Abstract
Whether national new areas can enhance green total-factor energy efficiency is crucial for China to achieve sustainable development and energy conservation goals. This study investigates the effect of China’s national new areas pilot policy on green total-factor energy efficiency. Based on panel data of 70 major and mid-sized cities in China from 2006 to 2021,this study adopts the difference-in-differences model to examine the effects of China’s national-level new areas on green total-factor energy efficiency. The results show that China’s national-level new areas pilot policy improves the green total-factor energy efficiency of pilot cities by 6.58%, with the policy effect lasting for 6 years. Mediation mechanism test indicates that the policy effects are mainly driven by improving green technology innovation and upgrading industrial structure. In addition, this study finds that the spillover effect of national new areas on green total-factor energy efficiency of surrounding cities exhibits a “∽” shaped trend, initially decreasing, then increasing, and subsequently decreasing again. Among them, it has a significant effect on improving green total-factor energy efficiency for cities within a range of 200–250 km. Furthermore, the impact on green total-factor energy efficiency is more pronounced in eastern and northern cities. Additionally, cities with a single-city layout within national new areas experience a significant increase in green total-factor energy efficiency. In summary, these findings offer valuable empirical evidence to guide the optimization of spatial planning for national new areas and the refinement of their innovation policies, thereby promoting sustainable development.
Similar content being viewed by others
Introduction
At present, climate change has become one of the most critical global environmental challenges, primarily attributed to the efficiency of end-use fossil energy consumption. Evaluating and enhancing efficiency of energy utilization is regarded as an essential strategy for energy conservation and emission reduction. This approach has garnered increasing interest from the academic community and the general public alike in recent years. Moreover, as energy utilization efficiency is closely tied to the stability and security of the energy supply and also exerts a positive influence on commercial competitiveness and public welfare (Fawcett and Killip, 2019), global attention is increasingly focused on energy efficiency issues. Over the past three decades, the European Union, along with its member states, has implemented a range of policies aimed at curbing energy consumption and enhancing efficiency of energy utilization (Bertoldi, 2018). The consistent high-speed economic expansion in China has coincided with a significant surge in the consumption of resources and energy (Xiao et al., 2018; Xu and Lin, 2018). Over the period from 2000 to 2020, China’s yearly energy consumption increased substantially, from 0.99 billion tons of oil equivalent to 3.49 billion tons. Concurrently, the growing gap between the demand for and the supply of energy has been expanding, leading to a heightened reliance on imported energy sources for China (Duan and Chen, 2016). To cope with international pressure and demonstrate the responsibility of a major country, the Chinese government has proposed dual carbon goals, which require a shift from coal-based energy consumption. Additionally, enhancing the efficiency of energy utilization is regarded as one of the most potent strategies for mitigating the impacts of climate change (Wang Y, et al., 2022).
As pivotal strategic platforms for fostering high-quality regional economic development (ED) in China, national new areas play a significant role in reducing carbon emissions. The inception of these areas can be traced back to 1992 with the establishment of the Shanghai Pudong New Area, which marked the commencement of this initiative (Martinez, 2018). Subsequent approvals have been strategic. For example, in 2005, the Tianjin Binhai New Area was designated to stimulate economic and social progress in the northern regions, followed by the Chongqing Liangjiang New Area in 2010, which marked the first national new areas in the western region. The 2012 approval of the Lanzhou New Area signified accelerated development of such zones. By the end of 2020, a total of 19 national new areas had been approved, thus extensively covering main economic sectors across China (Fig. 1).
Compared with national-level ED areas and advanced technology areas, the number of national new areas is notably less, with no single province having more than one approved zone, highlighting the significance and exclusivity of their policy frameworks. Functionally, these natinal new areas differ from traditional economic and technological development zones, which focus primarily on industrial and technological advancement, by serving as comprehensive platforms tasked with major national development, reform, and strategic initiatives for opening up. Accordingly, they play crucial roles in catalyzing green transformation and ED (Liu et al., 2023). The National Development and Reform Commission of China has established clear directives for the development of national new areas in the new era. These areas are required to adhere strictly to their strategic positioning as “three functional zones, one gateway, and one industrial base” while implementing the Five Development Principles: innovation, coordination, green development, openness, and shared benefits. Among these, green development represents a core objective for national new areas, mandating the adoption of resource-efficient and energy-intensive utilization strategies (NDRC, 2016). As China’s economic trajectory shifts from speed-oriented to quality-driven growth and from resource-intensive to green and efficient models, it faces the dual challenges of environmental conservation and economic growth. China faces the dual challenges of environmental conservation and economic growth. National new areas are critical for achieving a balance of efficiency and sustainability. Consequently, A rigorous scientific assessment of national new areas’ impact on green total-factor energy efficiency (GTFEE) is critical for providing an in-depth understanding of their role in advancing regional green and low-carbon transition. Such analysis will further contribute to high-quality regional development.
Existing studies have demonstrated that energy utilization efficiency is significantly affected by technological innovation (Miao et al., 2018), energy endowment (Wang et al., 2022), government efficiency (Chang et al., 2018), and national policies, including environmental regulation policies (Wang and Feng, 2014) and digital economy pilot policies (Song et al., 2023). However, studies examining the effects of national new area policies on GTFEE remain limited. This study employs a difference-in-differences (DID) approach to evaluate the impact and underlying mechanisms of the establishment of national new areas on energy utilization efficiency on the basis of panel data from 70 major and mid-sized cities in China from 2006 to 2021. This study aims to enrich theoretical understanding of how national new area policies affect GTFEE and to provide a more comprehensive assessment of national new areas’ long-term impacts.
The marginal contributions of this paper are: First, regarding the research perspective, this study breaks new ground by examining the policy effects of national new area within the framework of GTFEE research.It is contextualized against China’s dual strategic priorities of energy conservation and emission reduction, as well as regional coordinated development. Therefore, this study partly expands the scope of energy and environmental economics research and offers significant implications for China’s pursuit of energy-intensity reduction and green development. Second, in terms of methodology, we advance energy efficiency measurement by employing a comprehensive green energy efficiency index. This approach overcomes the limitations of conventional single-indicator methods, providing a more holistic assessment of contemporary energy utilization and green development performance.Third,concerning mechanism analysis, this study discerns that national new areas improve GTFEE by promoting green technological innovation and fostering industrial structure optimization, thereby offering a new perspective for understanding their pivotal role in the regional green transition.Fourth, with regard to spatial spillover, this research employs a multi-period DID model to investigate both the direct effects and spatial spillover effects of national new area establishment on urban energy efficiency. Our findings reveal a spatial boundary of 200–250 km for these spillover effects. This spatial quantification yields valuable insights for understanding national new areas’ role in energy efficiency improvement from a geographical perspective, while providing empirical evidence to inform future optimization of national new area spatial distribution.
The remainder of this paper is organized as follows. Section “Literature review” provides a comprehensive literature review of relevant research. Section “Theoretical analysis and hypotheses” develops the theoretical framework and research hypotheses. Section “Data and methodology” presents the empirical methodology and analyzes the spatial characteristics of national new areas’ impact on GTFEE. The final section summarizes key findings and proposes policy recommendations.
