand” node, fewer provinces show significant spatial clustering, predominantly L-H, and are mainly in South China, including Guangdong (GD) and Hainan (HI) (Fig. 5h).
Within the Support Systems, Xinjiang (XJ) emerges as a focal region of significant focus for both regional external transportation facilities and major regional safety and disaster prevention facilities. Spatially, this is characterized by a pronounced H-H clustering characteristic (Figs. 5k, l and 6k, l). In the context of the province’s major transportation facilities (Figs. 5j and 6j), Ningxia (NX) shows an L-L spatial clustering, indicating a relatively low frequency of this node in the surrounding provinces, while a significant L-H spatial clustering has been identified in a contiguous area of Eastern and Southern China, including Zhejiang (ZJ), Jiangxi (JX), and Guangdong (GD) provinces.
Discussion
In this study, we systematically coded and visualized the texts of 27 provincial territorial spatial plans (public notice version) in China using a qualitative analysis approach. By leveraging the grounded theory approach for qualitative analysis, we developed a substantive theoretical framework aimed at uncovering the regular patterns, structures, and interrelations embedded within the text material. Meanwhile, the application of LISA in local spatial autocorrelation analysis enabled the revelation of specific planning key considerations. This approach is particularly valuable for policy decision-makers at the national level seeking to discern and interpret the development of provinces, as well as to explore the potential interconnections that may exist between different provinces.
Overall, this study has three main findings. First, Chinese territorial spatial planning at the provincial level is mainly focused on macro-programmatic content, with a keen interest in spatial strategies, positioning and objectives, and regional major facilities. Notably, some provinces underscore the imperative of cross-provincial collaboration under the guidance of regional strategic development. Second, planning documents across various provinces show a significant degree of similarity, particularly in their focus on sustainable development. Common focal points include macro strategies, development goals, ecological preservation, agricultural development, and infrastructure guarantees. Third, a significant spatial correlation is evident in the key content of regional provincial territorial spatial plans, particularly in local spatial correlations. Xinjiang (XJ) stands out as the most prominent province where agriculture, external influence, major regional safety and disaster prevention facilities, and regional transportation facilities are paramount local concerns. Eastern coastal provinces like Zhejiang (ZJ) show distinct spatial clustering, with a high emphasis on planning platform support and external influence, yet there is a notable lack of focus on organizational mechanisms and major transportation facilities.
PTSP occupies a higher level in China’s territorial spatial planning system, which determines that its content has a programmatic characteristic. On one hand, the territorial spatial planning of a specific province is guided by the national strategy for major functional zones, requiring it to undertake strategic roles and development positioning within broader regional and national-level contexts (Bao et al., 2024; Liu & Zhou, 2021b). On the other hand, it provides a crucial legal basis for local development, aiding in the formulation of a development vision and objectives, and in crafting strategies that are sensitive to the province’s distinct features and developmental requirements (Wang & Shen, 2016). Thus, strategic, coordinating, and restrictive elements become the central focus of PTSP.
It may play a significant role in promoting local development to break through the limitations imposed by administrative divisions on resource circulation and personnel collaboration (Yang, 2024), but current analyses indicate that cross-provincial synergistic development has not been adequately emphasized. The spatial autocorrelation analysis reveals significant spatial disparities in the focus on synergistic development among different provinces. For instance, Xinjiang (XJ) exhibits H-H clustering characteristics such as Agriculture (AGRI), Regional External Transportation Facilities (RETF), and Major Regional Safety and Disaster Prevention Facilities (MRSDPF). -high clustering characteristics in such as Agriculture (AGRI), Regional External Transportation Facilities (RETF), and Major Regional Safety and Disaster Prevention Facilities (MRSDPF). This reflects its role as a frontier province under national strategies like the “Belt and Road” Initiative, where strengthening agricultural foundations, transportation hubs, and safety guarantees is essential to support external synergistic development. These findings align closely with SDG17 emphasis on global partnerships and SDG9 objectives for infrastructure development (Table 2). In contrast, Zhejiang (ZJ) demonstrates H-H clustering in the platform support (PS) node within the support system, highlighting its forward-looking approach to leveraging technological advantages to establish planning implementation platforms. However, its attention to Organizational Mechanisms (OM) and Province Major Transportation Facilities (PMTF) remains insufficient, indicating a need to enhance cross-regional management innovation and transportation network coordination (Table 2). Jiangsu (JS) displays H-L clustering in Organizational Mechanisms (OM), suggesting a unique approach to planning execution mechanisms. Nevertheless, the lack of synergy with neighboring provinces may lead to regional imbalances. These findings underscore the importance of tailored policy interventions to address spatial heterogeneity and promote coordinated development across regions.
