Abstract
Pathway selection principles in reversible reaction networks such as molecular self-assembly have not been established yet, because achieving kinetic control in reversible reaction networks is more complicated than in irreversible ones. In this study, we discovered that coordination squares consisting of cis-protected dinuclear rhodium(II) corner complexes and linear ditopic ligands are assembled under kinetic control, perfectly preventing the corresponding triangles, by modulating their energy landscapes with a weak monotopic carboxylate ligand (2,6-dichlorobenzoate: dcb–) as the leaving ligand. Experimental and numerical approaches revealed the self-assembly pathway where the cyclization step to form the triangular complex is blocked by dcb–. It was also found that one of the molecular squares assembled into a dimeric structure owing to the solvophobic effect, which was characterized by nuclear magnetic resonance spectroscopy and single-crystal X-ray analysis.
Similar content being viewed by others
Introduction
Pathway-dependent molecular self-assembly has often been seen in the realm of nature, especially in the multicomponent self-assembly of viruses1 and proteasomes2. One of the reasons why such a sequential assembly process is adopted is because the formation of undesired assemblies whose structures are far from the desired one is efficiently prevented in the assembly process. If there exist some other assemblies with similar thermodynamic stabilities, selective assembly of the desired one under thermodynamic control is impossible. In such cases, pathway selection under kinetic control is inevitable, but the general principles of pathway selection in complicated reversible reaction networks have yet to be fully understood3.
Molecular square is one of the most representative molecular architectures in coordination self-assembly4,5,6,7,8,9,10,11,12,13,14,15,16,17,18,19,20,21,22,23,24. Thanks to the L–M–L bond angle of 90° around transition metal ions with octahedral and square planer coordination spheres, upon complexation with linear ditopic ligands, square complexes are expected to be thermodynamically most stable over other polygonal structures. However, in many cases triangular complexes were coproduced in solution even using rigid linear ditopic ligands as the side of the polygons, although triangles are geometrically largely different from squares25,26,27,28,29,30,31,32,33,34,35,36,37,38,39,40,41,42,43,44,45. Therefore, the selective formation of molecular squares and the understanding of their origin remain challenging in supramolecular chemistry46.
Under the condition where the energy barriers between square and triangular compounds are relatively high, there is a chance to produce the square in a higher yield than that obtained at equilibrium, kinetically preventing the triangle. Such a kinetic approach is quite limited in artificial molecular self-assembly, except for unexpected observations of kinetic traps47,48,49,50,51,52,53,54,55. Our understanding of the energy landscapes of molecular self-assembly is not as thorough as we can rationally design them, and to the best of our knowledge, there is no report on the selective formation of a triangular or square complex under kinetic control.
Here, we report the self-assembly of the Rh4L4 squares in solution under kinetic control, perfectly preventing the formation of the Rh3L3 triangle using a designed monotopic carboxylate as the leaving ligand (dcb– in Fig. 1). Experimental and numerical analyses of the self-assembly mechanism indicate that the free energy landscape of the self-assembly was properly modulated so that the pathways to the triangular complex were blocked. Furthermore, the monocarboxylate facilitates ligand exchanges, resulting in the conversion of the kinetically trapped triangles into the squares under mild condition. It was also found that one of the Rh4L4 squares aggregates to form a structurally well-defined dimer in solution by the solvophobic effect, owing to the electronically neutral nature of the Rh(II) complexes.
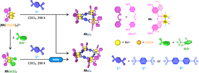
Schematic representation of kinetically controlled self-assembly of the Rh4L4 squares from cis-protected dinuclear Rh(II) complex (Rh2+: [Rh2(DAniF)2]2+) and linear dicarboxylate ligand (L2–: 12– or 22–) in solution. When the metal source is [Rh(CH3CN)4]2+, where CH3CN is the leaving ligand, Rh3L3 triangle and Rh4L4 square complexes were produced in a 1:2 ratio. In contrast, when the self-assembly was carried out using Rh(dcb)2 as the metal source (dcb–: 2,6-dichlorobenzoate), dcb– modulates the energy landscape of the self-assembly so that the formation of the Rh3L3 triangle is prevented, producing the Rh4L4 square only. The axial ligands on the dinuclear Rh(II) centers are omitted for clarity.
Results and discussion
Self-assembly of Rh(II)-triangle and square with CH3CN as the leaving ligand
Cotton and his co-workers and others reported that molecular squares composed of cis-protected dinuclear Rh(II) complexes (Rh2+: [Rh2(DAniF)2]2+56 and [Rh2(O2C-R-CO2)]2+57) and linear dicarboxylates (L2–) were selectively obtained in crystalline states56,57. As Rh(II)–carboxylate coordination bonds in dinuclear Rh(II) complexes are relatively strong, the reversibility of the coordination bond is low58, which would allow the self-assembly of the Rh4L4 squares to proceed under kinetic control. Thus, we were interested in why the Rh4L4 squares were selectively produced in the solid state in the previous research.
We first performed the self-assembly from [Rh(CH3CN)4](BF4)2 and 12– in CH3CN ([12–] = 10 mM) according to the literature56. Dark red solid precipitated in 1 day. Its 1H NMR spectrum in CDCl3 showed two prominent singlet signals of Hd (aromatic protons of 12– as shown in Fig. 2) in a 1:3 integral ratio, suggesting the formation of two highly symmetric cyclic structures (Supplementary Fig. 1). Crystallization of this mixture in CHCl3 gave single crystals of Rh414 as was reported in the literature56. The major 1H NMR signals are the same as those of Rh414 (Supplementary Fig. 2), so the minor signals are expected to correspond to the Rh313 triangle, which is supported by 1H DOSY spectroscopy (Supplementary Fig. 3), ESI-TOF mass spectrometry (Supplementary Fig. 4a), and other experiments (details are shown in Supplementary Fig. 2). Therefore, the Rh414 square and the Rh313 triangle were produced in CH3CN.
1H NMR spectra (500 MHz, CDCl3, 298 K, aromatic region) of the self-assembly of the Rh4L4 squares under various conditions ([12–] = [Rh2+] = 1 mM). a Self-assembly from [Rh(CH3CN)4](BF4)2 and 12– in CDCl3 at 298 K, giving the Rh313 triangle and the Rh414 square in 23% and 39% yields, respectively. Asterisks indicate the carbon satellite of CHCl3. b Addition of n-Bu4N·dcb in a mixture of the Rh313 triangle and the Rh414 square obtained from the self-assembly of [Rh(CH3CN)4](BF4)2 and 12– in CDCl3 after convergence. The Rh313 triangle was converted into the Rh414 square at 298 K assisted by dcb–, although heating at 100 °C for 2 days is necessary without dcb– (Supplementary Fig. 14). c Self-assembly of the Rh414 square from Rh(dcb)2 and 12– in CDCl3 at 298 K to produce the Rh414 square in a 65% yield without formation of the Rh313 triangle during self-assembly. The yields were determined based on the internal standard.
To investigate the solution process, self-assembly was performed in CDCl3 at 298 K ([12–] = 1.0 mM), where precipitation did not occur during the self-assembly, resulting in a mixture of Rh313 and Rh414 in a 1:2 ratio (Fig. 2a). Similarly, self-assembly of [Rh(CH3CN)4](BF4)2 and another ditopic ligand (22–) in CDCl3 gave the triangular and square complexes in a 1:2 ratio (Supplementary Figs. 2, 4c, 5, and 6). Therefore, the self-assembly of [Rh(CH3CN)4]2+ and the linear ditopic ligands (L2–) at room temperature gave a mixture of a molecular square (major) and a triangle (minor) in solution, and the Rh414 square was selectively crystallized from the mixture.
