Abstract
The strong antibacterial, antiviral and anticancer activities demonstrated by quinolones make them promising lead structures and important synthetic targets for drug discovery. Here, we report, to the best of our knowledge, the first scalable total synthesis of antiviral (+)-aniduquinolone A, possessing a 3,4-dioxygenated 5-hydroxy-4-aryl-quinolin-2(1H)-one skeleton. This synthetic strategy explores E-stereoselective Horner–Wadsworth–Emmons (HWE) olefination as the key step to assemble isopropenyl substituted tetrahydrofuran onto the 3,4-dioxygenated 5-hydroxy-4-aryl-quinolin-2(1H)-one core, which is built by highly diastereoselective intramolecular aldol reaction. Moreover, two sets of stereoisomers of aniduquinolone A with substantially overlapping NMR data were synthesized completely and assigned unambiguously by comprehensive analysis of both their spectroscopic and X-ray diffraction data. Unexpectedly, aflaquinolones A, C, and D that feature different 2,4-dimethyl cyclohexanone moieties were transformed successfully from (+)-aniduquinolone A by treating with TFA. The methodology delineated herein can be applied broadly to the synthesis of natural alkaloids containing the core structure of 3,4-dioxygenated 5-hydroxy-4-aryl-quinolin-2(1H)-one.
Similar content being viewed by others
Introduction
Natural products (NPs) have been holding the best options for finding bioactive scaffolds and serve as an inspiration for the development of new pharmaceuticals1,2,3. Approximately 50% of small-molecule drugs are derivates of or inspired by NPs1. Quinolones play a pivotal role in drug development as one of the key pharmacophore in modern drug design4,5,6. The 3,4-dioxygenated 5-hydroxy-4-aryl-quinolin-2(1H)-one alkaloids7 constitute a relatively new and steadily growing family of natural products with diverse biological properties, including cytotoxic8,9,10, antiviral11,12, antioxidant13, antifouling14, and anti-inflammatory15 activities. The structures of few representatives including aniduquinolones A (1) and B (2)16, yaequinolone F (3)17,18, aflaquinolones A–D (4–7)14,19, (+)-22-O-(N-Me-L-valyl)-aflaquinolone B (8) and (+)-22-O-(N-Me-L-valyl)-21-epi-aflaquinolone B (9)11 are depicted in Fig. 1. These alkaloids possess a 3,4-dioxygenated 5-hydroxy-4-aryl-quinolin-2(1H)-one core fused to C10 isoprenoid motif, which is rare in nature7.
Representatives of the 3,4-dioxygenated 5-hydroxy-4-aryl-quinolin-2(1H)-one alkaloids.
Despite possessing promising biological properties and synthetically attractive motifs, relatively few of these alkaloids especially those with a C-6 side chain containing an isoprenyl derived (C5 or C10) unit have been prepared by total synthesis (Fig. 2a)20,21,22,23,24,25. Simonetti and co-workers developed a convenient way to install 6-propenyl side chain by Claisen rearrangement of 5-O-allyl in the heterocycle21. Similar reaction was also used in the construction of unsaturated pyran fragments in yaequinolones J1 and J226 by Vece and co-workers22, as well as the synthesis of aniduquinolone C and peniprequinolone by Christmann’s group23. Recently, Christmann’s group24 developed the tandem Knoevenagel electrocyclization to further optimize the assembly of pyran fragments in yaequinolones J1 and J2. In 2021, the group of Fernández-Ibáñez25 successfully synthesized yaequinolone-related natural products by late-stage C−H olefination to introduce C-6 side chains. Although the feasibility of generating the above members of this family on a milligram scale was demonstrated over the past decade, the ultimate challenge of procuring large quantities of these alkaloids has yet to be met. To the best of our knowledge, there have been no report to date for the total synthesis of aniduquinolone A (1).
a Previous synthetic routes of the 3,4-dioxygenated 5-hydroxy-4-aryl-quinolin-2(1H)-one containing alkaloids. b Retrosynthesis of (+)-aniduquinolone A (1).
Herein, we present an efficient and scalable approach to construct this family of natural products by introducing an E-stereoselective Horner–Wadsworth–Emmons (HWE) olefination to link an isoprenoid motif with 3,4-dioxygenated 5-hydroxy-4-aryl-quinolin-2(1H)-one core. Furthermore, we describe the first total synthesis of (+)-aniduquinoline A (1) on a gram scale and its unexpected acid-catalyzed rearrangement to form the natural aflaquinolones (4–6) possessing different 2,4-dimethyl cyclohexanone moieties.