It is evident that integrating into globalization processes (Liu et al., 2023), aligning with national development patterns (Song et al., 2021a), fostering regional cooperation (Yang et al., 2022; Yang et al., 2024), participating fully in the industrial division of labor (Liao & Li, 2022; Liu et al., 2020), and promoting the flow of various factors (Ge et al., 2022) are vital for province development. Inter-provincial coordination requires formulating differentiated strategies based on spatial agglomeration characteristics, embedding localized indicators of SDG 9 (Industry, Innovation and Infrastructure) and SDG 17 (Partnerships for the Goals) into the spatial layout and mechanism design of territorial spatial planning. Particular attention should be paid to the radiation-driven effects of high-high (H-H) clusters and the policy empowerment of low-low (L-L) clusters.
The high degree of similarity in the content focus across various provinces can be largely attributed to the transformation in development philosophy, requirements for planning review, and guidance from compilation standards. In terms of development philosophy, China has experienced a profound transition from a rapid and extensive growth model to one predicated on sustainable development, which founded on ecological conservation (Ji et al., 2017; Zhang & Wen, 2008), and the reform of the ecological civilization system has promoted a high level of attention to ecological environmental protection in government decision-making (Wu et al., 2021; Xie, 2020). The Opinions of the Central Committee of the Communist Party of China and the State Council on Establishing a Territorial Spatial Planning System and Supervising Its Implementation clearly stipulates that territorial spatial planning, with the construction of ecological civilization at its core value, should serve as the fundamental basis for all types of development activities. Meanwhile, the “three rural issues”—pertaining to agriculture, rural areas, and farmers—have received significant attention from the Chinese government (Shi & Yang, 2022; Song et al., 2023). The protection of prime farmland and rural development has emerged as a significant concern for all provinces, aligning with the SDG2 objective of advancing agricultural development, thereby providing a robust safeguard for national and regional food security. Specifically, PTSP is manifested through the optimization of ecological patterns, the protection and utilization of ecological resources, the boundary of ecological protection red lines, the establishment of nature reserves, and the protection of agricultural production spaces. In the planning review, the Notice on Comprehensively Carrying Out Territorial Spatial Planning Work, issued by the Ministry of Natural Resources in 2019, clarified the key review objectives for PTSP, such as target status and bottom-line constraints. It has also indicated that spatial development and protection objectives, ecosystem conservation, and the strategic layout of major infrastructure are focal points of the review process (Resources, 2019). As for planning compilation standards, the Guidelines for the Compilation of Provincial Territorial Spatial Plan issued by the Ministry of Natural Resources in 2020 have set forth priorities for plan compilation, which include development strategies, agriculture, ecological space, protection and utilization of cultural and natural heritage, basic support systems, and implementation guarantees. The Technical Specifications for the Compilation of Provincial Territorial Spatial Plan released by the Standardization Administration of China in 2023 is a standardized integration of the pilot experiences of “integration of multiple plans” since 2019, and its core contents (such as ecological protection and regional coordination) are consistent with those of the 2020 Guidelines for Provincial Territorial Spatial Planning Preparation. Although the planning texts analyzed in this study were formulated before the issuance of the Code, their high-frequency focus on ecological security, infrastructure, etc., essentially reflects the planning orientations transmitted by the state through previous pilots and technical guidelines. The relevant review requirements and compilation standards have clarified the basic demands for PTSP content and reflected the current focal points of development management and control at the provincial level.
