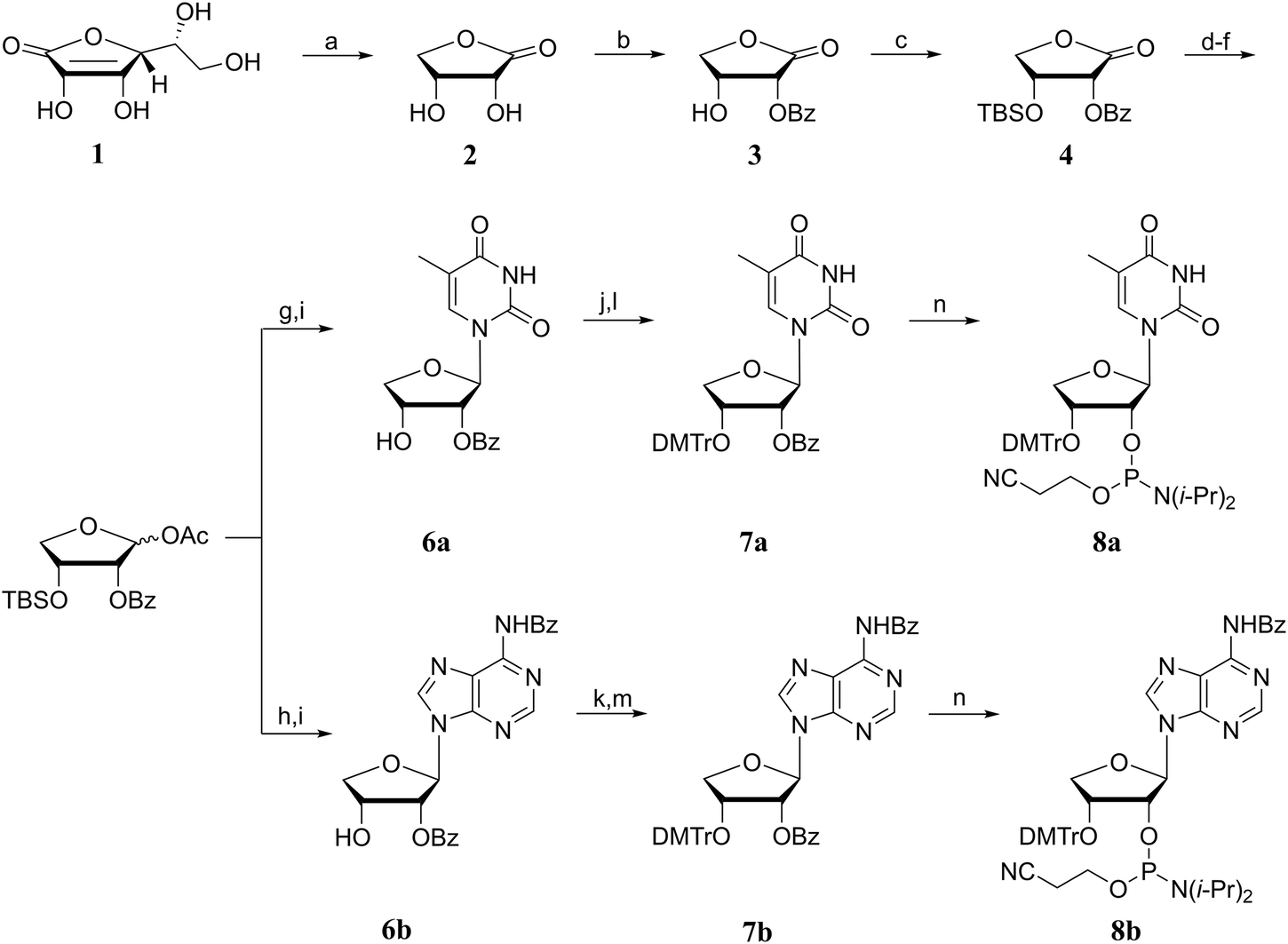
Fig. 3: Synthesis of eTNA phosphoramidites.

Reagents and conditions: a (1) Na2CO3, 30% aq. H2O2, H2O, 1 h, 0–40 °C; (2) active charcoal, 1 h, 40 °C; (3) Conc. HCl, pH = 1, 0.5 h, 0 °C, 70%; b benzoylchloride, 1:9 pyridine−CH2Cl2, 1 h, 0 °C, 60%; c tert-butyldimethylchlorosilane, imidazole, CH2Cl2, overnight, rt, 90%; d 1 M DIBAL-H in hexanes, anhydrous THF, 2.5 h, −78 °C; e sat. aq. potassium sodium tartrate, EtOAc, overnight, rt; f Ac2O, DMAP, CH2Cl2, 4 h, rt, 75% for three steps; g thymine, N,O-bis(trimethylsilyl)acetamide (BSA), trimethylsilyltriflate (TMSOTf), anhydrous acetonitrile, 1 h, rt to 60 °C; h N6-benzoyladenine, BSA, TMSOTf, anhydrous toluene, 2 h, 95 °C; i triethylaminetrihydrofluoride, THF, overnight, rt, 80% for 6a, 75% for 6b; j 4,4’-dimethoxytrityl chloride (DMTrCl), 4-dimethylaminopyridine (DMAP), pyridine, 6 h, 80 °C; k DMTrCl, DMAP, pyridine, overnight, 80 °C; l 1 M NaOH, 5:4 THF−MeOH, overnight, 0 °C to rt, 80%; m 1 M NaOH, 5:4 THF−MeOH, 7 h, 0 °C, 67%; n N,N-diisopropylethylamine, 2-cyanoethyl N,N-diisopropylchlorophosphoramidite, anhydrous CH2Cl2, 1 h, rt, 72% for 8a, 80% for 8b.