Results and discussion
Retrosynthetic analysis
The retrosynthetic analysis of (+)-aniduquinoline A (1) in a collective fashion is shown in Fig. 2b. The focus of our synthetic strategy is scalability with the aim to prepare reasonable amount of 1. The 3,4-dioxygenated 5-hydroxy-4-aryl-quinolin-2(1H)-one core of target molecules was envisioned to be obtained rapidly by a diastereoselective intramolecular glycolate aldolization20 of N-glycolated 2-amino-benzophenone 10. We speculated that this precursor could be derived from the reduction and amidation of benzophenone 11, resulting from the E-stereoselective HWE reaction27 of phosphonate 12 and aldehyde 13. It should be mentioned that such strategy towards the construction of E olefins in this family of natural products would improve the efficiency of their synthesis dramatically. The phosphonate 12 could be furnished from the radical-mediated bromination and Arbuzov reaction of benzophenone 14, which could readily be prepared from the commercially available 2-methyl-5-nitrophenol 15. Furthermore, the substituted trans-tetrahydrofuran aldehyde 13 could arise from diol 16, which in turn could be accessed from neryl acetate 1728.
Scalable total synthesis of (+)-aniduquinolone A
The synthesis started with the commercially available 2-methyl-5-nitrophenol 15, which was submitted to a Duff formylation21 with hexamethylenetetramine (HMTA) in CF3COOH at 90 °C for 12 h, affording the expected aldehyde 18 in 70% yield (Fig. 3). Subsequently, compound 19 was prepared via the reaction of phenylmagnesium bromide with aldehyde 18 (62.0 g scale). No branched side product was detected during this transformation. Pyridinium chlorochromate (PCC) oxidation29 of secondary alcohol 19 afforded the corresponding ketone 14. The structure of 14 was further confirmed by single-crystal X-ray analysis (Supplementary Fig. 1 and Supplementary Data 2). The unprotected hydroxyl group in 14 was converted into a MOM ether derivative. The radical-mediated bromination of methoxymethyl (MOM)-protected 14 in the presence of NBS with a catalytic amount of AIBN failed to produce any desired product. Gratifyingly, the radical-mediated bromination of 20 under basic condition furnished bromoester that was reacted directly with an excess of triethyl phosphite and delivered the desired phosphonate 21 in 72% yield (15.0 g scale)30.
Reagents and conditions: a HMTA (1.2 equiv), TFA, 90 °C, 12 h, 70%; b phenylmagnesium bromide (2.0 equiv), THF, −20 °C, 2 h, 91%; c PCC (1.0 equiv), CH2Cl2, 0 °C, 4 h, 80%; d H2SO4, (CH3CO)2O/CH2Cl2 (1:2), 0 °C to rt, 12 h, 89%; e NBS (1 equiv), AIBN (0.05 equiv), CCl4, 80 °C, 24 h; f P(OCH2CH3)3 (4 equiv), 1,4-dioxane, 120 °C, 8 h, 72% (two steps); g K2CO3 (1.2 equiv), MeOH, rt, 1 h; h MOMCl (1.5 equiv), DIPEA (2 equiv), 0 °C to rt, 2 h, 76%(two steps); i NaH (1.2 equiv), THF, 0 °C, 2 h, 78%; j Fe (4.0 equiv), NH4Cl (2.0 equiv), EtOH/H2O (1:1), 30 °C, 6 h, 92%; k DIPEA (2.0 equiv), methoxyacetyl chloride (1.5 equiv), CH2Cl2, 0 °C, 2 h; l KOtBu (10.0 equiv), THF, 0 °C, 1 h, 80% (d.r. 1:1, two steps); m 3 M HCl, THF, rt, 30 min, 54%; n NaIO4 (2.0 equiv), THF/H2O (2:1), rt, 30 min, 73%. HMTA hexamethylenetetramine, TFA trifluoroacetic acid, THF tetrahydrofuran, PCC pyridinium chlorochromate, NBS N-bromosuccinimide, AIBN azodiisobutyronitrile, MOMCl methoxymethyl chloride, DIPEA diisopropylethylamine, KOtBu potassium tert-butylate.
With ample amounts of key intermediate 21 in hand, we then focused our attentions on the asymmetric synthesis of the important aldehyde 13. To achieve this goal, the known diol 16 was obtained by stereospecific elimination-cyclization of 1-iodomethyl-1,5-bis-epoxides, and its structure and absolute configuration were assigned based on published literature28. As we expected, the oxidation of intermediate 16 by NaIO4 afforded the desired aldehyde 13 (5.0 g scale).