Local spatial clustering characteristics are intricately linked to factors such as the province’s location, resource endowments, national macro strategies, and related development positioning. Within the current global context, on the one hand, certain western provinces in China have emerged as crucial “rear bases” for the nation’s development, with their stability and tranquility being fundamental roles to the overall stability and growth of the country (Qin et al., 2021; Wang et al., 2020). On the other hand, with the ongoing of China’s opening-up, particularly through policies such as the Belt and Road, it has repositioned some of these western provinces as frontiers for international communication and cooperation (Cao & Alon, 2020; Lu, 2021). The observed spatial disparities indicate that frontier and coastal provinces exhibit distinct developmental trajectories due to their divergent geographical positions and strategic orientations, despite shared commitments to regional inclusive development. Frontier provinces, such as Xinjiang, leverage their unique locational advantages to prioritize infrastructure development and industrial collaboration as key breakthroughs. For instance, the Silk Road Economic Belt policy, offer substantial opportunities for external exchanges and cooperation (Sun et al., 2021; Yang & Hu, 2019), particularly in agricultural collaboration and cross-border infrastructure connectivity with Central Asian countries. This aligns with SDG 17’s emphasis on global partnerships and open cooperation. In contrast, coastal provinces like Zhejiang focus on institutional coordination and the flow of innovative elements, capitalizing on platforms such as the Yangtze River Delta integration to enhance cross-regional policy alignment. Meanwhile, central provinces (e.g., Henan and Jiangxi demonstrate a “L-H” clustering pattern in terms of the Internal Influence (II) and External Influence (EI) of policy orientation, reflecting constraints in their integration into regional development frameworks. These provinces need to clarify their positioning in industrial undertakings and ecological coordination, actively embedding themselves into national-level collaborative initiatives (e.g., the Yangtze River Economic Belt) to capture new opportunities. Therefore, the planning and arrangement of territorial spaces need to be responsive to ecological baseline protection, infrastructure guarantee, and the provision of external functional services, and the content of such plans often exhibits a geographically clustered distribution. In contrast, coastal provinces, which boast more dynamic economies and advanced development, focus more on how to deepen development, how to rely on metropolitan areas to amplify external influence, and how to build new economic growth poles (Feng et al., 2024; Hou et al., 2024). This situation typically necessitates implementing sound planning systems and robust platform support. However, in general, across the spectrum of provinces, whether in the west, center, or east, the construction of major infrastructure network systems, the protection of ecological and environmental integrity, planning system guarantees, and spatial strategies to respond to promote opening-up and regional neighborhood collaborative development should all be emphasized.
Drawing on the findings and discussions of this study, we propose some relevant policy recommendations. Firstly, we advocate for fully considering collaborative planning among adjacent provinces geographically. This collaborative approach should encompass robust communication and coordination mechanisms in key areas such as conservation and utilization of the environment, industrial linkage development, major transportation and infrastructure, and the division of labor and cooperation with important national or regional development strategies. These efforts can be strategically aligned with indicators related to SDG9 (Industry, Innovation, and Infrastructure) and SDG17 (Partnerships for the Goals), thereby promoting the localization of specific sustainable development goals. For example, some provinces can integrate industrial synergy, cross-border transportation hubs, and ecological corridor development to bridge SDG9 (Sustainable Infrastructure) and SDG17 (Partnerships). For instance, Xinjiang could capitalize on the Belt and Road Initiative to establish cross-border agricultural cooperation demonstration zones. This would facilitate the integration of intelligent cold-chain logistics hubs with Central Asian grain supply chains, thereby linking the improvement rate of cross-border agricultural product circulation efficiency with SDG9 sustainable infrastructure development targets. Secondly, we emphasize the need for provincial territories to embrace sustainable development modes that strike a balance between conservation and economic growth. A focus on improving infrastructure, protecting the ecological environment, and developing the agricultural industry can effectively contribute to achieving SDG2 (Zero Hunger) and SDG9 targets at the provincial level. In addition, the establishment of planning coordination mechanisms and platforms is essential for the effective formulation and execution of PTSPs. These mechanisms should be complemented by the development and refinement of local technical regulations that are attuned to each province’s unique characteristics and needs. By doing so, we can ensure that provincial development is sustainable and responsive to the specific challenges and opportunities presented by each province.