Kinetic self-assembly of Rh(II)-squares
We then investigated the kinetic effect of the leaving ligand on Rh-based self-assembly. 2,6-Dichlorobenzoate (dcb–) was chosen as the leaving ligand (Fig. 1). Because the pKa value of Hdcb in H2O (1.82)59,60 is lower than that of benzoic acid (4.21), the coordination ability of dcb– is lower than those of the ditopic ligands (L2–), suggesting that dcb– can act as a leaving ligand. To test the potential of dcb– as a leaving ligand, the ligand exchange of dcb– in Rh(dcb)2 with p-toluate (tol–) in CDCl3 was monitored by 1H NMR spectroscopy (Supplementary Fig. 7a). The ligand exchange proceeded at 298 K to produce Rh(tol)2 in 82% yield (Supplementary Fig. 7b), indicating that dcb– can be used as a leaving ligand in Rh-based self-assembly at room temperature.
The self-assembly of Rh(dcb)2 and L2– (12– and 22–) in CDCl3 at 298 K was monitored by 1H NMR spectroscopy (Fig. 2c and Supplementary Fig. 8). Surprisingly, the 1H NMR signals of the Rh3L3 triangle did not appear at all during the self-assembly for 12– and 22–. These results indicate that the energy landscape of the self-assembly was dramatically altered by dcb–, kinetically producing only the Rh4L4 squares.
Self-assembly mechanism of Rh(II)-squares
We were interested in why the Rh4L4 squares were selectively produced with dcb– as the leaving ligand under kinetic control, so the self-assembly processes were investigated by QASAP (quantitative analysis of self-assembly process)61,62,63. Basically, it is difficult to obtain information about intermediates in molecular self-assembly, because most of intermediates are unobservable. Indeed, only small minor signals for intermediates were observed by 1H NMR spectroscopy during the self-assembly of the Rh4L4 squares (Fig. 2c and Supplementary Fig. 8). In such cases, QASAP provides valuable insight into the self-assembly pathway from time-development of the average composition of all intermediates even when the intermediates cannot be observed. We have applied QASAP to Pd(II)- and Pt(II)-based coordination self-assemblies so far to determine the major self-assembly pathway(s) and the rate-determining step. QASAP of the Rh4L4 squares is the first example of QASAP for metal-organic assemblies with transition metals other than Pd(II) and Pt(II) ions.
The substrates (Rh(dcb)2 and L2–) and the products (Rh4L4 and dcb–) were quantified by 1H NMR spectroscopy (Fig. 3c), and the change in the average composition of all intermediates with time was plotted in a 2D map (n-k map) (Fig. 3b). The species regarding the self-assembly are expressed by RhaLb(dcb)c (a–c are 0 or positive integer), which is indicated as (a,b,c) for simplicity. The (n, k) values of RhaLb(dcb)c are defined as n = (2a – c)/b and k = a/b61,62,63. The n value indicates the average number of Rh2+ bound to a single ditopic ligand, L2– . The k value indicates the ratio of Rh2+ against L2–. The experimentally obtained (n, k) values, which is indicated as (〈n〉, 〈k〉), are calculated for the average composition of all intermediates (Rh〈a〉L〈b〉(dcb)〈c〉), whose time-development was used for the discussion on the self-assembly process (Fig. 3b).
a Three types of possible chain intermediates in the self-assembly of M4L4 square. Type I: MmLm+1, Type II: Mm+1Lm+1(dcb), Type III: Mm+2Lm+1(dcb)2. b Plots of the existence ratios of the substrates and products in the self-assembly of the Rh424 square from Rh(dcb)2 and 22– in CDCl3 at 298 K. [Rh]0 = [22–]0 = 0.86 mM. c Plots of the (〈n〉, 〈k〉) values in the n-k map of the Rh424 square (red filled circles). Green crosshairs indicate the (n, k) values of the chain intermediates. The three types of chain intermediates, Types I, II, and III, are plotted on each straight line. The brown number indicates m in each type of oligomer in a. The definitions of 〈n〉 and 〈k〉 values are shown in the main text (Eqs. 1 and 2). The data in (b) and (c) are shown as the average of the three runs of QASAP with standard errors. d Comparison of the existence ratio of the substrates and the products between QASAP (red) and NASAP (blue). e Comparison of the n-k plot between QASAP (red) and NASAP (blue). Both (d) and (e) indicate that the numerical simulation results reproduce the experimental counterparts well. f Dominant self-assembly pathways of the Rh424 square. Red arrows indicate the major self-assembly pathway. (a,b,c) indicates Rha2b(dcb)c. The numbers above the reaction arrows indicate the elementary reactions with high net reaction frequency listed in Supplementary Table 4. Longer Type II oligomers than (4,4,1), such as (5,5,1) and (6,6,1), are produced during the self-assembly, although they are not involved in the major self-assembly pathway (Supplementary Fig. 13). g Two possible pathways to produce triangle (3,3,0) from Type II intermediate (3,3,1) (left) and from Type II oligomers with more than three Rh2+ units (4+x, 4+x, 1) (x ≥ 0) (right). The green sphere indicates the leaving ligand(s) (dcb– or two molecules of CH3CN). h A plausible key structure in the triangular formation through associative ligand exchange process. Steric repulsion caused by ArCO2– (in green) in the cyclic intermediate and transition state of the triangular formation process would prevent the cyclization.
There are three types of chain intermediates classified according to the difference in the terminals (Types I–III) (Fig. 3a)64,65. The (n, k) values of the three types of oligomers are distinctly plotted on different straight lines in the n-k map (Fig. 3b). With an increase in the degree of oligomerization (m in Fig. 3a), the (n, k) values become close to (2, 1), which is the (n, k) value of the cyclic structures (triangle and square). Thus, the (n, k) plot enables us to discuss which type of oligomers was mainly produced and how large the chain-like oligomers grew during self-assembly.
With regard to QASAP for the Rh414 square, the 〈n〉 value was smaller than 1 at an early stage (Supplementary Fig. 9 and Supplementary Table 1), which suggests that Rh2+ units in the intermediates have more than two carboxylate ligands (12– and/or dcb–), so further analysis could not be performed (for detailed discussion, see Supplementary Fig. 9). Such a strange behavior was not found for the self-assembly of the Rh424 square (Fig. 3b and Supplementary Fig. 10 and Supplementary Table 2). The 〈n〉 value increased with an almost constant 〈k〉 value of 1, indicating the formation of Type II oligomers as main intermediates, whose m value finally reached 3 or 4, corresponding to 4 or 5 Rh2+ units in the oligomers.
Numerical analysis of self-assembly pathway
The major self-assembly pathway was determined by numerical analysis (NASAP: numerical analysis of self-assembly process)66. In NASAP, the QASAP data were numerically analyzed based on the reaction network model where possible intermediates and their elementary reactions were considered. We prepared a reaction network model consisting of 34 species with a maximum number of Rh2+ of 10 and 1694 elementary reactions between them (Supplementary Fig. 11). The elementary reactions in the network were classified into 10 groups according to the reaction type (Supplementary Fig. 12). Then, the forward and backward rate constants for the elementary reactions were used as variable parameters to fit the QASAP data. No good dataset was found unless the rate constants of the triangular formations (k8 and k9) were set to almost zero, which is consistent with the experimental result that the 1H NMR signals of Rh323 did not appear during the self-assembly (Supplementary Fig. 8). A set of rate constants that reproduced the experimental results well (Fig. 3d, e) was found (Supplementary Table 3).
With the dataset of the rate constants thus obtained, the self-assembly of Rh424 was numerically simulated in the reaction network, which enabled us to determine the major self-assembly pathway. The top 10 elementary reactions with high net frequencies are listed in Supplementary Table 4. Net frequency represents the difference between the occurrence in the forward direction and that in the backward direction for an elementary reaction; thus, the net frequency indicates the actual degree of progress of the elementary reaction67. Connecting the elementary reactions with the highest net reaction frequency from Rh424 to the substrates resulted in the dominant self-assembly pathways (Fig. 3f). As expected from the n-k analysis, Rh424 was assembled, producing Type II species as the major intermediates, and the largest intermediate in the major pathway is Rh424(dcb)1, which is indicated as (4,4,1) (Fig. 3f).