Literature review
This section primarily reviews the existing literature on national new areas, GTFEE, and the impact of national new areas on energy efficiency, highlighting key findings and identifying gaps in the current research.
Research on national new areas
The study of location-oriented policy is a popular topic in current research, with focus mainly on urban agglomerations (Li and Wu, 2017), smart cities (Ling et al., 2023), national new areas (Park, 2013; Chen et al, 2021), special economic areas (Liu et al., 2007), development areas (Yang et al., 2022; Zheng et al., 2016), green finance pilot areas (Huang and Zhang, 2021), and industrial transformation demonstration areas (Feng et al., 2024). Among these areas, national new areas represent one of the most important regional policies at the national level in China, and as such, they are attracting widespread attention. The relevant researches have concentrated on three main aspects. First, it encompasses the study of strategic functional orientation and development construction in national new areas. National new areas are part of the central government’s strategy for phased reconfiguring the cities, representing a centralized territorial governance approach to land-use development. Some studies also indicate that the establishment of national new areas often exacerbates imbalances in urban development (Li, 2015). indicates that the establishment of new state-level districts tends to exacerbate imblances in urban development. The more complicated the administrative relationship is in terms of spatial division and management mode, the less contribution it makes to local economic growth. Yang et al. (2019) argue that the construction of national new areas significantly facilitates the commercialization of rural land, which may result in substantial financial burdens due to land-based fiscal practices. National new areas are confronted with conflicts between new area management and local administration leading to administrative adaptive restructuring and subsequent overlaps between the management boundaries of the new areas and local jurisdictions. (Chao and Lin, 2020). Second, it involves the economic growth effects of national new areas.National new areas shoulder the important mission of comprehensive reform and also take the promotion of regional economic growth as a key foothold. For example, Cao (2020) confirmed that the policy of national new areas can effectively stimulate economic growth in their host cities, exhibiting a pronounced “growth effect.” Moreover, this policy also exerts a positive spillover effect on the economic growth of surrounding cities. Third, regarding the environmental effects of national new areas,recent studies have highlighted significant impacts on regional ecological systems and sustainable development. Liu et al. (2023) reported that national new areas contribute to reducing carbon emissions within their host cities. Wang et al. (2022) noted that national new areas also enhance urban ecological efficiency by improving the level of urbanization and upgrading urban transportation infrastructure. However, existing research has paid limited attention to the energy efficiency effects of national new areas.This research gap demands urgent attention, considering the pivotal role of national new areas as policy laboratories for China’s regional coordinated development and low-carbon transition”.
Research on energy utilization efficiency
With global warming, environmental and energy security issues have become increasingly prominent, and accordingly, the improvement of energy efficiency has become a popular topic in academic circles. Studies on energy utilization efficiency are mainly concentrated in three key areas. First, some studies have investigated the impact of energy efficiency on energy security. Enhancing energy efficiency contributes significantly to energy security by reducing consumption and decreasing external dependence. China’s 14th Five-Year Plan explicitly emphasizes improving energy efficiency through technological innovation and policy guidance to optimize energy structure and facilitate green transition. Empirical studies demonstrate that enhanced energy efficiency not only mitigates carbon emissions but also reinforces the stability and sustainability of energy systems.(Yang et al., 2022). Furthermore, advancements in renewable energy technologies—including solar power and smart grids—have substantially strengthened energy security (Liu and Bae, 2018; Yuan et al., 2012). Notably, the impact of energy efficiency on regional energy security exhibits significant heterogeneity. Second, some studies focus on the measurement methodologies of energy utilization efficiency. A strand of literature employs single-factor metrics, such as coal or electricity intensity, to evaluate energy efficiency (Bertoldi and Mosconi, 2020). Moreover, index decomposition analysis (IDA) is a primary method used in energy policy research and analysis, serving as a perfect tool for such research (Ang, 2004). In addition to IDA, most existing studies employ data envelopment analysis (DEA) to measure energy utilization efficiency (Yang et al., 2021). For example, Feng et al. (2024) integrate the advantages of the super-efficiency Data Envelopment Analysis (DEA) model and the traditional Slacks-Based Measure (SBM) model to develop Super-SBM-Undesirable model for measuring provincial-level energy utilization efficiency across China. Thirdly, several studies have explored the impact factors influencing energy utilization efficiency. Energy production and consumption account for a substantial proportion of global greenhouse gas (GHG) emissions. Enhancing energy efficiency can significantly mitigate GHG emissions and facilitate sustainable development. (Pata et al., 2023). Related research has shown that technological innovation (Miao et al., 2018; Yang et al., 2023), environmental regulations (Wang and Feng, 2014), governmental efficiency (Chang et al., 2018), green credit (Song, 2021; Shen et al., 2024), energy policies (Wang, 2023), the digital economy (Pouri, 2021; Liu and Zhao, 2024), and transportation infrastructure improvement (Feng et al., 2024) positively influence energy utilization efficiency. However, existing research rarely combines location-oriented policies with energy utilization efficiency.
Research on the impact of pilot policies on energy efficiency
The energy utilization efficiency of relevant pilot policy zones has gradually garnered attention in academia. Studies have found that different pilot policy zones exhibit varying mechanisms in influencing energy utilization efficiency. The market-incentive policy instruments of low-carbon city pilot programs primarily employ market-based mechanisms such as subsidies and carbon emission trading systems to internalize pollution abatement costs, thereby forcing or motivating enterprises to improve energy efficiency levels through technological innovation. Cheng et al. (2017) demonstrated that low-carbon city pilot policies improve urban green total factor productivity by enhancing green technological progress and upgrading the structural effects. Innovation pilot policies enhance energy utilization efficiency by promoting green technology innovation and optimizing industrial structure. Liu et al. (2023) pointed out that following the establishment of national new areas, governments strengthen environmental regulations on high-pollution enterprises, incentivizing them to optimize energy consumption structures and improve energy utilization efficiency,thereby compelling enterprises to adopt cleaner energy sources and advanced energy-saving and emission-reduction technologies. Consequently, these measures enhance corporate carbon emission efficiency, leading to a reduction in total carbon emissions.The pilot policies of low-carbon cities and innovation pilot areas provide valuable references for energy utilization efficiency in this study. Overall, there remains limited research on the impact of national new areas on energy utilization efficiency, and the mechanisms through which these districts influence energy utilization efficiency have yet to be elucidated.
Based on the above literature analysis, the following critical gaps have been identified: (1) Existing studies have extensively examined national-level new districts and energy utilization efficiency separately, yet few have integrated these two aspects to theoretically and empirically clarify their intrinsic mechanisms and operational pathways. (2) While prior research predominantly employs static DEA models incorporating undesirable outputs to measure energy efficiency, limited attention has been given to applying non-radial SBM models with intertemporal variables to assess urban-level energy efficiency over extended sample periods, nor has the issue of cross-period comparability in energy efficiency metrics been adequately addressed. (3) Existing research on policy spatial spillover effects has predominantly relied on spatial econometric methodologies, while few studies have employed distance-stratified grouping approaches for measurement. Therefore, drawing on panel data from 70 major and medium-sized Chinese cities, this study employs a staggered DID approach to systematically investigate the impact of national-level new areas on energy utilization efficiency and elucidate their underlying mechanisms. The aim of this study is to enrich the theoretical understanding of national new areas policy effect and its mechanisms on GTFEE, while providing policy insights for China’s ‘Dual Carbon’ strategy implementation.