We contribute a novel integrated approach combining qualitative analysis and spatial analysis to provincial-level territorial spatial planning research. Utilizing Nvivo 12 software, a three-tier coding system (open coding-axial coding-selective coding) was constructed to systematically deconstruct the core elements of 27 provincial territorial spatial planning texts. This approach transcends the limitations of traditional text analysis limited to semantic levels, thereby identifying key issues—such as ecological security pattern optimization, cultivated land resource protection, and regional coordination mechanisms—along with their logical interrelation networks. We incorporated local Moran’s I index and cluster analysis to reveal the spatial cluster characteristics of policy attention at the provincial level innovatively. This hybrid methodology, integrating qualitative and spatial analysis, not only addresses the neglect of spatial dimensions in conventional qualitative research but also compensates for the lack of semantic depth in purely spatial analysis, thereby providing creative empirical support for deciphering the spatial patterns of policy diffusion.
There still remain several limitations. Firstly, our research is predicated on the public notices of planning documents, which highly summarize the core planning information for public consumption and may potentially omit some detailed planning information. As future disclosures of the full texts of China’s PTSPs become available, these documents will undoubtedly serve as material for further detailed analysis. Secondly, this analysis focuses on the provincial level, and it will be necessary to conduct analyses and discussions on planning texts at other levels in the future, such as at the municipal, county, and township levels. However, it is worth emphasizing that this study is still the first comprehensive review based on China’s territorial spatial planning texts (public notice version), which offer policymakers and planners a better understanding of the intentions and priorities of planning at the provincial level.
Conclusions
Territorial spatial planning is essential in realizing the core objectives of the SDGs policy by determining the allocation of space and resources, and provincial territorial spatial planning, which serves as a vital link in this process, is an essential component. Our qualitative research on planning texts has identified macro strategies and development positioning, major infrastructure construction, and agricultural development as focal areas of concern; these align well with the objectives outlined in the SDGs. However, the study also reveals that some provinces exhibit insufficient attention to aspects such as cross-regional collaboration, external impacts, and planning guarantees. In summary, this study innovatively develops an integrated analytical method combining “qualitative analysis-spatial analysis,” thereby achieving an organic synthesis of policy text deconstruction and spatial heterogeneity pattern identification. Such methodological innovation establishes a replicable analytical framework for regional policy research. The findings, which establishes the correlation between related planning content and sustainable development goals, can assist policymakers in precisely identifying key considerations in policy coordination while offering quantitative evidence for the optimization of spatial planning systems.
Data availability
No datasets were generated or analyzed during the current study.
References
Alcoforado RG, Egídio dos Reis AD (2020) Text mining and ruin theory: a case study of research on risk models with dependence. REVSTAT-Stat J 18(4):483–499. https://doi.org/10.57805/revstat.v18i4.313
Anselin L (1995) Local indicators of spatial association—LISA. Geogr Anal 27(2):93–115
Bao S, Lu L, Zhi J, Li J (2024) An optimization strategy for provincial “Production–Living–Ecological” spaces under the guidance of major function-oriented zoning in China. Sustainability 16(6):2248
Cao M, Alon I (2020) Intellectual structure of the Belt And Road Initiative Research: a scientometric analysis and suggestions for a future research agenda. Sustainability 12(17). https://doi.org/10.3390/su12176901
Castaldi C (2025) Mapping innovation in space. Spatial Economic Analysis 1–16. https://doi.org/10.1080/17421772.2025.2481276