The change in the existence ratios of the intermediates in the major self-assembly pathway shows that the existence of (4,4,1) is much smaller than that of the other intermediates (Supplementary Fig. 13), indicating that the cyclization of (4,4,1) occurs quickly and that the formation of (4,4,1) from (2,2,1) and from (3,3,1) is the rate-determining steps (Fig. 3f)68.
Reason for the selective formation of Rh(II)-squares under kinetic control
Next, we discuss why the pathways to the Rh3L3 triangles were blocked with dcb– as the leaving ligand. There are two types of reactions that produce Rh3L3 by the cyclization of Type II intermediates: (i) the cyclization of (3,3,1) to form (3,3,0) by breaking the coordination bond between Rh(II) and the leaving ligand (CH3CN or dcb–) (Fig. 3g, left) and (ii) the cyclization of oligomers longer than (3,3,1), (4+x, 4+x, 1) (x ≥ 0), by breaking a Rh–L coordination bond (Fig. 3g, right). Note that the latter reaction is not affected by the leaving ligand. Therefore, the formation of Rh3L3 triangles from (4+x, 4+x, 1) (x ≥ 0) should be prevented either using Rh(dcb)2 or [Rh(CH3CN)4]2+. In addition, when dcb– is the leaving ligand, the cyclization of (3,3,1) to form (3,3,0) should be prevented. In other words, the cyclization of Rh3L3(CH3CN)2 occurs, while that of Rh3L3(dcb) is kinetically blocked.
Considering the associative ligand exchange mechanism of Rh(II)–carboxylate bonds69,70, triangular formation should take place by the attack of the terminal non-coordinated carboxylate group of L to the axial site of a Rh(II) center in Type II intermediates (Fig. 3h). The instability of a resultant cyclic intermediate or a transition state with dcb– would be the reason for the suppression of the cyclization of Rh3L3(dcb).
Conversion of Rh(II)-triangles into Rh(II)-squares assisted by dcb–
The conversion between the triangular and square complexes was very slow due to the inertness of Rh–carboxylate bonds. Heating a 1:2 mixture of Rh313 and Rh414 in CDCl3 at 60 °C did not show any change of their ratio (Supplementary Fig. 14a). The conversion of Rh313 into Rh414 was realized by heating the mixture in dimethylacetamide (DMA) at 100 °C for 2 days (Supplementary Fig. 14b).
Considering the associative ligand exchange mechanism of Rh(II)-carboxylate bonds, the ligand exchange is expected to be facilitated by monotopic carboxylate with weak coordination ability such as dcb–. Thus, n-Bu4N·dcb was added to a mixture of Rh313 and Rh414 in CDCl3, and the reaction at 298 K was monitored by 1H NMR spectroscopy (Fig. 2b and Supplementary Table 5). The signals assigned to Rh313 slowly decreased with time and almost disappeared after 18 h. The conversion of Rh313 into Rh414 was also confirmed by ESI-TOF mass spectrometry (Supplementary Fig. 4b). Likewise, the conversion of Rh323 into Rh424 also occurred at 298 K in 13 h with dcb– (Supplementary Figs. 4d and 15 and Supplementary Table 6). These results indicate that dcb– greatly decreased the energy barriers of the conversion of Rh3L3 triangles to Rh4L4 squares as a catalyst. However, the time scale of the conversion of the triangle into the square using the catalyst is much slower than that of the assembly of the square from the substrates (Rh2(dcb)2 and the ditopic ligand). The idea that the selective self-assembly of the Rh4L4 squares took place by the conversion of the Rh3L3 triangles into the Rh4L4 squares by the catalytic effect of dcb– during the self-assembly is ruled out by the fact that the signals of the Rh3L3 triangles were not observed during the self-assembly (Fig. 2c and Supplementary Fig. 8).
Supramolecular dimerization of Rh(II)-square by solvophobic effect
The dinuclear Rh(II)-based assemblies are neutral molecules, which is largely different from other positively or negatively charged coordination assemblies with counter ions. One of the advantages of neutral coordination assemblies is that they can be assembled into higher order structure without electrostatic repulsion between themselves, leading to a closely packed structure in the crystalline state and in solution. A new set of signals appeared when Rh414 was dissolved in CD3NO2/CDCl3 (9:1 (v/v)) (Fig. 4c). A similar spectral change was also observed in acetone-d6 and CD3CN with 10 volume% of CDCl3 (Supplementary Fig. 16). A significant up-field shift of aromatic protons (Ha and Hb) suggests the aggregation of the square (Fig. 4a). All signals except for Hc were observed as two sets with a 1:1 integral ratio, which is consistent with the crystal structure of the [Rh414(dmso-S)4]2 dimer (Fig. 4b) obtained from acetone/DMSO.
a Supramolecular dimer formation of the Rh414 square by the solvophobic effect. b Crystal structure of [Rh414(dmso-S)4]2. Two Rh414 squares engaged each other are shown in red and blue. DMSO molecules axially coordinating to the Rh(II) centers are colored in green. c 1H NMR spectra (500 MHz, 298 K, aromatic region) of (Rh414)2 in CD3NO2/CDCl3 (9:1 (v/v)) and Rh414 in CDCl3. d 1H DOSY spectrum of (Rh414)2 in CD3NO2/CDCl3 (9:1 (v/v)).
The (Rh414)2 dimer in CD3NO2/CDCl3 (9:1 (v/v)) was characterized by 1H DOSY, (H, H)-COSY, and (H, H)-NOESY spectroscopy (Fig. 4d and Supplementary Figs. 17 and 18). A cross peak was found between Hd(out) and Hd(in) protons in the NOESY spectrum (Supplementary Fig. 18), indicating the chemical exchange of the two proton signals caused by the rotation of the 1,4-phenylene ring in 12–, which would be the reason for the broadening of the two Hd signals (Fig. 4c). The equilibrium of the monomer (Rh414) and the dimer ((Rh414)2) shifted toward the dimer with an increase in the composition ratio of CD3NO2/CDCl3 (Supplementary Fig. 19), indicating the dimerization of the Rh414 square due to the solvophobic effect. The 1H NMR signals of the monomer did not appear even at a low concentration of [Rh414]0 = 4.6 μM (Supplementary Fig. 20). Further dilution caused the NMR spectrum to significantly broaden with a low S/N ratio. According to these results, the dimerization constant for (Rh414)2 is estimated to be higher than 107 M–1 under the assumption that 10% monomer exists (Supplementary Fig. 20).
Conclusions
In conclusion, the self-assembly of the Rh4L4 squares was kinetically controlled to produce Rh4L4 squares selectively assisted by monotopic carboxylate ligand (dcb–), which prevents the cyclization of the Rh3L3(dcb) chain intermediate. This is the first example of the selective formation of coordination squares under kinetic control in solution. The metastable yet kinetically highly stabilized Rh3L3 triangles can be transformed into the Rh4L4 squares with dcb– under very mild conditions. These results indicate that the energy landscape of the dinuclear Rh(II)-based coordination self-assembly can be tuned by the leaving ligand. This basic knowledge can be applied to a wide range of Rh(II)-based metal-organic polyhedra (MOPs)71,72,73, whose self-assembly is limited compared with MOPs composed of other transition metal ions owing to the relatively inert equatorial Rh(II)–carboxylate bonds. Because Rh(II)-based MOPs possess high thermal and chemical stabilities and catalytic activity, they are expected as a platform for new materials, so exploring the novel structures of Rh(II)-based MOPs and their efficient self-assembly by modulating the energy landscapes will make a great progress in this field.
Methods
General information
1H NMR spectra were recorded using a Bruker AV-500 (500 MHz) spectrometer. All 1H NMR spectra were referenced using a residual solvent peak, CDCl3 (δ 7.26), acetone-d6 (δ 2.05), CD3NO2 (δ 4.33). Electrospray ionization time-of-flight (ESI-TOF) mass spectra were obtained using a Waters Xevo G2-S Tof mass spectrometer.