Theoretical analysis and hypotheses
The establishment of national new areas, as a major location-oriented policy exerts a profound impact on GTFEE, which is realized through technological innovation and structural upgrading effects. On the basis of environmental economics theory, this paper constructs the following theoretical analysis framework.
National new areas are undertaking significant regional reform tasks that emphasize institutional pioneering and exploration and represent important measures to accelerate urbanization and modernization (Barry, 2010; Chao, 2020). The institutional flexibility inherent in this policy facilitates the agglomeration of high-quality capital and labor factors within the region, thereby contributing to urban infrastructure refinement and economic efficiency enhancement (Qi, 2017). In addition to economic benefits, national new areas also embody distinct green development characteristics (Zhang and Chen, 2020). First, national-level new areas imposes selective entry thresholds for factor agglomeration, preferentially attracting strategic emerging industries while exerting crowding-out effects on traditional energy-intensive and polluting sectors. This institutional design not only enhances regional economic performance effectively but also improves energy consumption structures and utilization efficiency through the adoption of advanced production technologies and processes(Lee et al., 2022). Second, against the backdrop of elevated energy costs, profit-driven enterprises adopt production process innovations to enhance operational efficiency and reduce energy intensity per unit output, thereby achieving emission mitigation. Such pioneering firms generate demonstration effects, which create competitive pressures that compel peer industrial actors to pursue energy-saving technological upgrades (Liu et al., 2023). Hence, the following hypothesis is proposed.
H1: National new areas significantly enhance the green total-factor energy efficiency (GTFEE) in their host cities.
National-level new areas serve as critical hubs for innovation-driven development, with their institutional framework prioritizing endogenous institutional innovation through ‘first-mover policy experimentation rights.’ Compared to conventional regional pilot policies, these areas feature more open science and technology innovation systems, enabling them to attract higher-quality financial capital, scientific talent, universities, and research institutions, thereby fostering agglomeration of advanced innovation resources(Yan et al., 2024). Meanwhile, national new areas typically provide substantially greater financial investments and policy support for scientific and technological innovation, thereby fostering the agglomeration of green technology innovation activities. (Wu, 2023). The advancement of green technological innovation driven by national-level new areas can significantly facilitate the transition of energy consumption patterns and enhance energy efficiency in the fields of urban construction and industrial development. Specifically, these areas facilitate the adoption of green and energy-saving building technologies and support technological upgrades in traditional industries, thereby improving energy efficiency. This study measured the GTFEE of 70 large and medium-sized cities from 2006 to 2021. The results show that the average annual growth rate in GTFEE of cities with national new areas (3.9%) is significantly higher than that of cities without national new areas (2.1%). Technological innovation has accelerated global economic and industrial development, resulting in advanced production tools and equipment, such as more efficient engines and smarter control systems. These tools and equipment achieve higher output levels under equivalent energy input, thereby enhancing energy utilization efficiency through improved factor productivity (Li and Lin, 2018). Moreover, technological innovation enhances both energy utilization efficiency and labor productivity through production process optimization and renewable energy solution deployment (Cheng, 2017). Hence, the following hypothesis is proposed.
H2: National new areas improve the GTFEE by promoting green technology adoption in their host cities.
National new areas serve as comprehensive policy platforms for China’s strategic development and reform initiatives, absorbing the spatial redistribution of core urban functions, industries, and populations from metropolitan centers. By leveraging institutional latecomer advantages, these areas catalyze factor concentration, firm agglomeration, and industrial cluster formation through coordinated policy design. These areas provide spatial allocation mechanisms and preferential policy frameworks to facilitate the agglomeration, division of labor, and specialized production of emerging industries and high-quality production factors. (Liu et al., 2023). The construction of national new areas emphasizes the coordinated development of urban production, life, and ecology. Consequently, with respect to industrial development, policy-makers select high-efficiency, high-tech enterprises that primarily attract advanced manufacturing and technology-based enterprises that are heavily reliant on the development of producer services. This can guide and promote the shift of production factors in urban economic activities from lower to higher levels, thus resulting in advanced and rationalized industrial structures. The industrial structure dominated by the tertiary sector has filtered out energy-intensive and highly polluting enterprises, thereby reducing industrial dependence on energy. This has facilitated the formation of energy-saving and emission-reducing development pathways, leading to enhanced energy utilization efficiency. (Chuai et al., 2012). Hence, the following hypothesis is proposed.
H3: National new areas may enhance the GTFEE by optimizing the industrial structure of their host cities.
By incorporating the above three hypotheses into a unified theoretical framework, this study analyzes the mechanisms through which national new areas influence GTFEE, as depicted in Fig. 2.
Data and methodology
Sample and data
This study uses cities that have introduced new national new areas as the treatment group and those without national new areas as the control group. On the basis of the research of Cao (2020) and considering the comparability between the treatment group and the control group, 70 large- and medium–sized cities were formed as sample cities after excluding the municipalities directly under the central government (due to the particularity of the municipalities themselves). The Zhoushan islands new area was also excluded because most of the area is a sea area, which suggests that there is obvious heterogeneity compared with other state-level new area cities.
Data collected for the study include the actual GDP per capita, resident population, local government R&D expenditure, actually utilized foreign capital, the share of the secondary sector’s added value in the GDP and the share of the tertiary sector’s added value in the GDP. Additionally, the input‒output data utilized to calculate the green total factor energy efficiency for each city included in the empirical analysis are sourced entirely from the China Urban Statistical Yearbook, published by the Department of Urban Social and Economic Survey of the National Bureau of Statistics, spanning the years 2006 to 2021. Information regarding the quantity of green invention patents and the total number of authorized invention patents were obtained from the official website of the State Intellectual Property Office.
Variables definition and description
In this paper, the dependent variable under examination is the green total-factor energy utilization efficiency. (GTFEE). In accordance with the studies of Shi and Li (2020) and Feng et al. (2024), in this study, labor, capital, and energy are identified as input factors, with gross domestic product (GDP) serving as the agreed-upon output. Additionally, the emissions of industrial sulfur dioxide (SO2), industrial particulate matter (soot or smoke), and industrial wastewater (effluents) are considered undesirable outputs. The SBM Malmquist‒Luenberger index approach is employed to assess the green total factor energy efficiency across various prefecture-level cities.
The explanatory variable is the virtual variable of the national new area policy. For city i in year t, if a national new area is established, the variable DIDit is assigned a value of 1 for that year and all subsequent years; if not, the value is set to 0.