With key fragments 13 and 21 in place, their assembly into (+)-aniduquinolone A (1) was embarked. The stereoselective HWE reaction of aldehyde 13 with phosphonate 21 proved to be more problematic than anticipated. While initial trials using phosphonate having the acetoxy group 21 with aldehyde 13, failed to produce any desired product and only the product with protecting group removed was obtained. This result suggested that the protection strategy proved to be challenging because a robust protecting group was necessary during the synthetic route. At this juncture, conditions for the HWE reaction27 to construct the E olefins needed to be developed. Reaction conditions for the key olefination were investigated using 21, 21a and 12 as substrates (Table 1). Fortunately, we discovered eventually that MOM protected phosphonate 12 underwent olefination smoothly and afforded the desired product 11 in 78% yield with no detection of the corresponding Z-isomer (Table 1, entry 3, 3.9 g scale, E/Z = 100:0).
With the scalable formation of 11 secured, subsequent reduction of the nitro group was performed in the presence of Fe powder22 (3.9 g scale). The resulting aromatic amine 22 together with a diastereomer (1:1.2) was obtained. We anticipated that the desired product 22 could be produced in higher yield at low temperature while reducing the diastereomer31. Working on this hypothesis, the initial trials were screened by varying the reaction temperature from 80 to 30 °C. To our delight, when the reaction temperature was at 30 °C, the desired aromatic amine 22 was isolated in 92% yield (3.3 g scale) with very high diastereoselectivity (d.r. > 20:1). Treatment of the resulting aromatic amine 22 with methoxyacetyl chloride afforded the amide 10. At this stage, compound 10 bears all the necessary carbon atoms present in (+)-aniduquinolone A (1).
We then moved to the stage to complete the total synthesis. We investigated an intramolecular aldol reaction to forge the 3,4-dioxygenated 5-hydroxy-4-aryl-quinolin-2(1H)-one core. The crude amide 10 (not purified) was directly treated with potassium tert-butoxide in THF at 0 °C to initiate the aldol cyclization and provided diastereomeric 23 and 23a in a ratio of 1:1 and in 80% yield over two steps (3.0 g scale)20,21,22,23,24,25. The more stable Z-enolate is presumably responsible for the observed diastereoselectivity32. After many attempts, the two diastereoisomeric aldol products 23 and 23a were separated successfully from one another by recrystallization in MeOH. Finally, the deprotection of MOM group of 23 with 3 M HCl afforded (+)-aniduquinolone A (1) (54% yield of isolated product). The synthetic (+)-aniduquinolone A gave spectral characteristics (1H- and 13C-NMR spectroscopy and HRMS data) consistent with those of the natural occurring (+)-aniduquinolone A, and its optical rotation is also in agreement perfectly with that of the natural product (synthetic: [α]D20 = + 56.0 (c = 0.7 in MeOH); natural: [α]D20 = + 50.0 (c = 0.1 in MeOH)16. Finally, the structure of synthetic material was confirmed by X-ray single crystal analysis (Supplementary Fig. 2 and Supplementary Data 1).
Two sets of interesting diastereoisomers (compounds 1/26, 25/27) with substantially overlapping NMR data
We envisioned that the aldol reaction would create a pair of intermediates (23 and 23a) with identical absolute configurations in tetrahydrofuran fragment and mirrored absolute configurations in quinolinone core. Ultimately, the desired 1 and ent-26 would be obtained by deprotection of 23 and 23a, respectively. However, treating 23 with 3 M HCl delivered a 1.4:1 ratio of (+)-aniduquinolone A (1) and its C-19 or C-22 epimer (25 or 27) in 95% yield (Fig. 4). The same transformation was also observed in the deprotection of 23a. It should be mentioned that the relative configurations of 25 and 29 could be assigned directly by the selective NOE experiments, but their absolute configurations would still be unresolved. Recently, aniduquinolone A (1) and its inseparable C-22 epimer aniduquinolone D as mixtures were reported from the endophytic fungus Aspergillus versicolor strain Eich.5.2.233. It should be emphasized that the absolute configuration of aniduquinolone D was arbitrarily determined by examination of ROESY spectrum and comparison with the reported NMR spectral data of aniduquinolone A in a mixture.
With 12 as the common intermediate, the syntheses of 1 and 25–31 were achieved.