Materials
Unless otherwise noted, all solvents and reagents were obtained from commercial suppliers (TCI Co., Ltd., WAKO Pure Chemical Industries Ltd., KANTO Chemical Co., Inc., and Sigma-Aldrich Co.) and were used as received. Deuterated solvents were used after dehydration with Molecular Sieves 4 Å. [Rh(CH3CN)4](BF4)2 (Rh: Rh2(DAniF)2, DAniF: N,N′-bis(4-methoxyphenyl)formamidinate)74 was prepared according to the literature. The 1H and 13C{1H} NMR spectra of all substrates are available in Supplementary Data 1. Rh(dcb)2 was prepared by mixing [Rh(CH3CN)4](BF4)2 and n-Bu4N·dcb in a 1:2 ration in NMR tube at 298 K and were used for the self-assembly after the quantification based on the internal standard ([2.2]paracyclophane). See more detail in section “Monitoring of the self-assembly of the Rh4L4 squares”.
QASAP of the Rh 4L4 squares
Monitoring of the self-assembly of the Rh4L4 squares
A 2.4 mM solution of [2.2]paracyclophane in CHCl3 (125 μL), which was used as an internal standard, was added to two NMR tubes (tubes I and II) and the solvent was removed in vacuo. A CDCl3 solution of Rh(dcb)2 was prepared as solution A (10 mM). Solution A (50 μL) and CDCl3 (400 μL) were added to tube I. The exact concentration of Rh(dcb)2 in solution A was determined through the comparison of the signal intensity with [2.2]paracyclophane by 1H NMR. A solution of ditopic ligand (n-Bu4N)2·L (L = 12– or 22–; 2.5 mM) in CDCl3 (200 μL) and CDCl3 (250 μL) were added to tube II and the exact amount of L2– in tube II was determined through the comparison of the signal intensity with [2.2]paracyclophane by 1H NMR. Then, 1.0 eq. (against the amount of ligand L2– in tube II) of solution A (ca. 50 μL; the exact amount was determined based on the exact concentrations of solution A and of L2– in tube II) was added to tube II. The self-assembly of the Rh4L4 square was monitored at 298 K by 1H NMR spectroscopy. The selected 1H NMR spectra measure during the self-assembly are shown in Fig. 2c and Supplementary Fig. 8 ([12–]0 = 1.0 mM and [22–]0 = 0.86 mM). The amounts and the existence ratios of L2–, Rh(dcb)2, the Rh4L4 square, and dcb– were quantified by the integral value of each 1H NMR signal against the signal of the internal standard ([2.2]paracyclophane) according to the determination methodology described in the section “Determination of the existence ratios of each species”. The data, the average values of the existence ratios, and the (〈n〉, 〈k〉) values with standard errors are listed in Supplementary Tables 1 and 2 for the self-assembly of the Rh414 and Rh424 squares, respectively.
Determination of the existence ratio of each species
The relative integral value of each 1H NMR signal against the internal standard [2.2]paracyclophane is used as the integral value in this description. We define the integral values of the signal for the substrates and the products at each time t as follows:
QASAP for the Rh414 square
IL(t): 1/4 of the integral value of the d proton in free ligand 12–
IM(t): 1/2 of the integral value of the e proton of dcb– in Rh(dcb)2
I440(t): 1/4 of the integral value of the d proton in the Rh414 square
Idcb(t): the integral value of the f proton of free dcb– (before 1 h) or 1/2 of the integral value of the e proton of free dcb– (after 1 h)
QASAP for the Rh424 square
IL(t): 1/4 of the integral value of the e proton in free ligand 22–
IM(t): 1/2 of the integral value of the f proton of dcb– in Rh(dcb)2
I440(t): 1/4 of the integral value of the d proton in the Rh424 square
Idcb(t): the integral value of the g proton of free dcb–
IM(0) was determined based on the exact concentration of solution A determined by 1H NMR and the exact volume of solution A added into tube II.
IL(0) was determined by 1H NMR measurement before the addition of solution A into tube II.
Existence ratio of Rh(dcb)2
As the total (initial) amount of Rh(dcb)2 corresponds to IM(0), the existence ratio of Rh(dcb)2 at t is expressed by IM(t)/IM(0).
Existence ratio of L2–
As the total amount of free ligand L2– corresponds to IL(0), the existence ratio of L2– at t is expressed by IL(t)/IL(0).
Existence ratio of the Rh 4L4 square
As the total amount of the Rh4L4 square is quantified based on L2–, the existence ratio of the Rh4L4 square at t is expressed by I440(t)/IL(0).
Existence ratio of dcb–
As the total amount of dcb– corresponds to IM(0), the existence ratio of dcb– at t is expressed by Idcb(t)/IM(0).
Existence ratio of the total intermediates not observed by 1H NMR (Int)
The existence ratio of the total intermediates not observed by 1H NMR (Int) is determined based on the amount of L2– in Int. Thus, the existence ratio of Int is calculated by subtracting the other species containing L2– (free L2–, and the Rh4L4 square) from the total amount of L2– (IL(0)). The existence ratio of Int at t is expressed by (IL(0) – IL(t) – I440(t))/IL(0).
〈a〉
The initial amount of Rh centers corresponds to IM(0)/2.
The amount of Rh centers in Rh(dcb)2 at t corresponds to IM(t)/2.
The amount of Rh centers in the Rh4L4 square at t corresponds to I440(t).
The amount of Rh centers in Int at t is thus expressed by IM(0)/2 – IM(t)/2 – I440(t).
〈b〉
The initial amount of L2– corresponds to IL(0).
The amount of free L2– at t corresponds to IL(t).
The amount of L2– in the Rh4L4 square at t corresponds to I440(t).
The amount of L2– in Int at t is thus expressed by IL(0) – IL(t) – I440(t).
〈c〉
The total amount of dcb– corresponds to IM(0).
The amount of free dcb– at t corresponds to Idcb(t).
The amount of dcb– in Rh(dcb)2 at t corresponds to IM(t).
The amount of dcb– in Int at t is thus expressed by IM(0) – Idcb(t) – IM(t).
The 〈n〉 and 〈k〉 values are determined with these 〈a〉, 〈b〉, and 〈c〉 values by Eqs. (1) and (2).
NASAP of the Rh 424 square
The reaction network model and the classification of the elementary reactions
For the numerical analysis of self-assembly process (NASAP), a reaction network for the self-assembly of the Rh4L4 square from RhX2 (X: the leaving ligand) and L2– (22–) is constructed as follows. Starting from the substrates, that is, RhX2 and L2–, the reaction path is traced to form the possible intermediate chemical species with up to ten ditopic ligands (L2–). In this network, the Rh3L3 triangle is also considered as intermediate species. With these procedures taken, it is found that the total of 34 molecular species (including both the substrates and the product themselves) construct a reaction network composed of 1,698 elementary reactions. It should be noted that some of those reactions have the forward and backward processes (see the classification of the reaction type given below). All the intermediates considered in this network model and a simplified reaction network are shown in Supplementary Fig. 11.