In this study, five control variables have been selected according to the following specifics: (1) ED is captured via the natural logarithm of the real GDP per capita. As the level of ED advances, the demands for green total factor energy efficiency are expected to evolve, with the anticipation that this variable will exhibit a positive correlation. (2) Population density (PD) is calculated by dividing the population of prefecture-level cities by their respective administrative areas. This metric reflects the influence of varying scales of human activities within cities implementing green total factor energy efficiency. It is anticipated that a higher PD will have a positive correlation with the efficiency measure, suggesting that the sign of this variable will be positive.(3) Industrial structure (IS) is quantified by the ratio of the secondary sector’s added value to the GDP. This structure directly influences green total factor energy efficiency. Notably, the share of the secondary industry is expected to exert a direct effect on the efficiency metric. It is hypothesized that a higher proportion of the secondary industry in the economic mix will correlate positively with green total factor energy efficiency, indicating a positive sign for this variable. (4) Research and technology investment (RTI) is measured by government research expenditures. Funding allocated to scientific research is anticipated to enhance the technological capabilities of energy conservation and environmental sustainability, an investment that is likely to expedite the dissemination of eco-friendly technologies within urban areas and thereby increase green total factor energy productivity. It is hypothesized that the impact of this investment will manifest as a positive correlation. (5) The level of openness to the outside world (OTW) is measured by foreign direct investment. Foreign investment plays an important role in attracting investments and industrial development in cities, which also affects green total factor energy efficiency. Again, the sign of this variable is expected to be positive. The descriptive statistics of the variables are listed in Table 1.
Basic empirical model
The creation of new national new areas is treated as a quasi-natural experiment that draws on the research conducted by Beck et al. (2010) and Wang (2013) as a reference point. The study uses the asymptotic double-difference method to evaluate the impacts of the policies of the new national new areas on the green total factor energy use efficiency. The following econometric regression model is used:
where i (=1, 2…, 70) is the city and t (=2006, 2007…, 2019) is the year; and the explanatory variable Yit is the green total factor energy efficiency of city i in year t; didit denotes the dummy variable for the policy of setting up a national new area, i.e., if city i sets up a national new area, then didit = 1 in year t and subsequent years, otherwise didit = 0; \({{\rm{\beta }}}_{0}\) is a constant term; \({{\rm{\beta }}}_{1}\) is the coefficient of the double-difference term;\(\,{\rm{\lambda }}\) is the coefficient of the control variable; Zit is the control variable consisting of other factors affecting GTFEE; vi is the individual city fixed effect; μt is the year fixed effect; and \({{\rm{\varepsilon }}}_{{\rm{it}}}\) is the error term.
Parallel trend assumption testing model
A crucial assumption underlying the application of the asymptotic double-difference method is that cities designated with a national new area (treatment group) and those without (control group) exhibit no significant disparities, or they adhere to a shared temporal trajectory in terms of green total-factor energy utilization efficiency prior to the policy’s enactment. The parallel trend assumption was validated by employing an approach akin to the event study methodology and is formulated as follows:
where \({{\rm{D}}}_{{\rm{it}}}^{{\rm{k}}}\) denotes a dummy variable indicating the time distance to the implementation year of the national new area policy; if the year of establishment of the national new area owned by city i is \({{\rm{y}}}_{{\rm{i}}},{\rm{k}}={\rm{t}}-{{\rm{y}}}_{{\rm{i}}}\); at the time of \({\rm{k}}\le -8,\,{{\rm{D}}}_{{\rm{it}}}^{-8}\) = 1, otherwise \({{\rm{D}}}_{{\rm{it}}}^{-8}\) = 0, and so on; when k = -7,-6,-5…, 5,6,7, the corresponding \({{\rm{D}}}_{{\rm{it}}}^{{\rm{k}}}\) = 1, otherwise\(\,{{\rm{D}}}_{{\rm{it}}}^{{\rm{k}}}\) = 0; and at the time \({\rm{k}}\ge 8,\,{{\rm{D}}}_{{\rm{it}}}^{8}\) = 1, otherwise \({{\rm{D}}}_{{\rm{it}}}^{8}\) = 0. By comparing the \({{\rm{\alpha }}}_{{\rm{k}}}\) coefficients’ economic and statistical significance, we test the time variation of the policy effects of national new areas.
Spatial pillover effect testing model
With reference to the method of Wang and Bo (2019), the following model is set to test the policy spillover effect of the establishment of national new areas on the GTFEE of surrounding cities.
Based on model (1), we introduce a new control variable \({N}_{{it}}^{s}\), which is a dummy variable indicating whether there is a national-level new area within the distance range of [S-50, S] from city i in year t. Specifically, if there is a national-level new area within the distance range of [S-50, S] from city i in year t, then NSit = 1; otherwise, NSit = 0. The coefficient of this variable measures the impact of the establishment of national-level new areas on GTFEE in neighboring cities. Here, S represents the geographical distance between two cities (S ≥ 50).
The specific methodology involves constructing a geographic information database for national new areas and Chinese cities based on ArcGIS 10.7. Buffer analysis is employed to delineate concentric circular buffers around cities hosting national-level new areas. Subsequently, through the application of layer overlay techniques, cities falling within these buffers are extracted to determine the relative geographical location intervals between the control group cities and the national new areas.
Empirical results and analysis
Benchmark model regression results
Following the model specification outlined earlier, we empirically assess the impact of national-level new area policies on energy efficiency. The baseline regression results are reported in Table 2. Column (1) shows the results from a model without control variables. The coefficient of national new areas policy on GTFEE is 0.0677, which is significant at the 1% level. Column (2) reports the outcomes of the regression with all control variables included. The coefficient of the policy variable remains robust at 0.0658 and significant at the 1% level.
These results suggest that the establishment of national new areas significantly improves the GTFEE of host cities, consistent with our research hypothesis. Economically, this suggests a 6.58% increase in the host city’s GTFEE after the establishment of national new areas.
Parallel trend test
The validity of the DID estimator hinges critically on satisfying the parallel trends assumption - namely, that treatment and control groups would have followed similar outcome trajectories in the absence of the intervention (Angrist and Pischke, 2008).In the context of this study, the parallel trend assumption implies that prior to the establishment of national-level new areas, the green total factor energy efficiency (GTFEE) exhibits a relatively stable trend with no significant differences between the treatment and control groups. Conversely, a marked divergence in trends emerges subsequent to the establishment of national-level new areas Drawing from Zhou et al. (2022), this paper employs an event study approach to validate this assumption. Figure 3 indicates that the coefficients of \({D}_{{it}}^{k}\) are statistically insignificant prior to the establishment of the national new areas. This finding implies that there are no significant differences in green total factor energy efficiency between the treatment group and the control group cities before the establishment of the national new areas, thereby satisfying the requirement of the parallel trends assumption test. Further investigation revealed that as the duration since the establishment of national new areas increases, the enhancement effect on the GTFEE of host cities initially increases and then decreases. This effect persists for ~6 years, peaking in the 6th year after the area’s establishment, and it dissipates by the 7th year. This finding suggests that the impact of national new areas on GTFEE varies over time, exhibiting temporal heterogeneity.