At this juncture, we attempted to synthesize aniduquinolone D with 3S, 4S, 19R, 22S configurations and to determine the absolute configurations of 25 and 29. The same end game was executed with similar yields by using the aldehyde 13a, and compounds 24 and 24a were successfully constructed. Deprotection of the MOM group furnished compounds 27, 31, and their epimers 26 and 30. To our surprise, the two compounds 25 and 27 have different retention times and substantially overlapping NMR data (Fig. 5). As far as we know, only a few edificatory examples of diastereoisomers with substantially overlapping 1H and 13C NMR data were reported34,35,36,37,38. The absolute configurations of C-3 and C-4 in quinolinone fragment could be determined by CD spectrum (Supplementary Figs. 4–6) regardless of the configuration of the furan fragment19. The relative configurations of the substituted tetrahydrofuran unit had been assigned directly by the selective NOE experiments. Thus, the absolute configurations of all synthesized compounds were confirmed. Fortunately, the structures of 1 and 29 were confirmed unambiguously by X-ray crystallographic analysis (Supplementary Figs. 2 and 3 and Supplementary Data 1 and 3). Finally, we proposed that 25 should be the true structure of aniduquinolone D.
The 1H NMR spectra of 1, 25, 26 and 27 from δ H 0 to 10 ppm; the 13C NMR spectra of 1, 25, 26 and 27 from δ C 0 to 180 ppm. The proton signals with obvious deviations between 1/26 and 25/27 are labelled: ☆, 0.1 ppm > |Δ δ| > 0.05 ppm; ▾, 0.05 ppm > |Δ δ| > 0.01 ppm; the carbon signals with obvious deviations between 1/26 and 25/27 are labelled: *, 1.0 ppm > |Δδ| > 0.5 ppm; ♦, 0.5 ppm > |Δδ| > 0.1 ppm.
In fact, we had noticed that MOM-protected intermediates 23 and 23a possessed substantially overlapping 1H/13C NMR data and the same J-coupling patterns, indicated a weak effect on the chemical shift caused by configurational changes of C-3 and C-4. The acid-inspired transformation led to two sets of diastereomeric compounds (1/26 and 25/27) with the same nuclear magnetic properties, which made the absolute configuration assignment extremely challenging. Having so many closely related stereoisomers in hand afforded unique opportunities for comparisons. How similar are these isomers? How can they be differentiated? We address these questions herein by comparing spectral and physical data of these stereoisomers with each other and with reported natural products data in literatures14,16.
Resonances in the 1H NMR and 13C NMR spectra of obtained stereo structures matched closely with each other (Fig. 5 and Supplementary Figs. 7 and 8). The compounds could be divided into two groups (compounds 1/26 and 25/27) based on the relative configurations of substituted tetrahydrofuran unit, which caused subtle differences in their 1H NMR data. Clear distinctions of the chemical shifts of two trans double bond protons (H-17 and H-18), an oxymethine proton (H-22) and protons of two methylenes (H2-20 and H2-21) were observed in both groups. Of note, compared with 1 and 26, the chemical shifts of H-17, H-18, and H-22 (the proton which has NOE correlation with CH3-26) in 25 and 27 moved downfield. By analysis of the chemical shift differences, the configurations of the substituted tetrahydrofuran units could be determined rapidly and conveniently.
With so many closely related stereoisomers (1, 25–31) and analogues (23, 23a, 24, and 24a) in hand, an efficient 1H NMR spectroscopic approach for determining the relative configurations of the substituted tetrahydrofuran was established. Compounds 1, 25, 26, and 27 were taken as an examples to give a subsequent conclusion. The values of ΔδH‑20 of 1, 25, 26, and 27 were shown (Supplementary Fig. 9). The H-22/CH3-26 trans compounds (1 and 26) showed a large value (Δδ ≥ 0.18 ppm); the H-22/CH3-26 cis compounds (25 and 27) showed a small value (Δδ ≤ 0.13 ppm). Moreover, compared with compounds 1 and 26, the chemical shifts of H-17, H-18, and H-22 in compounds 25 and 27 moved downfield. All these NMR characteristics delineated here were instructive to configurational determination of (+)-aniduquinolone A (1) and its stereoisomers.
The case of compounds 1/26 and 25/27 is thought-provoking. The two entirely segregated stereoclusters in aniduquinolones connected by the five-carbon bridge are far away from each other so that the steric and stereoelectronic interactions between them are entirely negligible34. The phenomenon of the molecules with substantially overlapping NMR data that may be also diastereoisomers can be explained well. In the structural elucidation, especially for the configurational assignments of molecules with multi-stereoclusters, it is good to be cautious when encountering the substantially overlapping NMR data.