This reaction network turns out to be so large that it is impossible to assign an individual rate constant to each reaction and to search for the parameter in such a vast parameter space to fit the experimental results best. Therefore, we divided the whole elementary reactions into ten classes possessing similar characteristics and defined rate constants as follows:
i. Incorporation of free L2– by RhX2 with releasing a leaving ligand X.
k1 [min–1 M–1] and k–1 [min–1 M–1] for forward and backward reactions, respectively.
ii. Reaction of RhX2 and the second site of L2–, whose opposite site is already bonded with another Rh.
k2 [min–1 M–1] and k–2 [min–1 M–1].
iii. Reaction of free L2– and the second site of Rh, which is already coordinated by another L2–.
k3 [min–1 M–1] and k–3 [min–1 M–1].
iv. Reaction at the second sites of L2– and Rh, both of whose other sites are already bonded with Rh and L2–, respectively.
k4 [min–1 M–1] and k–4 [min–1 M–1].
v. L-L exchange reaction. This reaction can lead to both the growth and the decomposition of oligomers, or produce no net change in the reaction system.
k5 [min–1 M–1].
vi. Cyclization to make a square via L-X exchange.
k6 [min–1] and k–6 [min–1 M–1].
vii. Cyclization to make a square via L-L exchange.
k7 [min–1] and k–7 [min–1 M–1].
viii. Cyclization to make a triangle via L-X exchange.
k8 [min–1] and k–8 [min–1 M–1].
ix. Cyclization to make a triangle via L-L exchange.
k9 [min–1] and k–9 [min–1 M–1].
x. X-X exchange, which practically produces no change in the reaction system.
k10 [min–1 M–1].
Typical examples of each type of elementary reaction are shown in Supplementary Fig. 12. Note that reactions in classes (i)–(v) and (x) are the intermolecular ligand exchanges and those in classes (iv)–(ix) are intramolecular ones. It should be noted here that each rate constant is defined per reaction site, based on the above modeling procedure. Therefore, the actual reaction rate for each reaction is estimated as the defined constant multiplied by the total number of available combinations. For example, for the reaction between RhX2 and L2– to produce [RhLX]– and X, the rate constant is given as k1 times 2 (the number of Rh–X bonds in RhX2) times 2 (the number of coordination sites in L2–), i.e.,
It was adopted this setting to explicitly distinguish the structural difference among the species with the same composition.
Numerical fitting of the rate constants
In order to numerically track the time evolution of the existence ratios for both reactants and products and the (〈n〉, 〈k〉) values, we have adopted a stochastic approach based on the chemical master equation, the so-called Gillespie algorithm. In this algorithm, for all the possible N chemical reactions including molecular species Sai, Sbi, Sci, …,
the total reaction rate Rtot is calculated as
Starting from the initial time t = 0, at each instant t, which one of the reactions to occur is determined with the uniform random number s1 ∈ (0,1) as
if \({s}_{1}\le {r}_{1}/{R}_{{{{{{\rm{tot}}}}}}},\) then reaction 1 occurs,
if \({r}_{1}/{R}_{{{{{{\rm{tot}}}}}}} < \, {s}_{1}\le ({r}_{1}+{r}_{2})/{R}_{{{{{{\rm{tot}}}}}}}\), then reaction 2 occurs,
if \(({r}_{1}+...+{r}_{N-1})/{R}_{{{{{{\rm{tot}}}}}}} < \, {s}_{1}\le 1\), then reaction N occurs.
Another uniform random number s2 ∈ (0,1) is independently given to fix the time incremental dt as
Time is updated as t = t + dt, together with the update of the numbers of corresponding molecular species, i.e., 〈Sai〉 → 〈Sai〉 – 1, 〈Sbi〉 → 〈Sbi〉 – 1, 〈Sci〉 → 〈Sci〉 + 1, …. The reason why this approach traces the chemical reactions and actually works well is given in the literature in detail, along with the practical way to implement it75,76,77,78.
The program for fixing the rate constant values is handmade for only this purpose. In order to obtain one of the best parameter sets, the following practical procedures are taken:
First, the rate constant sets are defined in the form of ki = 10 mi. Starting from the initial guess value for each mi, time evolutions of the global self-assembly event are traced with giving each mi a stepwise increment or decrement, searching for smaller values of the residual sum of squares (RSS) for the experimental data at hand.
Initial guess sets are given in several different ways for exploring as broad parameter space as possible. An example is the uniform one like (m1, m2, m3, …) = (0, 0, 0, …). In another guess, rate constants for the oligomerization are given 10 to 100 times larger values than others by intention, for the reason that those reactions (especially, the inclusion of the free multitopic ligand L) generally occur very fast at the initial stage of the global self-assembly.
As a result of the global search, most of ki’s settle into almost definite values, with others floating within relatively wide numerical ranges. From our numerical experiences, the latter constants do not largely affect the global reproduction of the experimental self-assembly process and the dominant reaction pathways. Therefore, for those rate constant parameters, representative values are picked up within the scope of our chemical intuition.
We have to admit that at the final point an arbitrariness occurs. And as the parameter search is performed in this procedure for giving a good fit to the experimental counterpart, we cannot calculate the amounts of statistics such as the standard deviation for the obtained rate constant values.
With the initial conditions (numbers of species), 〈RhX2〉0 = 12,900, 〈22–〉0 = 12,900, 〈others〉0 = 0, rate constant search was performed in an eighteen-dimensional parameter space (k1, k–1, k2, k–2, k3, k–3, k4, k–4, k5, k6, k–6, k7, k–7, k8, k–8, k9, k–9, k10). The Avogadro number and the volume of the simulation box were set to be NA = 6.0 × 1023 and V = 2.5 × 10–17 L, respectively, which give the same concentration as the experiments were carried out under [22–]0 = [Rh]0 = 0.86 mM.
Because 1H NMR signals of the Rh3L3 triangle were not observed during the self-assembly (Supplementary Figs. 8 and 10) and because the conversion of the Rh3L3 triangle into the Rh4L4 square was slow (Supplementary Fig. 12), the rate constant values concerning the trimerization (k8 and k9) should be zero. Indeed, any good parameter set of the rate constants with large k8 and k9 was not found.
After the rate constant search was finished, refined simulations were performed for some rate parameter sets that give existence ratios and the (〈n〉, 〈k〉) plot in good agreement with the experimental counterparts. The adequacy of the fitting to the experimental data was evaluated from the residual sum of squares (RSS) with the average of the experimental data, obtained from three runs. For all the time steps ti at which the experimental data of existence ratios RexS and parameters nave and kave are available, RSS’s are calculated with the numerically obtained values RnuS as (note that S = RhX2, 22–, Rh424, or X),
A representative numerical result and the corresponding rate constant set are shown in Figs. 3d and 3e and Supplementary Table 3, respectively. In the simulation to obtain Fig. 3d, e, the initial particles and the volume of the simulation box were set to be a thousand times larger than the rough parameter search, i.e., 〈RhX2〉0 = 1,290,000, 〈22–〉0 = 1,290,000, and V = 2.5 × 10–15 L. Although the numerical results of a single run are shown in Fig. 3d, e, a similar behavior was confirmed with several runs for the particle numbers given above.
Determination of the major self-assembly pathway
In the framework of the stochastic algorithm employed in this study, it is possible to count the number of occurrences (we call it as “frequency”) of each elementary reaction in the course of the self-assembly process. Therefore, the dominant reaction pathway as shown in Fig. 3f was determined by tracing back the reaction network from the objective product, Rh424 in this case, to the substrates along the elementary reactions whose frequencies are larger than the others. For the elementary reaction with forward and backward processes, which direction to proceed is determined by the number difference between the forward and the backward reaction frequencies. Top 10 elementary reactions with high net frequency in the self-assembly of the Rh424 square are listed in Supplementary Table 4.
The advantage of using the reaction frequency is that the main intermediates participating in the dominant self-assembly pathway are not missed with the reason of the existence ratio being small due to high reaction rate values associated with that species. For example, the existence ratio of (4,4,1) is very low compared with other Type II intermediates (Supplementary Fig. 13, so if the major self-assembly pathway is determined by connecting the species with large existence ratio, (4,4,1) is not involved in the major pathway. On the other hand, the net reaction frequency of the cyclization of (4,4,1) to form (4,4,0) is higher than those of the other elementary reactions to produce (4,4,0) (Supplementary Table 4), indicating that the square (4,4,0) is mainly produced by the cyclization of (4,4,1). The reason for the low existence ratio of (4,4,1) in the self-assembly is because of fast consumption of (4,4,1) by the cyclization. As this example shows, the determination of the major self-assembly pathway based on the existence ratios of the species leads to a wrong conclusion.
