Abstract
This study investigates how women’s non-farm employment influences the quantity and quality of children in a rural context. Using a two-way fixed effects model and longitudinal data from the China Family Panel Studies, we find that the participation of non-farm employment by rural women causes a significant decrease in their actual number of children and has an adverse impact on children’s Chinese test grades. These results can be interpreted as a transition in fertility norms and a lack of caring and supervision for children: women’s non-farm employment is associated with a weakening of son preferences and traditional gender roles, and it also reduces the number of hours mothers spend caring for their children and the frequency of assignment checks. This insight offers valuable implications for policymakers seeking to harmonize female employment dynamics with demographic and educational policies in rural developing countries.
Similar content being viewed by others
Introduction
For the last few decades, many developing countries have been experiencing rapid industrialization and urbanization, resulting in increased non-farm (non-agricultural) work (United Nations, 2019). Expanding opportunities for non-farm employment available to rural women affects the opportunity cost of children. This, in turn, may affect fertility decisions for the quantity and quality of children—key factors which influence population structure and economic growth. While numerous studies of the association between female labor supply and fertility have been conducted for industrialized countries (Kalwij, 2000; Ahn and Mira, 2002; Budig, 2003; Adser, 2004; Auer and Danzer, 2016), the impact of women’s non-farm employment on child quantity and quality has received less attention in rural areas of developing countries.
China is a developing country that has seen female employment in non-farm sectors (industry and services) increase sharply over the past three decades, from 43.3% in 1991 to 75.8% in 2018, compared to a decrease from 56.7 to 24.2% in agricultural employment.Footnote 1 This is particularly evident for rural women between 16–30 years of age, where more than 7 out of 10 are engaging in non-farm activities (Zhang et al., 2018). The changes in employment structure reflect rural women’s socioeconomic transition from smallholder farming families characterized by low income and insufficient social security coverage to non-farm working families with greater economic returns but higher opportunity costs of raising children. As such, women’s fertility preferences are likely to change from traditional beliefs of desiring more children to support the family towards modern fertility patterns: fewer children, but with greater emphasis on child development and quality.
Economists have long studied the relationship between fertility and income. Neoclassical theory predicts a positive link between fertility and income when children are characterized as a normal good in a theoretical model. However, most empirical evidence is at odds with this prediction and shows a decrease in fertility rates as countries become wealthier. Two main factors may account for this fact within a neoclassical model. First, if a trade-off between quantity and quality of children is introduced, income increases will reduce fertility if income elasticity for the number of children is smaller than income elasticity for the quality of children (Becker, 1960; Becker and Lewis, 1973; Willis, 1973). Second, child rearing is intensive in mothers’ time, so higher female earnings increase the marginal cost of time allocated to childcare, decreasing the demand for children (Mincer, 1963; Willis, 1973; Sander, 1986).
Several empirical studies have examined the impacts of female employment on fertility, with most showing a negative association. For instance, Kalwij (2000) found that Dutch employed women have children at older ages and have fewer children compared to non-employed women. Using data from the United States between 1979 and 1994, Budig (2003) found that both part- and full-time employment reduce the likelihood of pregnancy for all ethnic groups. Auer and Danzer (2016) found similar results for German women. Shreffler (2016) explored the association between characteristics of women’s jobs and fertility intentions. Women working in “more professional” jobs were more likely to delay having children than those in less professional occupations. Among developing countries, Fang et al. (2013) used the 2006 China Health and Nutrition Survey and found that female employment is associated with 0.35 fewer preferred children and 0.50 fewer actual children. In Senegal, female employment caused a 25% reduction in the number of children for employed women (Van den Broeck and Maertens, 2015).
While the topic regarding female fertility has been widely discussed, several limitations remain in terms of research contexts, outcome measures, and underlying mechanisms, which this paper aims to address through three corresponding contributions. First, the majority of existing research has focused on analyzing the nexus between employment and fertility among working women in developed countries or urban areas, while studies examining the fertility effects of non-farm employment among rural women in developing countries remain relatively scarce. Our study extends this line of research by providing novel insights into how rural women adjust their fertility behaviors in response to non-farm employment within the institutional and cultural context of a developing society. China presents an interesting case for our analysis. The processes of urbanization and industrialization have created more employment opportunities outside the agricultural sector, motivating rural women to participate in market work and resulting in profound changes in gender roles and family relationships. Against this background, investigating the impact of women’s off-farm employment on child quantity and quality provides valuable insights into this topic in developing countries and may have important implications for theory and practice.
Second, most prior research has primarily focused on the quantity of children as the key fertility outcome. Although this indicator captures an important dimension in childbearing decisions, it overlooks the effects on child quality, such as the academic achievements of children. Child quality is particularly salient in developing countries, where education and skill acquisition are key drivers of social mobility and poverty reduction. Building on this, we broaden the scope of fertility outcomes by examining not only the number of children born to women but also children’s academic achievements as measured by grades in Chinese and mathematics tests. This provides a more comprehensive analysis of the trade-off between the child quantity and quality among rural women.
Third, relatively few studies have explored the underlying mechanisms of the impact on child quantity and quality, particularly in the context of developing societies, leaving important questions about how female employment shapes fertility behaviors unresolved. Therefore, we explicitly investigate the mechanisms through which women’s non-farm employment shapes child quantity and quality, focusing on fertility desires, son preferences, traditional norms, gender roles, education expenditures, hours of childcare, and assignment checks, thus shedding light on the potential channels involved. By drawing on nationally representative survey data from the China Family Panel Studies (CFPS), this study provides timely evidence from the world’s largest developing economy, where declining fertility and rapid population aging pose pressing challenges. In doing so, it fills important gaps in the literature and offers novel insights for policymakers seeking to balance labor market transformation with demographic sustainability.
