Abstract
Spirocyclic motifs are increasingly recognized as privileged scaffolds in drug discovery due to their unique three-dimensional architecture and favorable pharmacokinetic properties. Despite significant progress in the synthesis of carbo- and hetero-spirocycles, efficient methods for constructing oxa-spirocyclic frameworks remain underdeveloped. We present a one-step, cobalt(III)-catalyzed protocol for the synthesis of oxa-spirocyclic compounds using phenoxy acetamide and alkynes. The reaction is highly versatile, accommodating a range of functional groups on the aromatic ring and providing spirocyclic products in good to excellent yields. Substitutions at the quinone ring or internal alkyne prevent further cyclization, leading exclusively to the 1,2-carboamidated product. The carboamidation protocol is extended to unactivated olefins, and the subsequent acid-mediated post-synthetic modifications allow for the generation of complex three-dimensional structures. Kinetic studies and DFT calculations identify migratory insertion as the rate-determining step, with acetic acid assisting in the oxidative addition of the N–O bond and protodemetalation. This work provides a robust and efficient strategy for synthesizing oxa-spirocyclic compounds, showcasing the potential of cobalt(III) catalysis in complex molecular synthesis.

Similar content being viewed by others
Introduction
Spirocyclic scaffolds are prevalent in numerous natural products and biologically active compounds1,2,3,4,5,6. Their inherent structural rigidity holds promise for minimizing the conformational entropy cost associated with protein binding events7,8. This valuable feature has driven the increased adoption of contemporary methods to access spirocyclic scaffolds—an escape from the flatland aromatic compound9,10—in pharmaceutical research and medicinal chemistry11,12,13,14,15,16,17,18,19,20. Consequently, there is a notable surge in the exploration of sophisticated strategies aimed at the synthesis of spirocyclic compounds over the last decade3,21,22,23,24,25,26,27. Indeed, the field has experienced an extraordinary surge in the research output for carbo/hetero spirocycles, witnessing over 104 research articles and an impressive fifty thousand patents in the recent years8,15,28. However, the complementary oxa-spirocycles remained mostly dormant, and there are only sporadic reports were documented in the literature (Scheme 1a)29. Among them, Iodo cyclization30,31,32,33,34,35,36, ring-closing metathesis37,38, oxidative intramolecular hydroxy-cyclization catalyzed by [Au]39,40, [Rh]-catalyzed oxidative cyclization of oxyamines41, and [Pd]-catalyzed directing group assisted intramolecular C-H activation/oxidative cyclization42 are the methods explored to access oxa-spirocycles. These reactions are typically part of multistep processes, where the product or the intermediate of an initial reaction serves as the starting material for subsequent reactions43,44,45. This cascading sequence effectively minimizes the number of steps necessary for synthesizing intricate rigid spirocyclic molecules. Such cascade reaction involving C-H activation as first step of the reaction, followed by cyclization through sequential process is very rare, and only handful of reports were documented46,47,48,49. For example, Glorius and co-workers reported dearomatized oxaspirocyclopropane via ortho-C-H bond activation of phenol using Rh(III) catalyst (Scheme 1b)46. Li and coworkers reported oxa-fused heterocycles via alkyne 2,1-insertion/Diels–Alder sequence catalyzed by Rh(III)47. Subsequently, the same authors reported one-pot tandem rhodium-catalyzed C–H activation/intramolecular Diels–Alder reaction/1,3-dipolar cycloaddition cascade process to access oxa-fused decahydropyrene48,49,50,51,52,53,54,55,56,57,58. Recently, our group reported Cp*Co(III)-catalyzed synthesis of the fused oxacyclization via cascade C-H activation of quinoline followed by alkyne insertion and nucleophilic addition that led to cis-hydrobenzofurans59. Based on our previous work, we hypothesize that the phenoxy-N-acetamide can be used as substrate as well as traceless directing group, and the functional group present in the substrate will take part in the product via cascade nucleophilic substitution led to oxa-spirocyclic compounds in an atom-economical fashion60.
In line with our proposal, herein, we report the synthesis of oxa-spirocycle using Cp*Co(III) catalyst and N-Phenoxy acetamide as substrate with alkyne under mild conditions. The proposed reaction proceeds through Cp*Co(III)-catalyzed ortho-C-H activation of phenol from N-Phenoxy acetamide followed by insertion of alkyne and reductive elimination led to Co(I), which then undergo oxidative addition between O-N bond that would possibly lead to Phenoxy-Co-amido intermediate, which may likely undergo by cascade nucleophilic attack led to N-bound cobalt-oxa-spirocycles. This further undergo protodemetallation to provide the oxa-spirocycles (Scheme 1c).
Results and discussion
We initiated our investigation using N-phenoxy acetamide (1a) and 4-methyl-4-(prop-2-yn-1-yloxy)cyclohexa-2,5-dien-1-one (2a) as the model substrate (Table 1). The reaction employed Cp*Co(CO)I2 (10 mol%) as the catalyst, AgOTf (20 mol%) for ionization, K3PO4 (50 mol%), and CsOAc (50 mol%) as the base and carboxylate ligand, respectively, in 2,2,2- trifluoroethanol (TFE) (0.2 M) at 60 °C for 24 h, yielding the expected oxa-spirocyclic product 3aa in 89% yield (85% after isolation) (entry 1, Table 1). Control experiments revealed that the presence of the cobalt catalyst, silver salt, base, and carboxylate source is crucial for achieving a high yield, as omitting any one parameter affects the reaction outcome (entries 2–5, Table 1). Substituting the in situ-formed cationic cobalt complex with a preformed dicationic cobalt (III) catalyst, such as [Cp*Co(CH3CN)3](SbF6)2, had a detrimental effect on product formation, likely due to changes in the counter ion and the presence of coordinating solvent like acetonitrile bound to the metal, which could possibly slow down the reaction kinetics.