X-ray crystallographic structural analysis of the [Rh414(dmso-S)4]2 dimer
A single crystal was immersed in and coated with perfluoropolyalkylether (viscosity 80 cSt; abcr GmbH), and then mounted on a MicroMountTM (MiteGen LLC). Diffraction data of the single crystal were collected on a VariMax Dual single crystal X-ray diffractometer with PILATUS 200 K detector (Rigaku Corporation) at 93(2) K, using Mo Kα (λ = 0.71073 Å) radiation monochromated by multilayer mirror optics. Bragg spots were integrated using the CrysAlisPro program package (Rigaku Corporation). An empirical absorption correction based on the multi-scan method using spherical harmonics was implemented in the SCALE3 ABSPACK scaling algorithm. The structure was solved by an intrinsic phasing method on the SHELXT program79 and refined by a full-matrix least-squares minimization on F2 executed by the SHELXL program80, using Olex2 software package (OlexSys Ltd)81. Thermal displacement parameters were refined anisotropically for all non-hydrogen atoms. All the hydrogen atoms except for those on C70, C100, C137, C145 of terminal methoxy groups were located at calculated positions and the parameters were refined with a riding model. The data were corrected for disordered electron density of crystal solvents in void spaces by using the PLATON SQUEEZE method82. The crystal structure is shown in Fig. 4b. Crystallographic data of [Rh414(dmso-S)4]2 are summarized in Supplementary Table 7 and Supplementary Data 2.
Data availability
The data supporting the findings of this study are available within the article and its Supplementary Information and from the corresponding author upon reasonable request. The 1H and 13C{1H} NMR spectra of all substrates are available in Supplementary Data 1. The X-ray crystallographic coordinates for the structure reported in this Article have been deposited at the Cambridge Crystallographic Data Centre (CCDC), under deposition number CCDC 2223675 ([Rh414(dmso-S)4]2). The data can be obtained with reference to Supplementary Data 2 or free of charge from The Cambridge Crystallographic Data Centre via www.ccdc.cam.ac.uk/data_request/cif.
Code availability
All the numerical results shown in the present article were obtained with homemade program codes written in Fortran90, whose essential parts except the elementary reactions in specific network structures have already been given as the supplementary3. Source codes and the associated data are always available upon reasonable request to one of the authors (S.T.).
References
Dimmock, N. J., Easton, A. J. & Leppard, K. N. Introduction to Modern Virology, 7th Ed. Wiley-Blackwell, (2016).
Murata, S., Yashiroda, H. & Tanaka, K. Molecular mechanisms of proteasome assembly. Nat. Rev. Mol. Cell Biol. 10, 104–115 (2009).
Takahashi, S., Abe, T., Sato, H. & Hiraoka, S. Pathway bias and emergence of quasi-irreversibility in reversible reaction networks: Extension of Curtin-Hammett principle. Chem 9, 2971–2982 (2023).
Würthner, F., You, C.-C. & Saha-Möller, C. R. Metallosupramolecular squares: from structure to function. Chem. Soc. Rev. 33, 133–146 (2004).
Fujita, M., Yazaki, J. & Ogura, K. Preparation of a macrocyclic polynuclear complex, [(en)Pd(4,4′-bpy)]4(NO3)8 (en = ethylenediamine, bpy = bipyridine), which recognizes an organic molecule in aqueous media. J. Am. Chem. Soc. 112, 5645–5647 (1990).
Stang, P. J., Cao, D. H., Saito, S. & Arif, A. M. Self-assembly of cationic, tetranuclear, Pt(II) and Pd(II) macrocyclic squares. X-ray crystal structure of [Pt2+(dppp)(4,4′-bipyridyl)2–OSO2CF3]4. J. Am. Chem. Soc. 117, 6273–6283 (1995).
Stang, P. J., Olenyuk, B., Fan, J. & Arif, A. M. Combining ferrocenes and molecular squares: Self-assembly of heterobimetallic macrocyclic squares incorporating mixed transition metal systems and a main group element. Single-crystal X-ray structure of [Pt(dppf)(H2O)2][OTf]2. Organometallics 15, 904–908 (1996).
Würthner, F. & Sautter, A. Highly fluorescent and electroactive molecular squares containing perylene bisimide ligands. Chem. Commun. 445−446 (2000).
Sautter, A. et al. Ultrafast energy-electron transfer cascade in a multichromophoric light-harvesting molecular square. J. Am. Chem. Soc. 127, 6719–6729 (2005).
Sun, S.-S. & Lees, A. J. Self-Assembly triangular and square rhenium(I) tricarbonyl complexes: A comprehensive study of their preparation, electrochemistry, photophysics, photochemistry, and host−guest properties. J. Am. Chem. Soc. 122, 8956–8967 (2000).
Kraft, S., Hanuschek, E., Beckhaus, R., Haase, D. & Saak, W. Titanium-based molecular squares and rectangles: Syntheses by self-assembly reactions of titanocene fragments and aromatic N-heterocycles. Chem. Eur. J. 11, 969–978 (2005).
Cotton, F. A., Daniels, L. M., Lin, C. & Murillo, C. A. Square and triangular arrays based on Mo24+ and Rh24+ unit. J. Am. Chem. Soc. 121, 4538–4539 (1999).
Ning, G.-H. et al. Self-assembly and host−guest interaction of metallomacrocycles using fluorescent dipyrazole linker with dimetallic clips. Inorg. Chem. 49, 7783–7792 (2010).
Slone, R. V., Yoon, D. I., Calhoun, R. M. & Hupp, J. T. Luminescent rhenium/palladium square complex exhibiting excited state intramolecular electron transfer reactivity and molecular anion sensing characteristics. J. Am. Chem. Soc. 117, 11813–11814 (1995).
Woessner, S. M., Helms, J. B., Houlis, J. F. & Sullivan, B. P. Luminescent squares and rings based on metal-to-ligand charge transfer excited states. Inorg. Chem. 38, 4380–4381 (1999).
Goeb, S. et al. Phosphorescent self-assembled PtII tetranuclear metallocycles. Chem. Commun. 47, 4397–4399 (2011).
Janzen, D. E., Patel, K. N., VanDerveer, D. G. & Grant, G. J. Synthesis and structure of a platinum(II) molecular square incorporating four fluxional thiacrown ligands: The crystal structure of [Pt4([9]aneS3)4(4,4′-bipy)4](OTf)8. Chem. Commun. 3540−3542 (2006).
Liu, X., Stern, C. L. & Mirkin, C. A. Chemical origami: Formation of flexible 52-membered tetranuclear metallacycles via a molecular square formed from a hemilabile ligand. Organometallics 21, 1017–1019 (2002).
Teo, P., Koh, L. L. & Hor, T. S. A. Unusual coordination assemblies from platinum(II) thienyl and bithienyl complexes. Inorg. Chem. 42, 7290–7296 (2003).
Karthikeyan, S., Velavan, K., Sathishkumar, R., Varghese, B. & Manimaran, B. Self-assembly of manganese(I)-based molecular squares: Synthesis and spectroscopic and structural characterization. Organometallics 31, 1953–1957 (2012).
Sinha, N., Roelfes, F., Hepp, A. & Hahn, F. E. Single-step synthesis of organometallic molecular squares from NR,NR′,NR′′,NR′′′-substituted benzobiscarbenes. Chem. Eur. J. 23, 5939–5942 (2017).
Pradhan, S. & John, R. P. Self-assembled Pd6L4 cage and Pd4L4 square using hydrazide based ligands: Synthesis, characterization and catalytic activity in Suzuki–Miyaura coupling reactions. RSC Adv. 6, 12453–12460 (2016).
Balandier, J.-Y. et al. A self-assembled bis(pyrrolo)tetrathiafulvalene-based redox active square. New J. Chem. 35, 165–168 (2011).
