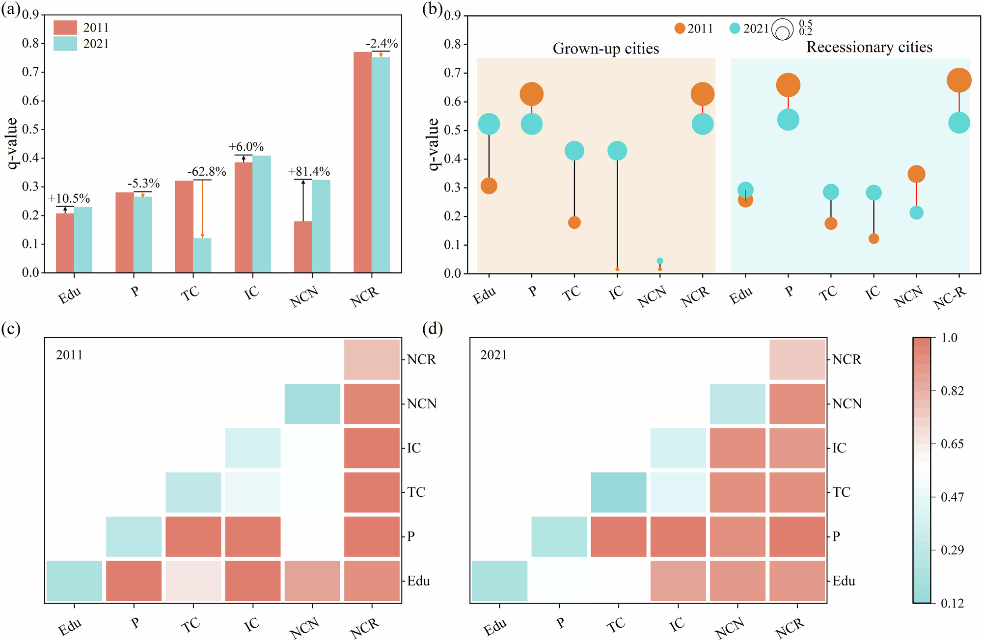
Fig. 4: Analysis of drivers for sustainable development capacity of MRBCs using the geographical detector model.
From: Revealing the sustainability transitions in China’s metal resource-based cities

a Power of determinant (q value) for each driving factor in MRBCs in 2011 and 2021. b Power of determinant (q value) for each driving factor in grown-up and recessionary cities in 2011 and 2021. c Interaction detection results for drivers in MRBCs in 2011. d Interaction detection results for drivers in MRBCs in 2021.