The remainder of this paper is organized as follows. Section “Theoretical framework” provides a theoretical framework; section “Data and variables” describes the data and variables. Section “Empirical strategy” presents the econometric and empirical strategy. Section “Results” describes the main results, robustness checks, and underlying mechanisms. Lastly, the discussion and concluding remarks are in the section “Discussion and conclusion”.
Theoretical framework
We develop a conceptual framework to predict the effect that women’s non-farm employment has on child quantity and quality. The quantity-quality trade-off model (Becker and Lewis, 1973) is extended by incorporating the allocation of time among leisure, farm activity, non-farm labor, and childcare. From this, we derive the effects of an exogenous increase in non-farm labor supply on a family’s optimal number of children and child quality. The model allows us to decompose the employment-fertility relationship into an income effect, which results from women’s participation in the non-farm labor market, and a substitution effect, which results from changes in the value of time used for childcare and housework. The final impact of non-farm employment on child quantity and quality is theoretically ambiguous, depending on which of the effects dominate.
Each household is assumed to maximize household utility (1) by choosing the optimal quantity of children, \(n\), child quality, \(q\), leisure, \({T}_{l}\), and consumption of other goods, \(m\):
subject to a time constraint (2):
and a budget constraint (3):
\(T\) is the total time endowment, \({T}_{c}\) is the women’s time devoted to childcare, and \({T}_{f}\) and \({T}_{o}\) are the time allocated to farm production activities and non-farm work, respectively. The budget constraint features an interaction among the number of children, child quality, and the consumption of other commodities (Becker and Lewis, 1973). In this equation, \(I\) represents the family’s full income, \({P}_{n}\) denotes the marginal cost of childcare, \({P}_{q}\) is the marginal cost of per-child quality, and \({P}_{m}\) represents the price of other goods. According to Willis (1973) and Oliveira (2016), per-child quality, \(q\), can be viewed as a production function, \(q=q({T}_{c}/n,\,{X}_{c}/n)\). That is, per-child quality depends on the total amount of time devoted to childcare, \({T}_{c}\), the total amount of children’s consumption goods, \({X}_{c}\), and \(n\), the number of children.
The utility function is assumed to be concave, continuous, and twice differentiable. Maximizing utility subject to the constraints yields the following optimal choices of child quantity and quality:
and:
These equations show that the changes in child quantity and quality (n* and q*) resulting from increases in non-farm labor supply (To) can be examined through the influence of To on family full income, I, and the marginal cost of childcare, Pn. Following Kousar and Abdulai (2016) and Shen et al. (2017), let full income be defined as: \(I=w{T}_{o}+{P}_{f}{Q}_{f}({T}_{f},\,K)+V\). Here, \(w\) denotes the wage rate of non-farm work, \({P}_{f}\) is the price of farm output, \(V\) represents other household non-labor income, and \({Q}_{f}({T}_{f},\,K)\) denotes the farm production function, determined by farm labor, \({T}_{f}\), and capital input,\(K\).
We further assume that the marginal cost of childcare is affected by the time allocation among farm work, non-farm work, and childcare, as represented by the function: \({P}_{n}={P}_{n}({T}_{f},\,{T}_{o},\,{T}_{c})\). We assume that an increase in \({T}_{f}\) or \({T}_{o}\) will raise the marginal cost of childbearing (\(\partial {P}_{n}/\partial {T}_{f} > 0\) and \(\partial {P}_{n}/\partial {T}_{o} > 0\)) while an increase of \({T}_{c}\) will decrease the marginal cost of childbearing (\(\partial {P}_{n}/\partial {T}_{c} < 0\)).
By including the full income and childcare marginal cost functions, the partial effects on the number of children and child quality are as follows:
and:
In Eq. (6), the first term, \(w(\partial {n}^{\ast }/\partial I)\), captures the income effect of non-farm employment on the optimal quantity of children. It is expected to be positive unless children are inferior goods (Becker, 1960; Becker and Lewis, 1973). The second term, \((\partial {n}^{\ast }/\partial {P}_{n})\cdot (\partial {P}_{n}/\partial {T}_{0})\), shows the substitution effect: the marginal cost of fertility changes with the number of hours of non-farm work. Because a higher marginal cost will decrease the demand for children, \(\partial {n}^{\ast }/\partial {P}_{n} < 0\). At the same time, as \(\partial {P}_{n}/\partial {T}_{o} > 0\), the sign of the substitution effect should be negative. Overall, while the income effect of non-farm work is positive for \({n}^{\ast }\) ceteris paribus, the change in the marginal cost of \({n}^{\ast }\) creates an opposing effect. Thus, the total effect on \({n}^{\ast }\) is ambiguous.