Robustness analysis
Placebo testing testing
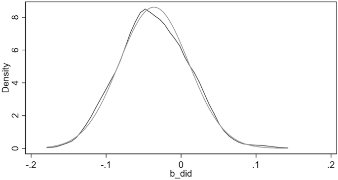
To avoid the potential bias in the baseline regression results due to unobservable omitted variables. This study draws on Cao’s (2020) method to conduct placebo testing. The inspection is divided into two steps. First,random assignment of treatment and control groups. While keeping the establishment year of the national new areas unchanged, if n cities have initiated national new areas in year t, an equal number of cities are randomly chosen from the original control group to constitute the new treatment group. The original treatment group, combined with the cities not included in this random selection, subsequently forms the new control group. Based on this, this study re-estimate DID coefficient of model (1), thus completing a single iteration of the placebo test. The above process is repeated 1000 times to obtain 1000 estimated coefficients with a mean coefficient of −0.021, the vast majority of the regression results are not significant, a finding that does not align with Table 2 Column (2), which is estimated to be 0.0658. This also confirms that the national new areas do indeed improve the energy efficiency of the region in which they are located from the perspective of the counterfactual. Figure 4 shows the distribution of the regression coefficients and P values of the simulated dummy treatment variables. As the number of randomized experiments increases, the estimated value of the random assignment shows a normal distribution around zero, and the P value is greater than 0.1, which rules out the notion that the baseline estimation of the results of this paper is caused by unobservable factors. Second, we randomly advance the establishment of national new areas. If city i established a new national district in year t, then a random year from 2006 to year t-1 is selected as the hypothetical establishment year for city i. By combining the original sample with this new sample and eliminating any duplicate years, we can re-estimate Model (1) using the revised sample to obtain the estimated coefficient of the DID variable. By conducting the aforementioned process 1000 times, the average coefficient value for the DID variable is determined to be 0.0340, which is ~48% lower than the estimated result from Column (2) in Table 2. This indicates that when the establishment time of a national new area is randomly advanced, the effect of the national new areas on the GTFEE is diminished. This finding suggests that the conclusions drawn in this paper exhibit a considerable degree of robustness.
PSM-DID estimation
This paper employs a propensity score matching difference in differences (PSM-DID) model to mitigate the endogeneity issues arising from sample selection bias and conducts robustness tests. The treatment group is matched with the control group on an annual basis via a 1:1 nearest neighbor matching technique with replacement. Post-matching confirms that none of the covariates exhibit significant differences, thereby ensuring that the treatment and control samples are well balanced. The PSM-DID results demonstrate that national new areas persistently enhance GTFEE by an average of 0.0416 percentage points (Table 3).The results of the PSM-DID estimation show no significant difference from the previous difference in differences (DID) results, thereby further supporting the empirical conclusion of this paper that the establishment of national new areas significantly enhances the GTFEE of the cities in which they are located.
Exclusion of other location-oriented policies
In the process of estimating the impact of national new areas on the GTFEE of host cities, it is inevitable that the results will be subject to interference from the influence of other policies.To exclude the potential interference from other location-oriented policies, this paper takes into account that low-carbon pilot cities are characterized by distinct environmentally-oriented policies, and that national independent innovation demonstration zones also have a profound impact on regional innovation capacity. Therefore, we empirically examine the effects of the low-carbon city pilot policy and the national independent innovation demonstration zone policy on the GTFEE of host cities.First, Low-carbon city pilot policy.In the sample of this study, among the 17 cities that established national new areas, 11 cities were also affected by the low-carbon city pilot policy. Among these, five cities were influenced by the low-carbon city pilot policy prior to the establishment of the national new areas. Therefore, it is necessary to exclude the impact of the low-carbon city pilot policy. Second, Free trade zone (FTZ) policy. In the sample, among the 17 cities that established national new areas, eight cities were also affected by the FTZ policy. These cities were established after the national new areas were set up. Therefore, it is also necessary to exclude the impact of the FTZ policy
In Moled (4), did01it is the double-difference estimator of the pilot low-carbon city policy, and did02it is the double-difference estimator of the policy of the FTZ. Table 4 reports the regression results of the impact of the above two policies. The DID coefficient is significantly positive, indicating that the national new areas still significantly improve the GTFEE of the host city, implying that the conclusion that national new areas have a positive impact on GTFEE is robust.
Mechanism analysis
To further investigate whether the policy of establishing national new areas enhances the GTFEE of the host regions through technological effects and structural effects, this paper employs a mediation effect test to examine the mechanisms, referring to the two-step regression method for mechanism verification.
In the first step, conduct a regression analysis with the DID term and the mediating variable to examine whether the national new area policy has a significant impact on the mediating variable. This step is crucial for establishing the presence of a potential mediating effect.In the second step, conduct a regression analysis with the DID term, the mediating variable, and the level of GTFEE to examine whether the national new area policy improves the GTFEE through the mediating variable
where \(M{{\rm{ediator}}}_{{\rm{it}}}\) is the mediator variable. The mediating effect of the policy of new national new areas through the mediator variable on the GTFEE is \({\alpha }_{1}\cdot {\beta }_{2}\),and the proportion of the total effect accounted for by the mediating effect is \({\alpha }_{1}\cdot {\beta }_{2}/({\alpha }_{1}\cdot {\beta }_{2}+{\beta }_{1})\). In this study, the ratio of the number of green invention patents applied for in a given year to the total number of invention patents applied for in the same year is used to verify whether the policy of the new national new areas has generated a technological effect on improving the GTFEE (Shi and Li 2020). The structural effect is expressed by the ratio of the GDP of the tertiary industry to the GDP of the secondary industry (Xiong and Shi, 2021).
Table 5 shows that the coefficient for the impact of national new areas on technology is significantly positive. This suggests that the policy implementation of national new areas substantially enhances the level of technological innovation within cities, leading to a notable Porter effect. Subsequent analysis of the influence of technological effects on GTFEE demonstrates that technological advancements significantly improve GTFEE. Even after accounting for these effects, the influence of national new areas on enhancing energy efficiency remains significant. The technological effect is found to notably enhance GTFEE, and the role of national new areas in improving GTFEE remains significant.The empirical results demonstrate that national new area policies significantly enhance GTFEE through technological innovation channels, with mediation analysis revealing this pathway accounts for 2.0% (\({\alpha }_{1}\cdot {\beta }_{2}/({\alpha }_{1}\cdot {\beta }_{2}+{\beta }_{1})\)) of the total policy effect on GTFEE improvement.In terms of structural effects,the empirical results demonstrate that national-level new areas significantly enhance structural optimization effects.After conducting a regression analysis with the DID term, structural effects, and energy efficiency, the regression coefficient is found to be significantly positive,confirming that these policy zones improve urban energy efficiency through structural adjustments.Mediation analysis reveals that 14.24% of the total policy impact on energy efficiency is attributable to this structural transformation channel.
Spatial spillover analysis
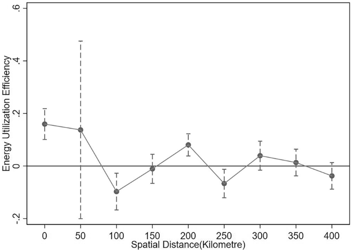
Figure 5 shows that the trend of the variable \({N}_{{it}}^{s}\) coefficient varies with spatial distance on the basis of the estimation results from Model (3). Specifically, as the distance to national new areas increases, the spillover effect of national new areas on the energy utilization efficiency of surrounding cities exhibits a “∽“-shaped trend, initially decreasing, then increasing, and subsequently decreasing again. Within this trend, the agglomeration shadow zone of the national new areas, located within 150 kilometers of their own city, significantly impacts the energy utilization efficiency of surrounding cities within a range of 150–200 km. However, beyond 200 kilometers, the driving effect of national new areas on the energy utilization efficiency of surrounding cities diminishes. This finding aligns with the predictions of agglomeration economy theory, i.e., when cities are too close to national new areas, they are influenced by their agglomeration shadow zones, resulting in an insignificant driving effect on the economic growth of surrounding cities. Significant positive driving effects emerge only when a certain distance is exceeded, allowing cities to escape the clustered shadow area. Conversely, if cities are too far from the national new areas, the driving effect continues to decline and ultimately becomes insignificant.