Chen M, Liang L, Wang Z, Zhang W, Yu J, Liang Y (2020) Geographical thoughts on the relationship between ‘Beautiful China’and land spatial planning. J Geogr Sci 30:705–723
Chen S, Zhu C, Ouyang X, Han Y (2023) Research on the supervision and implementation system of territorial space planning from the perspective of resilience. Sustainability 15(20):14682
Chen W, Gu T, Xiang J, Luo T, Zeng J, Yuan Y (2024) Ecological restoration zoning of territorial space in China: an ecosystem health perspective. J Environ Manag 364:121371
Chen X, Kang B, Li M, Du Z, Zhang L, Li H (2023) Identification of priority areas for territorial ecological conservation and restoration based on ecological networks: a case study of Tianjin City, China. Ecol Indic 146:109809
Dhakal K (2022) NVivo. J Med Libr Assoc 110(2):270–272. https://doi.org/10.5195/jmla.2022.1271
Edhlund B, McDougall A (2019). NVivo 12 Essentials. Lulu.com
Fan C, Gai Z, Shen S, Sun S (2021) An implementation evaluation framework of ecological spatial planning based on multi-dimensional data: a case study in China. Urban Forest Urban Green 63:127222
Feng Y, Sun M, Pan Y, Zhang C (2024) Fostering inclusive green growth in China: identifying the impact of the regional integration strategy of Yangtze River Economic Belt. J Environ Manag 358:120952. https://doi.org/10.1016/j.jenvman.2024.120952
Ge D, Lu Y (2021) A strategy of the rural governance for territorial spatial planning in China. J Geogr Sci 31:1349–1364
Ge K, Zou S, Lu X, Ke S, Chen D, Liu Z (2022) Dynamic evolution and the mechanism behind the coupling coordination relationship between industrial integration and urban land-use efficiency: a case study of the Yangtze River Economic Zone in China. Land 11(2). https://doi.org/10.3390/land11020261
Glaser BG, Strauss AL, Strutzel E (1968) The discovery of grounded theory; strategies for qualitative research. Nurs Res 17(4):364
Hou J, Shi J, Chen L, Zhang Z, Kuang E (2024) Exploring the spatial spillover effects of Yangtze River Delta ports on urban economic growth. PLoS ONE 19(8):e0307770. https://doi.org/10.1371/journal.pone.0307770
Hu Q, Zhang Y, Wang J, Huo R, Feng Z (2024) The evaluation of territorial spatial planning from the perspective of sustainable development goals. Sustainability 16(7):2965
Ji Q, Li C, Jones P (2017) New green theories of urban development in China. Sustain Citi Soc 30:248–253. https://doi.org/10.1016/j.scs.2017.02.002
Liao B, Li L (2022) Spatial division of labor, specialization of green technology innovation process and urban coordinated green development: evidence from China. Sustain Cit Soc 80. https://doi.org/10.1016/j.scs.2022.103778
Lim WM (2024) What is qualitative research? An overview and guidelines. Australas Market J 33(2):199–229 https://doi.org/10.1177/14413582241264619
Li J, Sun X, Dai X, Zhang J, Liu B (2022) Policy analysis on recycling of solid waste resources in china—content analysismethod of CNKI literature based on NVivo. Int. J. Environ. Res. Public Health 19(13):7919
Liu Y, Zhou Y (2021a) Territory spatial planning and national governance system in China. Land Use Policy 102:105288
Liu B, Xue D, Zheng S (2023). Evolution and influencing factors of manufacturing production space in the Pearl River Delta—based on the perspective of global city-region. Land 12(2). https://doi.org/10.3390/land12020419
Liu Y, Zhang X, Pan X, Ma X, Tang M (2020) The spatial integration and coordinated industrial development of urban agglomerations in the Yangtze River Economic Belt, China. Cities 104. https://doi.org/10.1016/j.cities.2020.102801
Liu Y, Zhou Y (2021b) Territory spatial planning and national governance system in China. Land Use Policy 102. https://doi.org/10.1016/j.landusepol.2021.105288
Lu X (2021) Re-territorializing Mengla: from “backwater” to “bridgehead” of China’s socio-economic development. Cities 117. https://doi.org/10.1016/j.cities.2021.103311
Maher C, Hadfield M, Hutchings M, De Eyto A (2018) Ensuring rigor in qualitative data analysis: a design research approach to coding combining NVivo with traditional material methods. Int J Qual methods 17(1):1609406918786362
Mao D, Zhang J, Lu H, Guo R (2024) Assessment and analysis of the balance between economic development and ecological environment protection and its implementation strategy derived from spatial planning-Take three heterogeneous and representative provinces in China as an example. Heliyon 10(3):e23785