Howlader, P., Bhandari, P., Chakraborty, D., Clegg, J. K. & Mukherjee, P. S. Self-assembly of a Pd8 macrocycle and Pd12 homochiral tetrahedral cages using poly(tetrazolate) Linkers. Inorg. Chem. 59, 15454–15459 (2020).
Schweiger, M., Seidel, S. R., Arif, A. M. & Stang, P. J. The self-assembly of an unexpected, unique supramolecular triangle composed of rigid subunits. Angew. Chem. Int. Ed. 40, 3467–3469 (2001).
Sautter, A., Schmid, D. G., Jung, G. & Würthner, F. A triangle−square equilibrium of metallosupramolecular assemblies based on Pd(II) and Pt(II) corners and diazadibenzoperylene bridging ligands. J. Am. Chem. Soc. 123, 5424–5430 (2001).
Schweiger, M., Seidel, S. R., Arif, A. M. & Stang, P. J. Solution and solid state studies of a triangle−square equilibrium: Anion-induced selective crystallization in supramolecular self-assembly. Inorg. Chem. 41, 2556–2559 (2002).
Ferrer, M., Mounir, M., Rossell, O., Ruiz, E. & Maestro, M. A. Equilibria between metallosupramolecular squares and triangles with the new rigid linker 1,4-bis(4-pyridyl)tetrafluorobenzene. Experimental and theoretical study of the structural dependence of NMR data. Inorg. Chem. 42, 5890–5899 (2003).
Yu, S.-Y. et al. Solution self-assembly, spontaneous deprotonation, and crystal structures of bipyrazolate-bridged metallomacrocycles with dimetal centers. Inorg. Chem. 44, 9471–9488 (2005).
Berben, L. A., Faia, M. C., Crawford, N. R. M. & Long, J. R. Angle-dependent electronic effects in 4,4′-bipyridine-bridged Ru3 triangle and Ru4 square complexes. Inorg. Chem. 45, 6378–6386 (2006).
Cotton, F. A., Murillo, C. A. & Yu, R. Dynamic equilibrium between cyclic oligomers. Thermodynamic and structural characterization of a square and a triangle. Dalton Trans. 3900−3905 (2006).
Ferrer, M. et al. Self-assembly reactions between the cis-protected metal corners (N−N)MII (N−N = ethylenediamine, 4,4′-substituted 2,2′-bipyridine; M = Pd, Pt) and the fluorinated edge 1,4-bis(4-pyridyl)tetrafluorobenzene. Inorg. Chem. 46, 3395–3406 (2007).
Sun, Q.-F. et al. Self-assembly, structures, and photophysical properties of 4,4′-bipyrazolate-linked metallo-macrocycles with dimetal clips. Inorg. Chem. 47, 2142–2154 (2008).
Weilandt, T., Troff, R. W., Saxell, H., Rissanen, K. & Schalley, C. A. Metallo-supramolecular self-assembly: the case of triangle-square equilibria. Inorg. Chem. 47, 7588–7598 (2008).
Holló-Sitkei, E., Tárkányi, G., Párkányi, L., Megyes, T. & Besenyei, G. Steric effects in the self-assembly of palladium complexes with chelating diamine ligands. Eur. J. Inorg. Chem. 2008, 1573–1583 (2008).
Ghosh, S. & Mukherjee, P. S. Self-assembled Pd(II) metallocycles using an ambidentate donor and the study of square−triangle equilibria. Inorg. Chem. 48, 2605–2613 (2009).
Ferrer, M., Pedrosa, A., Rodríguez, L., Rossell, O. & Vilaseca, M. New insights into the factors that govern the square/triangle equilibria of Pd(II) and Pt(II) supramolecules. Unexpected participation of a mononuclear species in the equilibrium. Inorg. Chem. 49, 9438–9449 (2010).
Chisholm, M. H., Patmore, N. J., Reed, C. R. & Singh, N. Oxalate bridged triangles Incorporating Mo24+ Units. Electronic structure and bonding. Inorg. Chem. 49, 7116–7122 (2010).
Voignier, J. et al. Transition-metal-complexed cyclic [3]- and [4]pseudorotaxanes containing rigid ring-and-filament conjugates: Synthesis and solution studies. Chem. Eur. J. 17, 5404–5414 (2011).
Goeb, S. et al. A BPTTF-based self-assembled electron-donating triangle capable of C60 binding. Chem. Commun. 48, 3106–3108 (2012).
Hashiguchi, R., Otsubo, K., Ohtsu, H. & Kitagawa, H. A novel triangular macrocyclic compound, [(tmeda)Pt(azpy)]3(PF6)6·13H2O (tmeda: tetramethylethylenediamine, azpy: 4,4′-azopyridine). Chem. Lett. 42, 374–376 (2013).
Jiang, X.-F., Hu, J.-H., Tong, J. & Yu, S.-Y. Coexistence of molecular Pd6 triangle and Pd8 square self-assembled from naphthyl-dipyrazole with di-palladium motifs. Inorg. Chem. Commun. 36, 232–235 (2013).
Gupta, G. et al. Self-assembled novel BODIPY-based palladium supramolecules and their cellular localization. Inorg. Chem. 56, 4615–4621 (2017).
Roy, B., Saha, R., Ghosh, A. K., Patil, Y. & Mukherjee, P. S. Versatility of two diimidazole building blocks in coordination-driven self-assembly. Inorg. Chem. 56, 3579–3588 (2017).
Saha, R., Sahoo, J., Venkateswarulu, M., De, M. & Mukherjee, P. S. Shifting the triangle–square equilibrium of self-assembled metallocycles by guest binding with enhanced photosensitization. Inorg. Chem. 61, 17289–17298 (2022).
Poole III, D. A., Bobylev, E. O., Mathew, S. & Reek, J. N. H. Entropy directs the self-assembly of supramolecular palladium coordination macrocycles and cages. Chem. Sci. 13, 10141–10148 (2022).
Foianesi-Takeshige, L. H. et al. Bifurcation of self-assembly pathways to sheet or cage controlled by kinetic template effect. Commun. Chem. 2, 128 (2019).
Tateishi, T. et al. Navigated self-assembly of a Pd2L4 cage by modulation of an energy landscape under kinetic control. J. Am. Chem. Soc. 141, 19669–19676 (2019).
Sakata, Y. et al. Metallonanobelt: A kinetically stable shape-persistent molecular belt prepared by reversible self-assembly processes. Inorg. Chem. 57, 15500–15506 (2018).
Burke, M. J., Nichol, G. S. & Lusby, P. J. Orthogonal selection and fixing of coordination self-assembly pathways for robust metallo-organic ensemble construction. J. Am. Chem. Soc. 138, 9308–9315 (2016).
Tashiro, S. et al. PdII-directed dynamic assembly of a dodecapyridine ligand into end-capped and open tubes: The importance of kinetic control in self-assembly. Angew. Chem., Int. Ed. 42, 3267–3270 (2003).
Liu, L. et al. Controllable reassembly of a dynamic metallocage: From thermodynamic control to kinetic control. Chem. Eur. J. 23, 456–461 (2017).
Yamanaka, M., Yamada, Y., Sei, Y., Yamaguchi, K. & Kobayashi, K. Selective formation of a self-assembling homo or hetero cavitand cage via metal coordination based on thermodynamic or kinetic control. J. Am. Chem. Soc. 128, 1531–1539 (2006).
Kumar, A. & Mukherjee, P. S. Multicomponent self-assembly of PdII/PtII interlocked molecular cages: Cage-to-cage conversion and self-sorting in aqueous medium. Chem. Eur. J. 26, 4842–4849 (2020).
Preston, D., Barnsley, J. E., Gordon, K. C. & Crowley, J. D. Controlled formation of heteroleptic [Pd2(La)2(Lb)2]4+ cages. J. Am. Chem. Soc. 138, 10578–10585 (2016).