In Eq. (7), the term \(w(\partial {q}^{\ast }/\partial I)\) is positive and captures the improvement in per-child quality when household income increases as a result of women’s labor supply in non-farm sectors (income effect). \(\partial {q}^{\ast }/\partial n\) reveals the trade-off between child quantity and quality and is assumed to be negative (Becker and Lewis, 1973), but the sign of the term \(\partial n/\partial {T}_{0}\) is uncertain and is determined by preferences for child quantity relative to changes in rural family employment. If \(\partial n/\partial {T}_{0} < 0\), the final impact of non-farm employment on per-child quality will be positive, because both \(w(\partial {q}^{\ast }/\partial I)\) and \((\partial {q}^{\ast }/\partial n)\cdot (\partial n/\partial {T}_{0})\) are positive. If \(\partial n/\partial {T}_{0} > 0\), the total effect is unknown because \(w(\partial {q}^{\ast }/\partial I) > 0\) while \((\partial {q}^{\ast }/\partial n)\cdot (\partial n/\partial {T}_{0}) < 0\). In this case, the combined impact on \({q}^{\ast }\) depends on which of these terms dominates. If there is no significant relationship between \({T}_{o}\) and \(n\), non-farm employment will increase the demand for per-child quality only through the income effect, \(w(\partial {q}^{\ast }/\partial I)\).
Data and variables
Data
The data for our main analysis come from the CFPS, which is conducted by the Institute of Social Science Survey (ISSS) at Peking University. The survey used a multi-stage probability sampling method to collect data from a target sample of 16,000 households in 25 Chinese provinces. The CFPS launched its baseline in 2010, subsequently completing follow-up surveys in 2012, 2014, 2016, 2018, 2020, and 2022. The CFPS collects detailed information on households, adults, and children. Specifically, the questionnaires have asked for information at the individual level on respondents’ labor market activities and their children’s development status, which are particularly relevant to the research interests of this paper.
Since this article focuses on rural women’s employment and their fertility outcomes, urban observations are excluded from our study sample. In particular, we include women living in rural areas who have a non-agricultural hukou, as these women have continued to reside in the countryside despite their household registration changing from agricultural to non-agricultural status. Furthermore, we restrict the sample to married women who are 20 years or older. There are two reasons for doing so: (1) we adhere to the minimum legal marriage age for women in China, which is no less than 20 years old. If the sample includes a large number of unmarried or younger individuals, it may underestimate the effect of employment on child quantity and quality, as these individuals may be childless due to their age rather than employment. (2) We selected married women as our study sample because this allows us to simultaneously control for important characteristics of their husbands that may impact family fertility decisions. This also ensures that we capture women who are in the stage of childbearing and child-rearing, and the potential effects of women’s employment on the trade-off between the quantity and quality of children. Finally, we conduct a panel data analysis using the sample comprising all seven waves of surveys. Due to differences in the observed individuals for the dependent variables (child quantity and child quality), the sample sizes involved in the corresponding regression models also differ. The number of observations for each survey wave is shown in Table 1.
Child quantity and quality
The dependent variables of this study are child quantity and child quality. To reflect women’s actual fertility behaviors, child quantity is measured by the actual number of children born to married women. Although the CFPS does not directly record a variable for the number of children, this variable can be calculated based on the information recorded in the household member questionnaire. The household data file of the CFPS provides child codes and mother IDs for each married woman in the household. This enables us to link each mother to her children. By combining the child codes, mother IDs, and household IDs, we can construct a variable that reveals the current number of children born to a married woman.
Child quality is measured by the academic achievement of children. A large body of research has shown that academic achievement is strongly correlated with future educational attainment, labor market outcomes, and earnings potential (Zheng et al., 2020; Zheng et al., 2023; Wang et al., 2024). Employers and higher education institutions often use grades and test scores as selection filters, meaning that performance directly influences access to opportunities. In this study, we use the regular test grades in Chinese and mathematics from the last semester as two measures of academic achievement. CFPS records the test grades in these subjects for children under 16 years old at school, and grades are represented by four levels, where 1 = poor, 2 = average, 3 = good, and 4 = excellent.
Women’s non-farm employment
The key explanatory variable is women’s non-farm employment, indicating whether the woman has a main job in the non-agricultural sector. Non-farm employment refers to the labor force participation of rural residents in non-farm activities, as defined by Lanjouw and Lanjouw (2001). A basic classification of farm activities and off-farm activities follows the sectoral distinctions of primary (agriculture), secondary (industry), and tertiary (services). Van den Broeck and Kilic (2019) pointed out that wage employment can occur in the agricultural sector, such as being employed to work on other farms. In light of the fact that women who are not in employment may also be involved in reproductive decision-making, it is necessary to include unemployed women in the reference group. Therefore, we create a binary variable for quantifying women’s non-farm employment. Specifically, this variable takes a value of 1 if women reported participating in non-farm employment (i.e., self-employed in non-farm businesses, employed in farm work, or employed in non-farm work), and a value of 0 if they did not participate in non-farm employment (i.e., engaged in their own farm work or not working).
Control variables
All regression specifications include a set of demographic characteristics of wife and husband that are likely to be associated with fertility decisions, including age, education (number of years of respondent’s formal schooling completed), and health status (1 if the respondent reported that his or her health status is good or very good and 0 otherwise). Research by Deleire et al. (2011) and Boldrin et al. (2015) suggests that a variety of social security programs may alter financial incentives regarding childbearing. We capture this effect by two measures: a public pension dummy (1 if the respondent participates in governmental pension plans) and a health insurance dummy (1 if the respondent is covered by any type of social health insurance).
We also include several household characteristics that may both affect women’s non-farm employment participation and their fertility behaviors. Given that the number of children, especially in rural China, is related to the gender of the first child, we take into account this important factor by including a dummy variable that equals 1 if the first child born to the woman is a boy and 0 otherwise. Control variables for family economic conditions include land renting-out (1 if the household has rented out its own cultivated land), transfer income (annual transfer income received by the household, RMB), and household assets (annual total assets of household, RMB). When examining the impact on child quality, we further control for children’s education level (represented by four categorical variables: no schooling (reference group), elementary school, junior school, and senior school), number of children already born, and proportion of male children in households. These factors must be given full consideration, as neglecting them would confound the relationship between women’s employment and child quality.