Heterogeneity analysis
Regional heterogeneity analysis
There are distinct disparities in ED and technological innovation across cities in different regions, thereby necessitating an examination of these differences. The treatment group samples are divided into four subsets corresponding to the eastern, central, western cities and northeast cities. The findings presented in Table 6 indicate that national new areas in all four regions—east, central, west and northeast—significantly contribute to enhancing GTFEE. Notably, the impact on GTFEE improvement is more pronounced in eastern cities, with comparatively smaller effects observed in central, western and northeast cities. A reasonable explanation for this disparity is the higher level of technological innovation in eastern cities, coupled with a more robust industrial base, which allows national new areas to have a more substantial impact on GTFEE. Conversely, the central, western and northeast regions, with their relatively lower levels of technological innovation and energy utilization efficiency, experience a less significant influence from national new areas.
Previous studies on regional environmental effects have focused more on the differences among the east cities, the central cities, the west cities and the northeast cities, with insufficient attention given to the differences between North China and South China. GTFEE is closely related to both the energy consumption structure and the industrial structure, with significant heterogeneity observed between South China and North China in these aspects. Firstly, in terms of energy consumption structure, northern cities are more reliant on traditional fossil fuels such as coal, while southern cities predominantly utilize clean energy sources like hydropower and wind energy. The higher proportion of fossil fuel usage in northern cities results in relatively lower energy utilization efficiency. Secondly, in terms of industrial structure, the northern region’s manufacturing sector is predominantly characterized by traditional, energy-intensive industries, whereas the southern region has a higher proportion of service-oriented industries. Therefore, it is necessary to verify the difference in energy utilization efficiency between northern and southern cities in national new areas.
The results in Table 7 show that both northern cities and southern cities in the national new areas have obvious GTFEE enhancement effects, in which the enhancement effect on northern cities is greater than that on southern cities. The possible reasons are that the establishment of national new areas promotes the adoption of clean energy and energy-saving technologies, which significantly improves the GTFEE of northern cities. Additionally, the establishment of national new areas drives the optimization and upgrading of industrial structures in northern cities by introducing low-energy-consuming, high value-added industries, thereby enhancing overall energy utilization efficiency.
Single-city and dual-city heterogeneity
In accordance with the distribution of national new areas, the treatment group sample is categorized into two sub-samples, specifically, those with a single-city layout and those with a dual-city layout. Table 8 demonstrates that cities adopting a single-city deployment layout for national-level new areas exhibit a statistically significant improvement in energy use efficiency. In contrast, cities adopting a dual-city deployment layout show no statistically significant enhancement in GTFEE. Potential explanations may include the following: In the single-city layout, development is confined to a single central city’s jurisdiction, where more stringent environmental standards for industrial project approval and higher carbon-neutral urban construction benchmarks are typically enforced, leading to more pronounced improvements in GTFEE. Conversely, the dual-city deployment layout, coordinated by provincial governments and characterized by larger-scale national new areas, requires comprehensive consideration of industrial development and urban construction standards across both cities when establishing environmental access thresholds for projects or low-carbon urban development criteria. This policy balancing mechanism fails to generate a synergistic effect (“1 + 1 > 2”) in enhancing energy use efficiency in the participating cities.
Conclusions and implications
Conclusions
This study employs a gradual DID approach to empirically examine the impact of establishing national new areas on host cities’ GTFEE. There are three important conclusions drawn from this research. (1) Basic regression analysis reveals that the construction of national new areas significantly improved the GTFEE of their host cities, with an improvement effect of 6.58%, which lasted up to 6 years and reached its peak in the 6th year after the establishment of the new area. Therefore, national new areas are important policy carriers for enhancing GTFEE and facilitating green low-carbon transition. (2) Mechanism analysis reveals that national new areas enhance GTFEE primarily through technological and structural effects. Technological effects account for 2.5% of the GTFEE improvement attributable to national new areas policies, while structural effect explain 26.46% of the total enhancement. (3) The results of the heterogeneity analysis indicate that the effect of national new areas on enhancing GTFEE is significantly more pronounced in eastern cities compared to the central, western and northeast cities. Additionally, the policy effectiveness in northern cities is markedly superior to that in southern cities. Furthermore, the energy efficiency improvement effect of single-city layout new districts is more favorable than that of dual-city layout.
Implications
This study provides several policy implications based on the findings. & It is essential to further refine the spatial distribution of national new areas. These areas should persist in leveraging their role in enhancing GTFEE. The pilot construction scope of national new areas should be progressively expanded to stimulate the GTFEE spillover effect in adjacent regions. Considering the current uneven spatial distribution of national new areas, it is suggested that priority be given to supporting the applications for the establishment of national new areas in Wuhan, the core city of the Wuhan metropolitan area; Zhengzhou, the core city of the central plains urban agglomeration; and Hefei, the core city of the Hefei metropolitan area.
Considering that national new areas primarily enhance GTFEE through technological and structural effects, efforts should be made to continuously improve urban innovation capabilities, increase research funding, enhance the environment for scientific and technological innovation, and cultivate technical talent in energy fields. Moreover, the pivotal function of evolving the industrial structure upgrading in achieving energy efficiency must be underscored. This involves a dedicated effort to optimize the industrial structure, proactively endorse the expansion of strategic emerging industries and producer services, with the aim of elevating the share of the tertiary industry in the overall economic structure.
Given the heterogeneous effects of national-level new areas on GTFEE, a differentiated GTFEE mechanism should be established for these areas to optimize their energy structures according to their respective characteristics. The eastern region, with its advanced economy and technology, enjoys relatively higher GTFEE, while the central and western regions lag behind in this regard. Therefore, the differentiated mechanism should fully take these factors into account and formulate corresponding policies and technological pathways based on the characteristics of different regions. In addition, it is essential to focus on summarizing and refining the successful experiences of national-level new areas with a single-city layout in optimizing energy structure and promoting energy technology innovation. By importing talents, technologies, and institutional measures from national new areas with a single-city layout, the GTFEE of national new areas with a dual-city layout can be effectively enhanced.
Limitations
This study may be subject to certain limitations. First, while this study employs city-level data to examine the macro-level mechanisms through which national new areas improve regional energy efficiency, future research should extend this work through micro-level analyses (e.g., using firm-level data) to uncover more granular mechanisms. Second, as institutional innovation grows increasingly pivotal in shaping the comparative advantages of national new areas, this study falls short in providing a comprehensive quantitative assessment of the level of institutional innovation in these areas. Future research should employ textual quantification techniques to develop quantitative indicators of institutional innovation and systematically explore how institutional innovation mediates the impact of national-level new areas on regional energy efficiency.
Data availability
No datasets were generated or analyzed during the current study.