Cotton, F. A., Daniels, L. M., Lin, C., Murillo C. A. & Yu, S.-Y. Supramolecular squares with Rh24+ corners. J. Chem. Soc., Dalton Trans. 502−504 (2001).
Bonar-Law, R. P., McGrath, T. D., Singh, N., Bickley, J. F. & Steiner, A. Dinuclear complexes as connectors for carboxylates. Self-assembly of a molecular box. Chem. Commun. 2457−2458 (1999).
Casas, J. M., Cayton, R. H. & Chisholm, M. H. Comments on the substitutional lability of the dimetal carboxylates of molybdenum and rhodium. Effects of M–M MO configuration. Inorg. Chem. 30, 358–360 (1991).
Davis, M. M. & Hetzer, H. B. Relative strengths of forty aromatic carboxylic acid in benzene at 25 ºC. J. Res. Natl. Bur. Stand. 60, 569–592 (1958).
Jover, J. Bosque, R. & Sales, J. QSPR prediction of pKa for benzoic acids in different solvents. QSAR Comb. Sci. 27, 563–581 (2008).
Tsujimoto, Y., Kojima, T. & Hiraoka, S. Rate-determining step in the self-assembly process of supramolecular coordination capsules. Chem. Sci. 5, 4167–4172 (2014).
Hiraoka, S. Self-assembly processes of Pd(II)- and Pt(II)-linked discrete self-assemblies revealed by QASAP. Isr. J. Chem. 59, 151–165 (2019).
Hiraoka, S., Takahashi, S. & Sato, H. Coordination self-assembly processes revealed by collaboration of experiment and theory: Toward kinetic control of molecular self-assembly. Chem. Rec. 21, 443–459 (2021).
Baba, A., Kojima, T. & Hiraoka, S. Self-assembly process of dodecanuclear Pt(II)-linked cyclic hexagon. J. Am. Chem. Soc. 137, 7664–7667 (2015).
Baba, A., Kojima, T. & Hiraoka, S. Quantitative analysis of the self-assembly process of hexagonal PtII macrocyclic complexes: Effect of the solvent and the components. Chem. Eur. J. 24, 838–847 (2018).
Matsumura, Y., Hiraoka, S. & Sato, H. A reaction model on the self-assembly process of octahedron-shaped coordination capsules. Phys. Chem. Chem. Phys. 19, 20338–20342 (2017).
Takahashi, S., Tateishi, T., Sasaki, Y., Sato, H. & Hiraoka, S. Towards kinetic control of coordination self-assembly: A case study of a Pd3L6 double-walled triangle to predict the outcomes by a reaction network model. Phys. Chem. Chem. Phys. 22, 26614–26626 (2020).
Takahashi, S., Sasaki, Y., Hiraoka, S. & Sato, H. A stochastic model study on the self-assembly process of a Pd2L4 cage consisting of rigid ditopic ligands. Phys. Chem. Chem. Phys. 21, 6341–6347 (2019).
Chisholm, M. H., Huffman, J. C. & Iyer, S. S. Some studies of the substitution chemistry of [Rh2(OAc)2(CH3CN)4][BF4]2 with monodentate and bidentate tertiary phosphines. J. Chem. Soc., Dalton Trans. 1483−1489 (2000).
Yoshimura, T., Umakoshi, K. & Sasaki, Y. Structural studies on the stepwise chelating processes of bidentate 2-(aminomethyl)pyridine and tridentate bis(2-pyridylmethyl)amine toward an acetate-bridged dirhodium(II) center. Inorg. Chem. 42, 7106–7115 (2003).
Zhao, J. & Yan, X. Rh(II)-based metal–organic polyhedra. Chem. Lett. 49, 659–665 (2020).
Chen, L. et al. A porous metal–organic cage constructed from dirhodium paddle-wheels: Synthesis, structure and catalysis. J. Mater. Chem. A 3, 20201–20209 (2015).
Furukawa, S. et al. Rhodium–organic cuboctahedra as porous solids with strong binding sites. Inorg. Chem. 55, 10843–10846 (2016).
Catalan, K. V., Mindiola, D. J., Ward, D. L. & Dunbar, K. R. A novel dirhodium compound with neutral, bridging 9-ethyladenine ligands. Inorg. Chem. 36, 2458–2460 (1997).
Gillespie, D. T. A general method for numerically simulating the stochastic time evolution of coupled chemical reactions. J. Comput. Phys. 22, 403–434 (1976).
Gillespie, D. T. Exact stochastic simulation of coupled chemical reactions. J. Phys. Chem. 81, 2340–2361 (1977).
Gillespie, D. T. A rigorous derivation of the chemical master equation. Phys. A Stat. Mech. Appl. 188, 404–425 (1992).
Gillespie, D. T. Stochastic simulation of chemical kinetics. Annu. Rev. Phys. Chem. 58, 35–55 (2007).
Sheldrick, G. M. SHELXT - Integrated space-group and crystal-structure determination. Acta Crystallogr., Sect. A 71, 3–8 (2015).
Sheldrick, G. M. Crystal structure refinement with SHELXL. Acta Crystallogr., Sect. C. 71, 3–8 (2015).
Dolomanov, O. V., Bourhis, L. J., Gildea, R. J., Howard, J. A. K. & Puschmann, H. OLEX2: A complete structure solution, refinement and analysis program. J. Appl. Crystallogr. 42, 339–341 (2009).
Spek, A. L. PLATON SQUEEZE: A tool for the calculation of the disordered solvent contribution to the calculated structure factors. Acta Crystallogr., Sect. C. 71, 9–18 (2015).
Acknowledgements
This work was supported by JSPS KAKENHI grant numbers 19H02731, 19K22196, 20K05417, 21K18974, 23H01970, and 23K04663 and the Asahi Glass Foundation.
Author information
Authors and Affiliations
Contributions
S.H. conceived the project. A.O. and N.S carried out the self-assembly of the Rh4L4 squares and their characterizations by NMR measurements and QASAP. A.O. crystallized [Rh414(dmso-S)4]2 and performed its X-ray analysis, and carried out a model reaction of the ligand exchange. N.S. carried out solution study on dimerization of Rh414 and the conversion of the Rh3L3 triangles into the Rh4L4 squares. S.T. carried out NASAP and S.T. S.H., and H.S. discussed the self-assembly pathway. S.H. prepared the manuscript and all authors discussed the results and commented on the manuscript.
Corresponding author
Ethics declarations
Competing interests
The authors declare no competing interests.
Peer review
Peer review information
Communications Chemistry thanks Feng Wang, Xuzhou Yan and the other, anonymous, reviewer(s) for their contribution to the peer review of this work. A peer review file is available.
Additional information
Publisher’s note Springer Nature remains neutral with regard to jurisdictional claims in published maps and institutional affiliations.
Rights and permissions
Open Access This article is licensed under a Creative Commons Attribution 4.0 International License, which permits use, sharing, adaptation, distribution and reproduction in any medium or format, as long as you give appropriate credit to the original author(s) and the source, provide a link to the Creative Commons license, and indicate if changes were made. The images or other third party material in this article are included in the article’s Creative Commons license, unless indicated otherwise in a credit line to the material. If material is not included in the article’s Creative Commons license and your intended use is not permitted by statutory regulation or exceeds the permitted use, you will need to obtain permission directly from the copyright holder. To view a copy of this license, visit http://creativecommons.org/licenses/by/4.0/.
About this article
Cite this article
Okazawa, A., Sanada, N., Takahashi, S. et al. Pathway selection in the self-assembly of Rh4L4 coordination squares under kinetic control. Commun Chem 6, 248 (2023). https://doi.org/10.1038/s42004-023-01053-7
Received:
Accepted:
Published:
Version of record:
DOI: https://doi.org/10.1038/s42004-023-01053-7
This article is cited by
-
Rational design of metal–organic cages to increase the number of components via dihedral angle control
Nature Communications (2024)