Empirical strategy
Two-way fixed effects model
We begin by estimating the impact of women’s non-farm employment participation on child quantity and quality. One threat to our identification may come from potential biases due to individual unobserved heterogeneity, such as personality traits and risk preferences, which could influence both labor behaviors and decisions regarding the quantity and quality of children (Shen et al., 2023). To address this issue, we adopt the two-way fixed effects (TWFE) model, which could remove the effect of the unobserved heterogeneity by using the within estimator in a panel regression analysis. The effects on child quantity are first estimated, and the form of the regression model is as follows:
where \({\mathrm{Quantity}}_{it}\) denotes the actual number of children born to the woman \(i\) in year \(t\). The key independent variable, \({\mathrm{Treat}}_{it}\), is a binary variable representing whether women participated in off-farm employment, and its coefficient \({\beta }_{1}\) is our main interest, revealing the average treatment effect of non-farm employment on the outcome variable. \(X\) is a vector of control variables reflecting the wife’s demographics, the husband’s demographics, and household-level characteristics. The specification allows us to control for individual-specific fixed effects \({\alpha }_{i}\) for married women and time-specific fixed effects \({\lambda }_{t}\) for survey years.
To investigate the effects on child quality, we use a TWFE technique to estimate the following regression model:
Here, \({\mathrm{Quality}}_{jit}\) represents the outcome variable for academic achievements (Chinese test grades and mathematics test grades) of the child \(j\) born to woman \(i\) in year \(t\). In this specification, we further control for children’s education level (\({\mathrm{Edu}}_{1}\) equals 1 if in elementary school, \({\mathrm{Edu}}_{2}\) equals 1 if in junior school, and \({\mathrm{Edu}}_{3}\) equals 1 if in senior school), number of children already born (\({M}_{1}\)), and proportion of male children in households (\({M}_{2}\)). The definitions of other variables and coefficients are the same as those described in Eq. (8).
The assumption of parallel trends
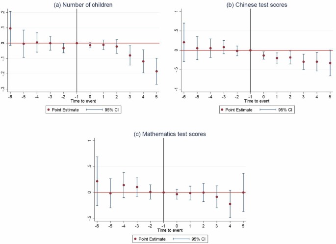
The validity of the identified strategy relies on the parallel trend assumption that in the absence of non-farm employment experienced by the woman, the fertility outcomes would follow a similar trend between employed (participants) and unemployed (non-participants) women. To test whether the assumption of parallel trends is violated, an analysis of children’s outcome trends before and after women’s non-farm employment participation is conducted using a standard event study framework that includes individual- and household-level controls. Theoretically, if the quantity and quality of children are not affected by anything other than the women’s employment, or only affected by common factors, then we would expect all estimates observed in the pre-treatment period (time to event ranging from −6 to −2) to be close to zero.
We provide the graphical evidence for the estimated coefficients from the specifications of Eqs. (8) and (9), as displayed in Fig. 1. The Figure plots the TWFE estimates for each period, representing the trends over time in the differences in children’s outcomes between employed and employed women. First, the trends in the number of children and Chinese test grades are close to zero before women’s participation in non-farm employment (in the pre-treatment period), and the 95% confidence interval corresponding to each coefficient also encompasses the value of zero. Second, following women’s employment participation, it is evident that both the number of children and Chinese test grades have declined over the course of the post-treatment period. Third, in contrast, the trend in mathematics test grades remains relatively stable both prior to and following the employment participation, with the estimates not deviating significantly from zero. These results suggest that the potential confounding factors do not affect the trends observed between the employed and unemployed groups, and that the effects on child quantity and quality are not driven by differences in trends among women with and without a non-farm job.
This figure includes three Panels, which are "(a) Number of children", "(b) Chinese test scores", and "(c) Mathematics test scores". Robust standard errors are used in regression models. All regression models include control variables as described in Eqs. (8) and (9). Confidence intervals are set to a 95 percent level.
Results
Descriptive statistics
Table 2 reports the descriptive statistics for the characteristics of the wife, husband, and household, alongside a t-test for testing the difference between women’s non-farm employment status. In the total sample, the majority of rural couples are middle-aged and have an education level below elementary school, which reflects the labor force characteristics of an aging population and insufficient human capital in rural areas. Among other demographics, wives and husbands tend to exhibit some degree of assortative mating. This is reflected in the couples having similar health status, as well as similar coverage of public pension and health insurance. For household characteristics, more than 50% of households reported that their firstborn child was a boy, while only 8.8% of households rented out their cultivated land to others. The mean values of transfer income and household assets are 3574 RMB and 254550 RMB, respectively.
The t-test suggests a highly significant difference in covariates with respect to the employment participation status. Both wives and husbands in the participant group are younger and tend to have a higher education level and better health than those in the non-participant group. The proportion of firstborn child being a boy is significantly lower among households in which women have participated in the non-farm labor market, and these households are also more likely to rent out their cultivated land, and have more transfer income and household assets. The observed differences in the characteristics of the participant and non-participant groups could reveal the potential factors that confound the effects of women’s non-farm employment. We will examine this association more formally below by taking possible confounding factors into account.