References
Ang BW (2004) Decomposition analysis for policymaking in energy: which is the preferred method? Energy Policy 32:1131–1139. https://doi.org/10.1016/s0301-4215(03)00076-4
Angrist JD, Pischke J-S (2008) Mostly harmless econometrics: an empiricist’s companion. Princeton University Press
Barry N (2010) China’s economic policy today: the new state activism. Eurasia Geogr Econ 52(3):313–329. https://doi.org/10.2747/1539-7216.52.3.313
Beck T, Levine R, Levkov A (2010) Big bad banks? The winners and losers from bank deregulation in the United States. J Financ 65(5):1637–1667. https://www.jstor.org/stable/40864982
Bertoldi P (2018) Editorial: ten-year anniversary. Energy Effic 11(8):1913–1915. https://doi.org/10.1007/s12053-018-9760-3
Bertoldi P, Mosconi R (2020) Do energy efficiency policies save energy? A new approach based on energy policy indicators (in the EU Member States). Energy Policy 139:111320. https://doi.org/10.1016/j.enpol.2020.111320
Cao QF (2020) The driving effect of National New Area on regional economic growth: based on the empirical evidence of 70 large and medium-sized cities. China Ind Econ 7:43–60. https://doi.org/10.19581/j.cnki.ciejournal.2020.07.014 (in chinese)
Chang CP, Wen J, Zheng M, Dong M, Hao Y (2018) Is higher government efficiency conducive to improving energy use efficiency? Evidence from OECD countries. Econ Model 72:65–77. https://doi.org/10.1016/j.econmod.2018.01.006
Chao H, Lin GCS (2020) Spatializing the project of state rescaling in postreform China: emerging geography of National New Area. Habitat International, 102121. https://doi.org/10.1016/j.habitatint.2020.102121
Chen ZZ, He Y, Xu CS (2021) The promotion effect of national new areas on economic development-multi-period double difference test based on 293 cities. Urban Issues 3:75–87. https://doi.org/10.13239/j.bjsshkxy.cswt.210308 (in chinese)
Cheng Z, Li L, L J (2017) The emissions reduction effect and technical progress effect of environmental regulation policy tools. J Clean Prod 149:191–205. https://doi.org/10.1016/j.jclepro.2017.02.105
Chuai X, Huang X, Wang W, Wen J, Cheng Q, Peng J (2012) Spatial econometric analysis of carbon emissions from energy consumption in China. J Geogr Sci 22(4):630–642. https://doi.org/10.1007/s11442-012-0952-z
Duan C, Chen B (2016) Virtual water embodied in international energy trade of China. Energy Procedia 88:94–99. https://doi.org/10.1016/j.egypro.2016.06.030
Fawcett T, Killip G (2019) Rethinking energy efficiency in European policy: practitioners’ use of’multiple benefits’ arguments. J Clean Prod 210:1171–1179. https://doi.org/10.1016/j.jclepro.2018.11.026
Feng Y, Wang L, Nie C (2024) Can place-based policy reduce carbon emissions? Evidence from industrial transformation and upgrading exemplary zone in China. Humanit Soc Sci Commun 11:877. https://doi.org/10.1057/s41599-024-03383-w
Feng Y, Zhang J, Luo R, Pan Y, Niu S (2024) How does the opening of high-speed rail drive energy restructuring? New micro evidence from China. Humanit Soc Sci Commun 11:173. https://doi.org/10.1057/s41599-024-02622-4
Huang H, Zhang J (2021) Research on the environmental effect of green finance policy based on the analysis of pilot zones for green finance reform and innovations. Sustainability 13:3754. https://doi.org/10.3390/su13073754
Lee C, Feng Y, Peng D (2022) A green path towards sustainable development: the impact of low-carbon city pilot on energy transition. Energy Econ 115:106343. https://doi.org/10.1016/j.eneco.2022.106343
Li K, Lin BQ (2018) How to promote energy efficiency through technological progress in China? Energy 143:812–821. https://doi.org/10.1016/j.energy.2017.11.047
Li L (2015) State rescaling and national new area development in China: the case of Chongqing Liangjiang. Habitat Int 50:80–89. https://doi.org/10.1016/j.habitatint.2015.08.009
Li Y, Wu FL (2017) Understanding city regionalism in China regional cooperation in the Yangtze River Delta. Reg Stud 52(3):313–324. https://doi.org/10.1080/00343404.2017.1307953
Ling X, Luo Z, Feng Y, Liu X, Gao Y How does digital transformation relieve the employment pressure in China? Empirical evidence from the national smart city pilot policy Humanit Soc Sci Commun 10(2023):617. https://doi.org/10.1057/s41599-023-02131-w
Liu CK, Peng TY, Zeng B, Zeng Y (2023) Impact of establishment of National New Area on carbon reduction. Trop Geogr 43(11):2049–2059. https://doi.org/10.13284/j.cnki.rddl.003771. (in chinese)
Liu J, Zhao Q (2024) Mechanism testing of the empowerment of green transformation and upgrading of industry by the digital economy in China. Front Environ Sci 11:1292795. https://doi.org/10.3389/fenvs.2023.1292795
Liu X, Bae J (2018) Urbanization and industrialization impact of CO2 emissions in China. J Clean Prod 172:178–186. https://doi.org/10.1016/j.jclepro.2017.10.156
Liu X, Heilig G, Chen J, Heino M (2007) Interactions between economic growth and environmental quality in Shenzhen, China’s first special economic zone. Ecol Econ 62(3):559–570. https://doi.org/10.1016/j.ecolecon.2006.07.020
Martinez MH (2018) ‘National Level New Areas’ and urban districts: centralization of territorial power relations in China. Chin Polit Sci Rev 3(2):195–210. https://doi.org/10.1007/s41111-018-0102-6
Miao C, Fang D, Sun L, Luo Q, Yu Q (2018) Driving effect of technology innovation on energy utilization efficiency in strategic emerging industries. J Clean Prod 170:1177–1184. https://doi.org/10.1016/j.jclepro.2017.09.225
National Development and Reform Commission (NDRC) (2016) Guidelines for the development of national new areas in the new era. Retrieved from https://www.gov.cn/xinwen/2016-10/14/content_5119123.htm
Park BG (2013) State rescaling in non-Western contexts. Int J Urban Reg Res 37(4):1115–1122. https://doi.org/10.1111/1468-2427.12074
Pata U, Tekin B, Özbay F (2023) Empirical considerations on the reciprocal relationship between energy efficiency and leading variables: New evidence from OECD countries. Energy Build 284:112857. https://doi.org/10.1016/j.enbuild.2023.112857
Pouri MJ (2021) Eight impacts of the digital sharing economy on resource consumption. Resour Conserv Recycl 168:105434. https://doi.org/10.1016/j.resconrec.2021.105434
Qi Y, Liu T, Jiao J (2017) Implementation methods and economic impacts of national node strategies. J Geogr Sci 27(3):348–364. https://doi.org/10.1007/s11442-017-1381-9
Shen Q, Wu R, Pan Y, Pan X, Feng Y(2024) Explaining and modeling the impacts of inclusive finance on CO2 emissions in China integrated the intermediary role of energy poverty. Humanit Soc Sci Commun 11:82. https://doi.org/10.1057/s41599-023-02595-w
Shi D, Li S (2020) Emissions trading system and energy use efficiency—measurements and empirical evidence for cities at and above the prefecture level. China Ind Econ 9:5–23. https://doi.org/10.19581/j.cnki.ciejournal.2020.09.001 (in chinese)