Synthesis of aflaquinolones A, C, and D by the unexpected acid-catalyzed rearrangement
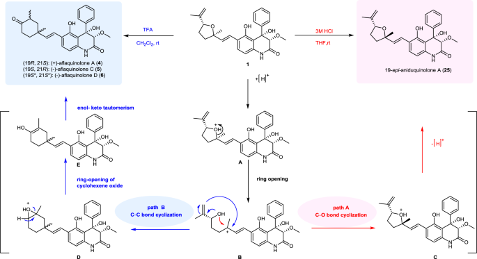
The transformation from 1 to 19-epi-aniduquinolone A (25) with 3 M HCl indicated that (+)-aniduquinolone A is unstable under acidic condition. Intrigued by this observation, we carried out additional studies to understand this transformation. To our surprise, when (+)-aniduquinolone A (1) was treated with TFA in CH2Cl2 at room temperature, aflaquinolone A (4), aflaquinolone C (5), aflaquinolone D (6), and 19, 21-epi-aflaquinolone D (32) were obtained in 70% combined yield (Fig. 6). Surprisingly, despite that aflaquinolone A (5) and aflaquinolone C (6) are epimers, all trials to separate them into individual component using different solvent systems by normal and reversed chromatography deemed impossible. Finally, the two diastereoisomers were separated by using chiral chromatography. The spectroscopic data of our synthetic samples were in good accordance with reported data of natural aflaquinolones A, C, and D (4–6)19.
The acid-catalyzed rearrangement from aniduquinolone A to 19-epi-aniduquinolone A and aflaquinolones.
To reach an understanding of unexpected acid-catalyzed rearrangement, a mechanism was postulated in Fig. 6. It was hypothesized that, under acidic conditions, (+)-aniduquinolone A (1) underwent a ring-opening reaction to form cationic intermediate B. On the one hand, cyclization of B took place to give 19-epi-aniduquinolone A (25) with an antiorientation between the methyl group at C-19 and the isopropeny group at C-22 by path A. The transformation delivered a 1.4:1 ratio of (+)-aniduquinolone A (1) and its C-19 epimer (25). On the other hand, the epoxidation of B then gave epoxide intermediate D by path B. Subsequent ring-opening of cyclohexene oxide afforded enol E, which itself underwent enol-keto tautomerism to produce aflaquinolones. To the best of our knowledge, the unprecedented transformation on such molecule has never been reported to date. Studies are underway to further understand the origin of this dramatic transformation.
Biosynthesis remains a rich source of inspiration for discovering new strategies and tactics in chemical synthesis39,40. In the biosynthesis of the 3,4-dioxygenated 5-hydroxy-4-arylquinolin-2(1H)-one alkaloids, investigation of the aspoquinolones A and B10, penigequinolones A and B and yaequinolone C17,18, yaequinolones J1 and J226, biosynthetic pathways have revealed a number of unique mechanisms involved in the formation of this family of natural products41,42,43. An unprecedented mechanism of iterative prenylation for installing the 10-carbon unit using two aromatic prenyltransferases (PenI and PenG) in the biosynthesis of this family of natural products has been identified41. Especially, Tang’s group42 discovered two Brønsted acid enzymes (PenF and AsqO) that can catalyze two unprecedented epoxide transformations that takes place under strong acid. Gratefully, several other members of this family natural products were synthesized by treating aniduquinolone A (1) with strong acid. The successful unprecedented acid-catalyzed rearrangement paves the way for the understanding of the biosynthetic relationships between aniduquinolones and aflaquinolones. And those natural products whose biogenetic pathways are unknown or have not been investigated in detail, synthetic chemistry can provide inspiration on future new biosynthetic pathways investigations.
Conclusion
In summary, we have accomplished the first scalable total synthesis of (+)-aniduquinolone A (1) starting from the commercially available 2-methyl-5-nitrophenol in 13 steps (the longest linear sequence) with an overall 3.9% yield. Two sets of interesting examples of diastereoisomers (compounds 1/26, 25/27) with substantially overlapping NMR data were synthesized and characterized unambiguously. Particularly, aflaquinolones A, C, and D (4–6) were obtained by treating (+)-aniduquinolone A (1) with TFA, and this dramatic transformation offered unprecedented insight into the biosynthetic pathways of aflaquinolones. Furthermore, the present synthetic strategy could inspire further advances in the synthesis of this family of natural products and undoubtedly lay a solid foundation to create analogue libraries. Biological studies and medicinal chemistry research of 1, as well as its analogues are currently underway in our laboratory, which will be reported in due course.