Estimation results for the impacts on child quantity and quality
In this section, we present the estimation results regarding child quantity and quality, obtained by estimating the TWFE model with adjustments for a series of covariates, as defined in Eqs. (8) and (9). Results in model (1) show that women’s non-farm employment is significantly and negatively associated with the actual number of children; the estimated treatment effect is 0.139 fewer children for rural women who are engaged in non-farm employment compared to those who are not. Previous studies have also shown a negative association between female employment and fertility in rural China. For instance, Fang et al. (2013) used an instrumental variable (IV) approach and found that female participation in employment reduces their preferred number of children by 0.35 on average and actual number of children by 0.50. However, the magnitude of the estimated coefficient from our TWFE models is smaller than that obtained by Fang et al. (2013), who used an IV model to address the endogeneity problems. One explanation for this difference is that the IV estimates identify a local average treatment effect for women who change their fertility decisions as a result of a shift in employment participation determined by exogenous instruments, while the estimates from TWFE reflect the average treatment effect by considering the entire population.
Turning to look at the impacts on academic achievements of children, results in models (2) and (3) show large differential effects. The participation of women in non-farm employment has been demonstrated to be associated with a decline in children’s Chinese test grades, with an observed decrease of 0.124 points. In contrast, employment has no significant effect on children’s mathematics test grades, and the magnitude of the coefficients is much smaller. This may be due to variations in the amount of time mothers spend with their children, as well as differences in the features of academic learning. On the one hand, learning Chinese relies heavily on daily interactions, storytelling, shared reading, and vocabulary-rich conversations, which mothers often provide at home. However, if mothers work long hours outside the home, this language environment may weaken, reducing children’s opportunities to practice and develop their language skills. On the other hand, mathematical skills are more structured and school-based, taught primarily through formal instruction and practice exercises. Therefore, while maternal employment reduces time spent on home learning, its effect on mathematics learning is weaker because it is less dependent on daily parental input. The reasons for this discrepancy will be examined in the subsequent section on mechanism analysis.
Next, we analyze the long-term effects of women’s non-farm employment on child quantity and quality, based on the estimates from Fig. 1. In Panel (a) that examines the effect on number of children, the coefficients are small and insignificant before the women’s non-farm employment participation, whereas a negative effect on number of children becomes apparent and grows in magnitude after the participation. Ultimately, the actual number of children born to women is shown to be significantly reduced by between 0.1 and 0.2 in the last two periods following non-farm employment experienced by the woman. In Panel (b), we also find a long-term effect on the child’s Chinese test grades. Children experience a 0.133-point immediate decline in Chinese test grades following their mothers’ employment participation, with this negative effect persisting and intensifying over time, extending for at least five periods in our longest observation. The estimates for children’s mathematics test grades, as shown in Panel (c), are found to be insignificant and close to zero, regardless of the participation in non-farm employment by women.
Robustness checks
In addition to the specification checks for the assumption of parallel trends, we carry out several additional robustness checks. We first expand the study sample by including unmarried women. Since fertility decisions are likely to be determined by women’s marital and parental status, we categorize the female population into three groups using three dummy variables: unmarried, married without children, and married with children. Table 9 shows the sample distribution pattern of the three groups of women. As can be seen, the proportion of unmarried women is significantly lower among participants in non-farm employment, while the proportions of married women with and without children are significantly higher. Furthermore, we re-estimate the TWFE model including two dummy variables for married women with and without children, which account for the effect of women’s marital and parental status. As shown in Model (2) of Table 3, the estimated coefficient on women’s off-farm employment indicates a decrease of 0.059 in the number of children. This is slightly lower than the effect obtained from the estimation in Mode (1) of Table 4. As previously stated, including unmarried women may introduce some individuals who are currently pursuing education, which, to some extent, leads to an underestimation of the impact on fertility. Nevertheless, the estimated effect remains significantly negative, indicating that the fertility-reducing effect is robust to the inclusion of the unmarried population.
We next examine the fertility effect based on a comprehensive analysis of employment histories for rural women beyond childbearing age. Due to the data limitations in CFPS, we run this complementary analysis using the life history sample from the China Health and Retirement Longitudinal Study (CHARLS), which is a nationally representative sample of the Chinese population aged 45 and above. Since each female respondent was asked about information spanning her entire lifetime, the number of children born to a woman is complete. We use information on whether women have ever engaged in non-farm work in their past employment history to measure the non-farm employment status. Additionally, we created a categorical variable representing the number of non-farm jobs that women had undertaken throughout their employment history, in order to examine how different frequencies of non-farm employment influence fertility outcomes. A total of four options are available for this categorical variable: 0 = never, 1 = one, 2 = two, and 3 = three or more. The respective prevalence rates are 74.6%, 17.5%, 5.2% and 2.7%. Estimation results are reported in Table 5. Women who have ever participated in non-farm employment experience a reduction of 0.16 children in their lifetime fertility, which is similar to the estimates obtained from the CFPS sample (see Table 4). Moreover, the effects of different employment frequencies also exhibit heterogeneity. Engaging in one or two non-farm jobs has a significantly negative impact on female fertility, whereas engaging in three or more jobs shows no significant effect.