Song ML, Pan HT, Vardanyan M, Shen ZY (2023) Evaluating the energy efficiency-enhancing potential of the digital economy: evidence from China. J Environ Manag 344:118408. https://doi.org/10.1016/j.jenvman.2023.118408
Song M, Xie Q, Shen Z (2021) Impact of green credit on high-efficiency utilization of energy in China considering environmental constraints. Energy Policy 153:112267. https://doi.org/10.1016/j.enpol.2021.112267
Wang J (2013) The economic impact of special economic zones: evidence from Chinese municipalities. J Dev Econ 101:133–147. https://doi.org/10.1016/j.jdeveco.2012.10.009
Wang JB, Qiao HL, Liu J, Li B (2022) Does the establishment of national new areas improve urban ecological efficiency? Empirical evidence based on staggered DID model. Int J Environ Res Public Health 19(20):13623. https://doi.org/10.3390/ijerph192013623
Wang JX, Wang S (2023) The effect of electricity market reform on energy efficiency in China. Energy Policy 181:113722. https://doi.org/10.1016/j.enpol.2023.113722
Wang X, Bo L (2019) International export trade and enterprise innovation—research based on a quasinatural experiment of ‘CR’ express. China Ind Econ 10:80–98. https://doi.org/10.19581/j.cnki.ciejournal.2019.10.005
Wang Y, Deng X, Zhang H, Liu, Yue T, Liu G (2022) Energy endowment, environmental regulation, and energy efficiency: evidence from China. Technol Forecast Soc Chang 177:121528. https://doi.org/10.1016/j.techfore.2022.121528
Wang Z, Feng C (2014) The impact and economic cost of environmental regulation on energy utilization in China. Appl Econ 46(27):3362–3376. https://doi.org/10.1080/00036846.2014.929629
Wu T (2023) Do energy-environmental efficiency benefit from advanced policy zones? Evidence from national new zones of China. Environ Sci Pollut Res 30:79883–79903. https://doi.org/10.1007/s11356-023-28120-9
Xiao H, Ma Z, Mi Z, Kelsey J, Zheng J, Yin W et al. (2018) Spatiotemporal simulation of energy consumption in China’s provinces based on satellite nighttime light data. Appl Energy 231:1070–1078. https://doi.org/10.1016/j.apenergy.2018.09.200
Xion G, Shi D (2021) Do industrial transfer demonstration zones improve energy efficiency? China Population. Resourse Environ 3(7):27–36
Xu B, Lin B (2018) What cause large regional differences in PM2.5 pollutions in China? Evidence from Quantile Regression Model. J Clean Prod 174:447–461. https://doi.org/10.1016/j.jclepro.2017.11.008
Yan Z, Bu W, Wang Y (2024) National New Zone and urban green technology innovation—research on the mediating effect of industrial agglomeration. Sci Sci Manag S T 06:1–30
Yang C, Li T, Albitar K (2021) Does energy efficiency affect ambient PM2.5? The moderating role of energy investment. Front Environ Sci 9:707751. https://doi.org/10.3389/fenvs.2021.707751
Yang B, Ding L, Zhan X, Tao X, Peng F (2022) Evaluation and analysis of energy security in China based on the DPSIR model. Energy Policy 8:607–615. https://doi.org/10.1016/j.egyr.2022.01.229
Yang G, Cao D, Zhang G (2023) How does industry-university-research collaborative innovation affect energy intensity in China: a novel explanation based on political turnover. Humanit Soc Sci Commun 10:554. https://doi.org/10.1057/s41599-023-02061-7
Yang J, Li Y, Hay I, Huang X (2019) Decoding national new area development in China: toward new land development and politics. Cities 87:114–120. https://doi.org/10.1016/j.cities.2018.12.030
Yang S, Liu W, Zhang Z (2022) The dynamic value of China’s hightech zones: direct and indirect influence on urban ecological innovation. Land 11:59. https://doi.org/10.3390/land11010059
Yuan X, Zuo J, Ma C (2012) Social acceptance of solar energy technologies in China—end users’ perspective. Energy Policy 39:1031–1036. https://doi.org/10.1016/j.enpol.2011.01.003
Zhang PD, Chen Z (2020) Policy effect of establishment of China’s national new districts on green development. J Beijing Inst Technol (Soc Sci Ed) 22(04):49–59. https://doi.org/10.15918/j.jbitss1009-3370.2020.3458
Zheng G, Barbieri E, Di T, Marco R, Zhang L (2016) Development zones and local economic growth: zooming in on the Chinese case. China Econ Rev 38:238–249. https://doi.org/10.1016/j.chieco.2016.01.001
Zhou G, Chen X (2022) The impact of the construction of national new areas on regional economic development. Econ Longit Latit 39(3):3–14. https://doi.org/10.15931/j.cnki.1006-1096.2022.03.002
Acknowledgements
This work was supported by National Natural Science Foundation of China (72163010, 42461027) and Doctoral Research Initiation Fund Project of Nanchang Normal University (NSBSJJ2025033).
Author information
Authors and Affiliations
Contributions
TP: Conceptualization; methodology; writing—reviewing and editing; Visualization; JT: Writing—Review and Editing; LW: Writing—Review and Editing; BZ: Conceptualization; methodology; Writing—Review and Editing; Funding acquisition; GC: Writing—Review and Editing; Visualization; Funding acquisition.
Corresponding author
Ethics declarations
Competing interests
The authors declare no competing interests.
Ethical approval
This article does not contain any studies with human participants.
Informed consent
This article does not contain any studies with human participants. All authors confirm the version of the manuscript.
Additional information
Publisher’s note Springer Nature remains neutral with regard to jurisdictional claims in published maps and institutional affiliations.
Rights and permissions
Open Access This article is licensed under a Creative Commons Attribution-NonCommercial-NoDerivatives 4.0 International License, which permits any non-commercial use, sharing, distribution and reproduction in any medium or format, as long as you give appropriate credit to the original author(s) and the source, provide a link to the Creative Commons licence, and indicate if you modified the licensed material. You do not have permission under this licence to share adapted material derived from this article or parts of it. The images or other third party material in this article are included in the article’s Creative Commons licence, unless indicated otherwise in a credit line to the material. If material is not included in the article’s Creative Commons licence and your intended use is not permitted by statutory regulation or exceeds the permitted use, you will need to obtain permission directly from the copyright holder. To view a copy of this licence, visit http://creativecommons.org/licenses/by-nc-nd/4.0/.
About this article
Cite this article
Peng, T., Tang, J., Wang, L. et al. Does green total-factor energy efficiency benefit from advanced policy zones? Evidence from national new areas in China. Humanit Soc Sci Commun 12, 1825 (2025). https://doi.org/10.1057/s41599-025-06107-w
Received:
Accepted:
Published:
Version of record:
DOI: https://doi.org/10.1057/s41599-025-06107-w