Data availability
The X-ray crystallographic coordinates for the structure of 1, 14, and 29 have been deposited at the Cambridge Crystallographic Data Centre (CCDC), under deposition number 2122872, 2122875, and 2122876. These data can be obtained free of charge from The Cambridge Crystallographic Data Centre via www.ccdc.cam.ac.uk/data_request/cif. Other data are available from the authors upon reasonable request. The CIF files of CCDC 2122872, CCDC 2122875, and CCDC 2122876 are also included as Supplementary Data 1–3.
References
Newman, D. J. & Cragg, G. M. Natural products as sources of new drugs over the nearly four decades from 01/1981 to 09/2019. J. Nat. Prod. 83, 770–803 (2020).
Clardy, J. & Walsh, C. Lessons from natural molecules. Nature 432, 829–837 (2004).
Harvey, A. L., Edrada-Ebel, R. & Quinn, R. J. The re-emergence of natural products for drug discovery in the genomics era. Nat. Rev. Drug Discov. 14, 111–129 (2015).
Michael, J. P. Quinoline, quinazoline and acridone alkaloids. Nat. Prod. Rep. 24, 223–246 (2007).
Muthukrishnan, I., Sridharan, V. & Menéndez, J. C. Progress in the chemistry of tetrahydroquinolines. Chem. Rev. 119, 5057–5191 (2019).
Bisacchi, G. S. Origins of the quinolone class of antibacterials: An expanded “Discovery Story”. J. Med. Chem. 58, 4874–4882 (2015).
Simonetti, S. O., Larghi, E. L. & Kaufman, T. S. The 3,4-dioxygenated 5-hydroxy-4-aryl-quinolin-2(1H)-one alkaloids. Results of 20 years of research, uncovering a new family of natural products. Nat. Prod. Rep. 33, 1425–1446 (2016).
He, J. et al. Diastereomeric quinolinone alkaloids from the marine-derived fungus Penicillium janczewskii. J. Nat. Prod. 68, 1397–1399 (2005).
Schmeda-Hirschmann, G., Hormazabal, E., Astudillo, L., Rodriguez, J. & Theoduloz, C. Secondary metabolites from endophytic fungi isolated from the Chilean gymnosperm Prumnopitys andina (Lleuque). World J. Microbiol. Biotechnol. 21, 27–32 (2005).
Scherlach, K. & Hertweck, C. Discovery of aspoquinolones A–D, prenylated quinoline-2-one alkaloids from Aspergillus nidulans, motivated by genome mining. Org. Biomol. Chem. 4, 3517–3520 (2006).
Chen, M., Shao, C. L., Meng, H., She, Z. G. & Wang, C. Y. Anti-respiratory syncytial virus prenylated dihydroquinolone derivatives from the gorgonian-derived fungus Aspergillus sp. XS-20090B15. J. Nat. Prod. 77, 2720–2724 (2014).
Shao, C. L., Wang, C. Y., Mou, X. F. & Xu, R. F. Alkaloids and their preparation and application as anti-HSV-1 agents. US Patent US10639303 (2020).
Wubshet, S. G. et al. Targeting high-performance liquid chromatography–high-resolution mass spectrometry–solid-phase extraction–nuclear magnetic resonance analysis with high-resolution radical scavenging profiles—Bioactive secondary metabolites from the endophytic fungus Penicillium namyslowskii. J. Chromatogr. A 1302, 34–39 (2013).
Shao, C. L. et al. Potent antifouling marine dihydroquinolin-2(1H)-one-containing alkaloids from the gorgonian coral-derived fungus Scopulariopsis sp. Mar. Biotechnol. 17, 408–415 (2015).
Dai, C. et al. Pesimquinolones produced by Penicillium simplicissimum and their inhibitory activity on nitric oxide production. Phytochemistry 174, 112327–112333 (2020).
An, C. Y. et al. 4-Phenyl-3,4-dihydroquinolone derivatives from Aspergillus nidulans MA-143, an endophytic fungus isolated from the mangrove plant Rhizophora stylosa. J. Nat. Prod. 76, 1896–1901 (2013).
Uchida, R. et al. Yaequinolones, new insecticidal antibiotics produced by Penicillium sp. FKI-2140. I. Taxonomy, fermentation, isolation, and biological activity. J. Antibiot. 59, 646–651 (2006).