Given that women’s non-farm employment may be subject to endogenous threats, we conduct robustness checks using an IV approach. In light of the previous studies (Shen et al., 2023), distance to the nearest county (km) and proportion of female non-farm work in the village are used as instruments for women’s non-farm employment. The rationale for the instrument selection is that these instruments are highly correlated with the convenience of access to information and labor markets, as well as the cost of participating in employment, while they are not influenced by individual behaviors of childbearing and childcare. The two-stage least squares (2SLS) technique is applied, and the results of the first-stage regression are reported in Table 10. The estimated coefficients on distance to the nearest county are significant and negative for all models, implying that rural women are less likely to participate in the non-farm labor market if they live in a village far from the county. The proportion of female non-farm work is shown to be a strong predictor of the likelihood of employment participation, as evidenced by the significant and positive coefficients on the instrument. The value of the first-stage F statistic in each model is greater than the value of 10 for weak instrument identification, indicating that our instruments are not weak. We further examine the exogeneity of the instruments by implementing a balance test. This involves regressing distance to the nearest county and proportion of female non-farm work (dependent variables) on a series of village characteristics (independent variables). As presented in Table 11, these village indicators show no significant relationship with the instruments. We also conduct an F-test to examine the joint significance of the coefficients, and the results are not significant, with the p values much higher than 0.05. These results imply that the variation in instruments is not determined by the socioeconomic characteristics of the village.
Table 6 presents the estimation results from the 2SLS regression model. Looking at the effect on child quantity, Model (1) reveals a negative and significant relationship between women’s non-farm employment and the number of children. Participation in employment has been found to reduce the number of children by 0.613. This finding is consistent with the research of Shen et al. (2023), who also employed an IVs approach and found that employment participation among Chinese rural women reduced their desired number of children by 0.821. Regarding the effect on child quality, Models (2) and (3) do not indicate a significant relationship in both Chinese and mathematics test grades, although the signs of the coefficients remain negative. One possible reason is that the reduction in the number of observations leads to insufficient sample information and tends to have lower estimation efficiency.
Mechanism analysis
To further interpret these findings, we analyze several possible mechanisms through which women’s non-farm employment impacts the quantity and quality of children. It is worth noting that the number of observations corresponding to each mechanism variable in the regression model varies due to missing records for these variables across different survey years. While the number of observations used by each regression model differs, the sample size remains relatively large, ensuring the precision of the estimation results.
Here, we first examine the underlying mechanisms responsible for a decrease in the number of children by estimating the effects of women’s non-farm employment on their fertility desires, son preferences, traditional norms, and gender roles. Fertility desires are measured by the desired number of children, and son preferences are defined by the desired number of male children. Traditional norms are measured by how respondents evaluate the statement, “To carry on the family line, a person should have at least one son.” (1 = “strongly disagree” to 5 = “strongly agree”). The variable for gender roles is created based on respondents’ evaluation of the statement, “Men should take responsibility for their careers, while women should take responsibility for their families.” (1 = “strongly disagree” to 5 = “strongly agree”).
Table 7 reports the estimation results for the mechanisms associated with changes in child quantity. Models (1) and (2) show that the participation of women’s non-farm employment leads to a decrease of 0.130 in the desired number of children and 0.119 in the desired number of male children. Similarly, Models (3) and (4) imply a negative effect of non-farm employment on levels of agreement with respect to traditional norms and gender roles. These results suggest that engaging in non-farm work contributes to a shift among rural women from traditional gender norms to a more egalitarian attitude toward gender roles. This significant change in fertility attitudes helps to explain the fact that women have fewer children after entering the non-farm labor market.
The other mechanism we examine is based on the impacts on child quality, which depends on which of the two effects, economic investment in children’s human capital or maternal time spent on childcare and supervision, is dominant. In order to explore this mechanism, the TWFE model is estimated for the effect of women’s non-farm participation on children’s education expenditures, hours of childcare, and frequency of assignment checks. Education expenditures represent the total spending paid for each child’s education, both within and outside of school, over the past year. The variable for hours of childcare refers to the number of hours per day that a mother spends caring for her child. Assignment checks are measured by the frequency with which the mother checks each child’s assignment (1 = never, 2 = once a month, 3 = once a week, 4 = two to four times a week, 5 = five to seven times a week).
The estimation results are reported in Table 8. Model (1) shows that female employment is associated with an increase of 352.9 RMB in a child’s educational expenditure. This implies a positive income effect, whereby women’s non-farm employment enhances a household’s financial capacity and enables greater investment in children’s education. Meanwhile, Models (2) and (3) demonstrate a significant reduction in the number of hours spent on childcare and the frequency of assignment checks as a result of non-farm employment. In particular, mothers’ weekly hours spent caring for children decrease by 2.171 when participating in non-farm work. While female employment positively impacts investment in children’s education, it also comes at the cost of reduced time spent with children. This is particularly true during the early stages of a child’s development, when the loss of maternal time with children may outweigh the income benefits.
Discussion and conclusion
Despite a substantial body of research investigating the relationship between individual employment and fertility, there is less evidence on how female employment influences the trade-off between the quantity and quality of children in the context of developing countries. This paper aims to address a gap in the existing literature by examining the impact of women’s non-farm employment on child quantity and quality among rural families in China. Based on nationally representative household survey data, we adopt the TWFE model to identify the causality and check the robustness of the results with different methods, such as accounting for women’s marital and parental status, conducting life-history analyses, and applying an IV approach. The outcome variables for child quantity and quality are measured by the actual number of children born to women and children’s academic achievements (Chinese and mathematics test grades). To gain insight into the underlying mechanisms, we direct our attention to a series of impact pathways, including fertility desires, son preferences, traditional norms, gender roles, education expenditures, hours of childcare, and assignment checks.