Nie Z (2024) The suitability assessment for land territorial spatial planning based on ANN-CA model and the Internet of Things. Heliyon 10(10):e31237
Pinero de Plaza MA, Hutchinson C, Beleigoli A, Tieu M, Lawless M, Conroy T, Feo R, Clark RA, Dafny H, McMillan P, Allande‐Cussó R, Kitson AA (2024) The caring life course theory: opening new frontiers in care—a cardiac rehabilitation example. J Adv Nurs. https://doi.org/10.1111/jan.16312
Qin J, Ou D, Yang Z, Gao X, Zhong Y, Yang W, Wu J, Yang Y, Xia J, Liu Y (2024) Synergizing economic growth and carbon emission reduction in China: a path to coupling the MFLP and PLUS models for optimizing the territorial spatial functional pattern. Sci Total Environ 929:171926
Qin X, Zou H, Wang L, Shang W-L (2021) Changing regional inequality patterns in Western China: a case study of Xinjiang. Complexity 2021(1). https://doi.org/10.1155/2021/9160354
Qiu Y, Zhou A, Li M, Guo Y, Ma C (2023) Territorial spatial usage regulation based on resources endowment and sustainable development: a case of Wuhan, China. J Clean Prod 385:135771
Ran Y, Zhao X, Ye X, Wang X, Pu J, Huang P, Zhou Y, Tao J, Wu B, Dong W (2024) A framework for territorial spatial ecological restoration zoning integrating “carbon neutrality” and “human-geology-ecology”: Theory and application. Sustainable Cities and Society 115:105824. https://doi.org/10.1016/j.scs.2024.105824
Resources MoN (2019) Notice of the Ministry of Natural Resources on fully launching the work of territorial spatial planning. https://www.gov.cn/zhengce/zhengceku/2019-10/14/content_5439428.htm
Shao Y, Sun Y, Zheng Z (2023) How do comprehensive territorial plans frame resilience? A content analysis of plans by major cities in China. Sustainability 15(10):7783
Shi J, Yang X (2022) Sustainable development levels and influence factors in rural China based on rural revitalization strategy. Sustainability 14(14). https://doi.org/10.3390/su1414890
Song R, Hu Y, Li M (2021b) Chinese pattern of urban development quality assessment: a perspective based on national territory spatial planning initiatives. Land 10(8):773
Song W, Cao S, Du M, He Z (2024) Aligning territorial spatial planning with sustainable development goals: a comprehensive analysis of production, living, and ecological spaces in China. Ecol Indic 160:111816
Song B, Robinson GM, Bardsley DK, Xue Y, Wang B (2023) Multifunctional agriculture in a peri-urban fringe: Chinese farmers’ responses to shifts in policy and changing socio-economic conditions. Land Use Policy 133. https://doi.org/10.1016/j.landusepol.2023.106869
Song R, Hu Y, Li M (2021a) Chinese pattern of urban development quality assessment: a perspective based on national territory spatial planning initiatives. Land 10(8). https://doi.org/10.3390/land10080773
Sun Z, Yu S, Guo H, Wang C, Zhang Z, Xu R (2021) Assessing 40 years of spatial dynamics and patterns in megacities along the Belt and Road region using satellite imagery. Int J Digit Earth 14(1):71–87. https://doi.org/10.1080/17538947.2020.1747560
Vieira C, Ortega‐Alvarez JD, Magana AJ, Boutin M (2024) Beyond analytics: using computer‐aided methods in educational research to extend qualitative data analysis. Comput Appl Eng Educ 32(5). https://doi.org/10.1002/cae.22749
Wang L, Shen J (2016) Spatial planning and its implementation in provincial China: a case study of the Jiangsu region along the Yangtze River plan. J Contemp China 25(101):669–685. https://doi.org/10.1080/10670564.2016.1160499
Wang Y, Lu Y, He G, Wang C, Yuan J, Cao X (2020) Spatial variability of sustainable development goals in China: a provincial level evaluation. Environ Dev, 35. https://doi.org/10.1016/j.envdev.2019.100483
Wu M, Liu Y, Xu Z, Yan G, Ma M Zhou S, Qian Y (2021) Spatio-temporal dynamics of China’s ecological civilization progress after implementing National Conservation Strategy. J Clean Prod 285. https://doi.org/10.1016/j.jclepro.2020.124886
Xie Z (2020) China’s historical evolution of environmental protection along with the forty years’ reform and opening-up. Environ Sci Ecotechnol. 1. https://doi.org/10.1016/j.ese.2019.100001
Yanbo Q, Shilei W, Yaya T, Guanghui J, Tao Z, Liang M (2023) Territorial spatial planning for regional high-quality development–an analytical framework for the identification, mediation and transmission of potential land utilization conflicts in the Yellow River Delta. Land Use Policy 125:106462