Uchida, R., Imasato, R., Tomoda, H. & Omura, S. Yaequinolones, new insecticidal antibiotics produced by Penicillium sp. FKI-2140. II. Structural elucidation. J. Antibiot. 59, 652–658 (2006).
Neff, S. A. et al. Aflaquinolones A-G: Secondary metabolites from marine and fungicolous isolates of Aspergillus spp. J. Nat. Prod. 75, 464–472 (2012).
Li, X. Y., Huo, X., Li, J. P., She, X. G. & Pan, X. F. A concise synthesis of (±)-yaequinolone A2. Chin. J. Chem. 27, 1379–1381 (2009).
Simonetti, S. O., Larghi, E. L. & Kaufman, T. S. A convenient approach to an advanced intermediate toward the naturally occurring, bioactive 6-substituted 5-hydroxy-4-aryl-1H-quinolin-2-ones. Org. Biomol. Chem. 14, 2625–2636 (2016).
Vece, V., Jakkepally, S. & Hanessian, S. Total synthesis and absolute stereochemical assignment of the insecticidal metabolites yaequinolones J1 and J2. Org. Lett. 20, 4277–4280 (2018).
Schwan, J., Kleoff, M., Hartmayer, B., Heretsch, P. & Christmann, M. Synthesis of quinolinone alkaloids via aryne insertions into unsymmetric imides in flow. Org. Lett. 20, 7661–7664 (2018).
Schwan, J., Kleoff, M., Heretsch, P. & Christmann, M. Five-step synthesis of yaequinolones J1 and J2. Org. Lett. 22, 675–678 (2020).
Jia, W. L., Ces, S. V. & Fernández-Ibáñez, M. Á. Divergent total syntheses of yaequinolone-related natural products by late-stage C-H olefination. J. Org. Chem. 86, 6259–6277 (2021).
Uchida, R., Imasato, R., Shiomi, K., Tomoda, H. & Omura, S. Yaequinolones J1 and J2, novel insecticidal antibiotics from Penicillium sp. FKI-2140. Org. Lett. 7, 5701–5704 (2005).
Wadsworth, W. S. & Emmons, W. D. The utility of phosphonate carbanions in olefin synthesis. J. Am. Chem. Soc. 83, 1733–1738 (1961).
Marshall, J. A. & Chobanian, H. R. Synthesis of 2,5-disubstituted tetrahydrofurans by stereospecific elimination cyclization of 1-iodomethyl-1,5-bis-epoxides. Org. Lett. 5, 1931–1933 (2003).
Corey, E. J. & Suggs, J. W. Pyridinium chlorochromate. An efficient reagent for oxidation of primary and secondary alcohols to carbonyl compounds. Tetrahedron Lett. 16, 2647–2650 (1975).
Martyanov, T. P. et al. Pseudodimeric complexes of an (18-Crown-6)stilbene with styryl dyes containing an ammonioalkyl group: Synthesis, structure, and stereospecific [2 + 2] cross-photocycloaddition. J. Org. Chem. 86, 3164–3175 (2021).
Siler, D. A., Mighion, J. D. & Sorensen, E. J. An enantiospecific synthesis of jiadifenolide. Angew. Chem. Int. Ed. 53, 5332–5335 (2014).
Ueki, H., Ellis, T. K., Khan, M. A. & Soloshonok, V. A. Highly diastereoselective synthesis of new, carbostyril-based type of conformationally-constrained beta-phenylserines. Tetrahedron 59, 7301–7306 (2003).
Ebada, S. S. & Ebrahim, W. A new antibacterial quinolone derivative from the endophytic fungus Aspergillus versicolor strain Eich.5.2.2. S. Afr. J. Bot. 134, 151–155 (2020).
Wang, C. X. et al. Same data, different structures: Diastereoisomers with substantially identical NMR data from nature. Chem. Commun. 52, 1250–1253 (2016).
Willwacher, J., Kausch-Busies, N. & Furstner, A. Divergent total synthesis of the antimitotic agent leiodermatolide. Angew. Chem. Int. Ed. 51, 12041–12046 (2012).
Boyle, C. D., Harmange, J. C. & Kishi, Y. Novel structure elucidation of AAL toxin TA backbone. J. Am. Chem. Soc. 116, 4995–4996 (1994).
Curran, D. P., Zhang, Q., Lu, H. & Gudipati, V. On the proof and disproof of natural product stereostructures: Characterization and analysis of a twenty-eight member stereoisomer library of murisolins and their mosher ester derivatives. J. Am. Chem. Soc. 128, 9943–9956 (2006).