Our results suggest that the participation of non-farm employment by rural women causes a significant decrease in the actual number of children. This finding is consistent with prior research implying an adverse association between female employment and fertility (Sander, 1986; Fang, 2013; Van den Broeck and Maertens, 2015; Shen et al., 2023). Our paper further confirms that, in addition to static effects, the employment-fertility relationship exhibits a dynamic pattern. A long-term decline in fertility has been observed, with a significant decrease in the number of children over time following women’s participation in the non-farm labor market. Mechanism analysis indicates that the decline in female fertility is primarily attributable to a weakening of son preferences and traditional fertility norms. It is well acknowledged that a higher opportunity cost of childbearing is the main cause of low fertility among employed adults. The findings of this study demonstrate that the fertility-reducing effect of employment is not solely driven by economic factors, but is also due to the cultural evolution from a traditional to a more egalitarian attitude towards gender roles. We note that presently, some advanced industrial nations (e.g., Northern Europe) have both high female labor force participation and relatively high fertility levels (Brewster and Rindfuss, 2000). One important reason is that these countries provide a greater range of publicly funded family services than developing countries, which have poorly functioning social security systems and limited childcare services (Hilgeman and Butts, 2009). Since there are few social supports for family needs, women in non-farm work may face conflicts between family and work roles and limit or postpone childbearing. This is particularly evident in rural China, where female non-farm employment is increasing while fertility is declining due to the absence of family-friendly or work-family policies.
Additionally, we find no evidence for the positive effect of female employment on children’s academic achievements; the economic benefits generated by mothers’ participation in the non-farm market do not contribute to improvements in their children’s Chinese and mathematics test grades. On the contrary, female employment has been shown to negatively impact children’s academic achievements a certain extent. This adverse effect is particularly pronounced in Chinese language learning and manifests as a long-term and persistent consequence. Results from the mechanism analysis indicate that non-farm employment significantly reduces the number of hours mothers spend caring for their children and the frequency of supervision. This implies that the absence of childcare due to maternal employment should not be disregarded, particularly during children’s early developmental stages, as it is directly related to their human capital accumulation and overall well-being.
Industrialization is a prominent feature in the developing world, where a considerable amount of rural female labor has transitioned from agricultural to non-agricultural sectors. Based on our analysis of national survey data from China, we find that women’s non-farm employment leads to a significant reduction in child quantity and a decline in child quality, particularly with regard to academic achievements. These findings, in context with the universal three-child policy and rural revitalization strategy in China, show that relevant supportive measures are needed to assist rural women in effectively balancing work and family relationships. Such measures may alleviate the adverse effects of non-farm employment on child welfare outcomes and promote the coordinated development of rural populations and economic development.
Data availability
The data used in this study come from the China Family Panel Studies (CFPS) and the China Health and Retirement Longitudinal Study (CHARLS), both administered by the Institute of Social Science Survey (ISSS) at Peking University. These datasets are openly accessible to qualified users through the official CFPS website (https://www.isss.pku.edu.cn/cfps/en/index.htm) and the CHARLS website (https://charls.pku.edu.cn/en/) upon application. In accordance with the data-use agreements, users are strictly prohibited from disclosing, publishing, or distributing any part of the original or processed microdata. Therefore, we are not permitted to share the data directly. However, the data are available upon request and with the permission of ISSS at Peking University. To facilitate replication, we also provide the data-processing and analysis code at: https://doi.org/10.7910/DVN/AET8VH.
Notes
Data source: International Labour Organization (ILO), ILOSTAT database.
References
Adser A (2004) Changing fertility rates in developed countries: the impact of labor market institutions. J Popul Econ 17:17–43. https://doi.org/10.1007/s00148-003-0166-x
Ahn N, Mira P (2002) A note on the changing relationship between fertility and female employment rates in developed countries. J Popul Econ 15:667–682. https://doi.org/10.1007/s001480100078
Auer W, Danzer N (2016) Fixed-term employment and fertility: evidence from German micro data. CESifo Econ Stud 62:595–623. https://doi.org/10.1093/cesifo/ifv014
Becker GS (1960) An economic analysis of fertility. Demographic and economic change in developed countries. Natl Bur Econ Res 209:240
Becker GS, Lewis HG (1973) On the interaction between the quantity and quality of children. J Polit Econ 81:S279–S288
Boldrin M, De Nardi M, Jones LE (2015) Fertility and social security. J Demogr Econ 81:261–299. https://doi.org/10.1017/dem.2014.14
Brewster K, Rindfuss R (2000) Fertility and women’s employment in industrialized nations. Annu Rev Sociol 26:271–296. https://www.jstor.org/stable/223445
Budig MJ (2003) Are women’s employment and fertility histories interdependent? An examination of causal order using event history analysis. Soc Sci Res 32:376–401. https://doi.org/10.1016/S0049-089X(03)00012-7
Deleire T, Lopoo LM, Simon KI (2011) Medicaid expansions and fertility in the United States. Demography 48:725–747. https://doi.org/10.1007/s13524-011-0031-6
Fang H, Eggleston KN, Rizzo JA, Zeckhauser RJ (2013) Jobs and kids: female employment and fertility in China. IZA J Labor Dev 2:12. https://doi.org/10.1186/2193-9020-2-12