Yang T (2024) Crossing administrative boundaries: using internet development to improve borrowing size. Cities 154:105362
Yang T, Zhou K, Zhang C (2022) Spatiotemporal patterns and influencing factors of green development efficiency in China’s urban agglomerations. Sustain Citi Soc 85. https://doi.org/10.1016/j.scs.2022.104069
Yang Y, Hu N (2019) The spatial and temporal evolution of coordinated ecological and socioeconomic development in the provinces along the Silk Road Economic Belt in China. Sustain Citi Soc 47. https://doi.org/10.1016/j.scs.2019.101466
Yang Z, Zhan J, Wang C, Liu W, Wang H, Bai C (2024) Spatial spillover effects of conversion of new and old driving forces on high-quality development: evidence from 283 cities in China. Sustain Citi Soc 108. https://doi.org/10.1016/j.scs.2024.105487
Ying G-S, Kim BJ, Maguire MG, Huang J, Daniel E, Jaffe GJ, Grunwald JE, Blinder KJ, Flaxel CJ, Rahhal F, Regillo C, Martin DF, Group, f. t. C. R (2014) Sustained visual acuity loss in the comparison of age-related macular degeneration treatments trials. JAMA Ophthalmol 132(8):915–921. https://doi.org/10.1001/jamaophthalmol.2014.1019
Zamawe FC (2015) The implication of using NVivo software in qualitative data analysis: evidence-based reflections. Malawi Med J 27(1):13–15
Zhang KM, Wen ZG (2008) Review and challenges of policies of environmental protection and sustainable development in China. J Environ Manag 88(4):1249–1261. https://doi.org/10.1016/j.jenvman.2007.06.019
Zhang W, Yuan Q, Cai H (2024) Unravelling regional development through the production-living-ecological perspective: assessing heterogeneity and expert insights. Urban Clim 55:101937
Zhang X, Jin X, Liang X, Shi X, Sun R, Zhu W, Lin J, Han B, Zhou Y (2024) Assessment and management for future habitat risks under the implementation of China’s territorial spatial planning: a case study from Hainan Island. Environ Impact Assess Rev 106:107474
Zhang Y, Man X, Zhang Y (2023) From “division” to “integration”: evolution and reform of China’s spatial planning system. Buildings 13(6):1555
Acknowledgements
This research was supported by Xi’an University of Architecture and Technology Talent Research Initiation Project, China (Grant No.1960324011).
Author information
Authors and Affiliations
Contributions
Yidong Yu, Xindan Cao and Dan Ye wrote the main manuscript; Dan Ye and Xiji Jiang reviewed and revised the manuscript; Yidong Yu and Xindan Cao prepared figures 1–6 and tables; Xiji Jiang provided funding support.
Corresponding authors
Ethics declarations
Competing interests
The authors declare no competing interests.
Ethical approval
Ethical statements were not required as the study did not involve human participants.
Informed consent
This article does not contain any studies with human participants performed by any of the authors. Informed consent was not relevant.
Additional information
Publisher’s note Springer Nature remains neutral with regard to jurisdictional claims in published maps and institutional affiliations.
Supplementary information
Rights and permissions
Open Access This article is licensed under a Creative Commons Attribution-NonCommercial-NoDerivatives 4.0 International License, which permits any non-commercial use, sharing, distribution and reproduction in any medium or format, as long as you give appropriate credit to the original author(s) and the source, provide a link to the Creative Commons licence, and indicate if you modified the licensed material. You do not have permission under this licence to share adapted material derived from this article or parts of it. The images or other third party material in this article are included in the article’s Creative Commons licence, unless indicated otherwise in a credit line to the material. If material is not included in the article’s Creative Commons licence and your intended use is not permitted by statutory regulation or exceeds the permitted use, you will need to obtain permission directly from the copyright holder. To view a copy of this licence, visit http://creativecommons.org/licenses/by-nc-nd/4.0/.
About this article
Cite this article
Yu, Y., Cao, X., Ye, D. et al. Critical considerations in provincial territorial spatial planning in China: a qualitative and spatial analysis. Humanit Soc Sci Commun 12, 1422 (2025). https://doi.org/10.1057/s41599-025-05778-9
Received:
Accepted:
Published:
Version of record:
DOI: https://doi.org/10.1057/s41599-025-05778-9