Yang, F., Newsome, J. J. & Curran, D. P. Structure assignment of lagunapyrone B by fluorous mixture synthesis of four candidate stereoisomers. J. Am. Chem. Soc. 38, 14200–14205 (2007).
Xiong, F. et al. A bioinspired and biocompatible ortho-sulfiliminyl phenol synthesis. Nat. Commun. 8, 15912–15918 (2017).
Wang, Y., Chen, B., He, X. & Gui, J. Bioinspired synthesis of nortriterpenoid propindilactone G. J. Am. Chem. Soc. 142, 5007–5012 (2020).
Zou, Y. et al. Tandem prenyltransferases catalyze isoprenoid elongation and complexity generation in biosynthesis of quinolone alkaloids. J. Am. Chem. Soc. 137, 4980–4983 (2015).
Zou, Y. et al. Enzyme-catalyzed cationic epoxide rearrangements in quinolone alkaloid biosynthesis. Nat. Chem. Biol. 13, 325–332 (2017).
Kishimoto, S. et al. Enzymatic one-step ring contraction for quinolone biosynthesis. Nat. Commun. 9, 2826–2832 (2018).
Acknowledgements
We thank Syngenta for the fellowship to Feng-Wei Guo. This work was supported by the Programme of National Natural Science Foundation of China (Nos. U1706210, 41776141, and 41322037), the Fundamental Research Funds for the Central Universities (No. 201841004), AoShan Talents Programme Supported by Pilot National Laboratory for Marine Science and Technology (Qingdao) (No. 2015ASTP-ES11), the Programme of Natural Science Foundation of Shandong Province of China (No. JQ201510), and the Taishan Scholars Programme, China (No. tsqn20161010).
Author information
Authors and Affiliations
Contributions
F.W.G. and X.F.M. contributed equally to this work; C.L.S. directed the project; C.L.S., F.W.G., and X.F.M. conceived the synthetic route; F.W.G., X.F.M., and Y.Q. conducted the synthetic work; F.W.G., X.F.M., M.Y.W., G.Y.C., C.Y.W., Y.C.G., and C.L.S. analyzed the results; C.L.S., Y.C.G., F.W.G., and X.F.M. wrote the manuscript.
Corresponding author
Ethics declarations
Competing interests
The authors declare no competing interests.
Peer review
Peer review information
Communications Chemistry thanks the anonymous reviewers for their contribution to the peer review of this work. Peer reviewer reports are available.
Additional information
Publisher’s note Springer Nature remains neutral with regard to jurisdictional claims in published maps and institutional affiliations.
Rights and permissions
Open Access This article is licensed under a Creative Commons Attribution 4.0 International License, which permits use, sharing, adaptation, distribution and reproduction in any medium or format, as long as you give appropriate credit to the original author(s) and the source, provide a link to the Creative Commons license, and indicate if changes were made. The images or other third party material in this article are included in the article’s Creative Commons license, unless indicated otherwise in a credit line to the material. If material is not included in the article’s Creative Commons license and your intended use is not permitted by statutory regulation or exceeds the permitted use, you will need to obtain permission directly from the copyright holder. To view a copy of this license, visit http://creativecommons.org/licenses/by/4.0/.
About this article
Cite this article
Guo, FW., Mou, XF., Qu, Y. et al. Scalable total synthesis of (+)-aniduquinolone A and its acid-catalyzed rearrangement to aflaquinolones. Commun Chem 5, 35 (2022). https://doi.org/10.1038/s42004-022-00655-x
Received:
Accepted:
Published:
Version of record:
DOI: https://doi.org/10.1038/s42004-022-00655-x
This article is cited by
-
Trash or treasure? Unlocking dark matter of enantiomeric natural products in innovative drugs discovery for potent angiogenesis inhibitors
Marine Life Science & Technology (2025)
-
Recent Advances of Bioactive Marine Natural Products in Drug Discovery
Journal of Ocean University of China (2024)
-
Targeted isolation of antitubercular cycloheptapeptides and an unusual pyrroloindoline-containing new analog, asperpyrroindotide A, using LC–MS/MS-based molecular networking
Marine Life Science & Technology (2023)
-
Discovery, total syntheses and potent anti-inflammatory activity of pyrrolinone-fused benzoazepine alkaloids Asperazepanones A and B from Aspergillus candidus
Communications Chemistry (2022)