Hilgeman C, Butts CT (2009) Women’s employment and fertility: a welfare regime paradox. Soc Sci Res 38:103–117. https://doi.org/10.1016/j.ssresearch.2008.08.005
Kalwij AS (2000) The effects of female employment status on the presence and number of children. J Popul Econ 13:221–239. https://doi.org/10.1007/s001480050135
Kousar R, Abdulai A (2016) Non-farm work, land tenancy contracts and investment in soil conservation measures in rural Pakistan. Aust J Agric Resour Econ 60:307–325. https://doi.org/10.1111/1467-8489.12125
Lanjouw JO, Lanjouw P (2001) The rural non-farm sector: issues and evidence from developing countries. Agric Econ 26:1–23. https://doi.org/10.1111/j.1574-0862.2001.tb00051.x
Mincer J (1963) Market prices, opportunity costs and income effects. In C. Christ (Ed.), In: Measurement in economics: studies in mathematical economics in honor of Yehuda Grunfeld. Stanford, California: Stanford University Press, pp 67–82
Oliveira J (2016) The value of children: inter-generational support, fertility, and human capital. J Dev Econ 120:1–16. https://doi.org/10.1016/j.jdeveco.2015.12.002
Sander W (1986) Farm women, work, and fertility. Q J Econ 101:653–658. https://doi.org/10.1108/CAER-12-2016-0194
Shen Z, Parker M, Brown D, Fang X (2017) Effects of public health insurance on labor supply in rural China. China Agric Econ Rev 9:623–642. https://doi.org/10.1108/CAER-12-2016-0194
Shen Z, Brown DS, Yu K (2023) Does female off-farm employment affect fertility desire? Evidence from rural China. China Agric Econ Rev 15:278–301. https://doi.org/10.1108/CAER-03-2022-0042
Shreffler KM (2016) Contextual understanding of lower fertility among US women in professional occupations. J Fam Issues 38:204–224. https://doi.org/10.1177/0192513X16634765
United Nations, Department of Economic and Social Affairs, Population Division (2019) World Urbanization Prospects: The 2018 Revision (ST/ESA/SER.A/420). United Nations, New York
Van den Broeck G, Maertens M (2015) Female employment reduces fertility in rural Senegal. PLoS ONE 10:e0122086. https://doi.org/10.1371/journal.pone.0122086
Van den Broeck G, Kilic T (2019) Dynamics of off-farm employment in Sub-Saharan Africa: a gender perspective. World Dev 119:81–99. https://doi.org/10.1016/j.worlddev.2019.03.008
Wang Y, Shen Z, Liu W, Liu Y, Tang B (2024) Will the situation of left-behind children improve when their parents return? Evidence from China. Child Youth Serv Rev 164: 107856. https://doi.org/10.1016/j.childyouth.2024.107856
Willis RJ (1973) A new approach to the economic theory of fertility behavior. J Polit Econ 81:S14–S64
Zhang L, Dong Y, Liu C, Bai Y (2018) Non-farm employment over the past four decades in rural China. China Agric Econ Rev 10:190–214. https://doi.org/10.1108/CAER-11-2017-0212
Zheng X, Wang C, Shen Z, Fang X (2020) Associations of private tutoring with Chinese students’ academic achievement, emotional well-being, and parent-child relationship. Child Youth Serv Rev 112: 104934. https://doi.org/10.1016/j.childyouth.2020.104934
Zheng X, Shangguan S, Shen Z, Yang H (2023) Social pensions and children’s educational outcomes: the case of New Rural Pension Scheme in China. J Fam Econ Issues 44:502–521. https://doi.org/10.1007/s10834-022-09850-3
Acknowledgements
This work was supported by the Humanities and Social Science Fund of the Ministry of Education of China "The Impact of Childbirth Subsidies on the Quantity and Quality of Children in Rural Households: Theoretical Analysis, Empirical Testing, and Policy Optimization" [Grant Number: 25YJC790085], 2025 Zhejiang Provincial Philosophy and Social Science Planning Departmental Collaborative Research Project (Women and Children Development Research) [Grant Number: 25BMHZ045YB], National Natural Science Foundation of China [Grant Numbers: 71903177 and 72003173], National Social Science Fund of China [Grant Number: 24BJL059], Zhejiang Provincial Natural Science Foundation of China [Grant Number: LMS25G030002], and the Zhejiang Provincial Soft Science Research Program [Grant Number: 2025C35021]. The funders had no role in study design, data collection and analysis, decision to publish, or preparation of the manuscript.
Author information
Authors and Affiliations
Contributions
Zheng Shen: conception and design, interpretation of data, drafting of the article, critical revisions; Xiaodong Zheng: conception and design, analysis and interpretation of data, drafting of the article.
Corresponding author
Ethics declarations
Competing interests
The authors declare no competing interests.
Ethical approval
This article does not contain any studies with human participants performed by any of the authors.
Informed consent
This article does not contain any studies with human participants performed by any of the authors.
Additional information
Publisher’s note Springer Nature remains neutral with regard to jurisdictional claims in published maps and institutional affiliations.
Rights and permissions
Open Access This article is licensed under a Creative Commons Attribution-NonCommercial-NoDerivatives 4.0 International License, which permits any non-commercial use, sharing, distribution and reproduction in any medium or format, as long as you give appropriate credit to the original author(s) and the source, provide a link to the Creative Commons licence, and indicate if you modified the licensed material. You do not have permission under this licence to share adapted material derived from this article or parts of it. The images or other third party material in this article are included in the article’s Creative Commons licence, unless indicated otherwise in a credit line to the material. If material is not included in the article’s Creative Commons licence and your intended use is not permitted by statutory regulation or exceeds the permitted use, you will need to obtain permission directly from the copyright holder. To view a copy of this licence, visit http://creativecommons.org/licenses/by-nc-nd/4.0/.
About this article
Cite this article
Shen, Z., Zheng, X. The impact of women’s non-farm employment on child quantity and quality. Humanit Soc Sci Commun 13, 152 (2026). https://doi.org/10.1057/s41599-025-06448-6
Received:
Accepted:
Published:
Version of record:
DOI: https://doi.org/10.1057/s41599-025-06448-6