Brief solvent screening suggested that 2,2,2-trifluoroethanol (TFE) is the most effective solvent among those tested (entry 7). Furthermore, both increasing and decreasing the reaction temperature had a noticeable impact on product formation (entry 8). It’s noteworthy to mention that AgSbF6 and AgNTf2 were less effective than AgOTf for ionization in the cascade reaction (entry 9). Moreover, changes in the limiting reagent (1a/2a) and variations in the stoichiometry of the alkyne 2a adversely affected the reaction (entries 10–11). When other promising catalysts in C–H functionalization were examined under the optimized conditions, only traces amount of product 3aa was formed, indicating that cobalt seems to be the best metal catalyst in this cascade nucleophilic addition compared to other group 9 metals or its isoelectronic catalytic species (entries 12–15). Furthermore, a final set of control experiments were performed by protecting the nitrogen of acetamide group with methyl (1a-[N–Me]) or changing the phenoxy acetamide with N-acetyl phenyl hydrazine (1a-[N–H]) under standard conditions. Analysis of the reaction mixtures revealed that no reaction occurred in both the occasions suggesting that secondary amide N-H is necessary for the reaction to proceed, and phenoxy acetamide (O-N bond) cannot be replaced with other possible internal oxidant such as N-acetyl phenyl hydrazine (considering both N-N or N-O can acts as potential internal oxidant).
With the optimized conditions in hand, we explored the scope of the protocol to understand the generality and limitations of the reaction. A wide-range of N-Phenoxy amides (1) and 1,6-enynes (2) were evaluated, provided the corresponding oxa-spirocyclic compounds 3 in moderate-to-good yield (32–92%) with high diastereoselectivity of 15:1 as depicted Scheme 2a. Electron-rich substituents such as Me-, Et-, OMe, -CH2-OMe, OPh are amenable at the arene back bone of the phenol without compromise in the product formation (3ba–3fa). Similarly, electron-withdrawing groups such as Br-, F- Cl, CO2Me, Ph and naphthyl groups acceptable and the halogen derivatives were kept intact after the spirocyclization (3ga–3la). In the case of compound 3ha, the minor isomer resulting from the reverse migratory insertion (via the 1,2- versus 2,1-insertion pathway) was isolated in 9% yield (3ha’) (See the supporting information for more details). Substrates bearing strong electron-withdrawing groups such as cyano (-CN) at the para-position did not proceed under standard conditions. Furthermore, phenoxyacetamide derivatives synthesized from phenols bearing strongly electron-withdrawing groups—such as formyl (-CHO), acetyl, or nitro groups—could not be isolated, as the standard procedure fails to yield the corresponding phenoxyacetamide derivatives. Further, changing the protecting group of nitrogen from acetyl to -Ts (2m) or -COPh (2n) or -CO2tBu (2o) led to no conversion of 1 indicating that the acetyl protection is the optimum for a facile C-H bond activation/spirocyclization (3ma–3oa). Following the successful exploration of the N-phenoxy amides scope, a diverse array of cyclohexadiene-tethered 1,6-enynes was systematically investigated under our optimized reaction conditions, yielding products of moderate-to-good yields (3ab–3aj; Scheme 2b). Both 3ca and 3ja were structurally confirmed through X-ray crystallography. Notably, aromatic (Ph), and aliphatic groups (Cy-, iPr and -Et) substituted 1,6-enynes exhibited excellent compatibility, while the former groups afforded the moderate yields (3ab–3ae) and the latter (3ae) produced excellent mass of the spirocyclic compounds. Furthermore, unsymmetrical cyclohexadienones, known for their susceptibility to cleave under mild acidic conditions, surprisingly yielded the desired products despite bearing sensitive functional groups such as ester with varying length (3af–3ag), carbonate (3ah), -Br (3ai), and -OTBS (3aj). However, synthetically valuable synthons such as Quinone imine ketal (QIK) derived from cyclohexadiene-tethered 1,6-enynes failed to produce the desired cyclized product (3ak) under standard conditions indicating that the quinone is more favored over QIK. Subsequently, we examined the substrates containing substituents at the quinone ring affording the carboamidation of alkyne, however, it inhibits the further cascade cyclization to afford oxa-spirocycles, indicating that the olefin should be sterically unhindered. Building upon the success of the 1,2-carboamidation of alkynes, we sought to extend this methodology to π-olefins, using identical reaction conditions. The investigation revealed that unactivated alkenes derived from allyl alcohol, fenofibric acid, 3-carboxycoumarin and thymol exclusively yielded carboamidation products (4ab–4ae) where the amine moiety was consistently positioned at the terminal end, achieving high yields, as depicted in Scheme 2c.
Subsequently, we demonstrate the synthetic versatility of the spirocyclic product, as outlined in Scheme 3. We initiated the process by subjecting the spirocyclic compound 3aj to the deprotection of the alcohol from the silyl group using TBAF under mild conditions, yielding the alcohol. This intermediate subsequently underwent nucleophilic attack (desilylation followed by oxa-michael addition) in one pot, leading to the formation of the fused tetracyclic product 5 in 80% yield (Scheme 3a, (i)). A chemoselective reduction of the carbonyl moiety in highly functionalized molecules 3ag was performed by utilizing a combination of CeCl3 and NaBH4, resulting in the quantitative yield of reduced alcohol 6 chemoselectively (Scheme 3a, (ii)). While the terminal alkyne afforded the expected oxa-spirocyclic product 3 in good yield, the unsymmetrical internal alkyne tethered-cyclohexadienone (2a’) did not yield the spirocyclic product. Instead, it produced the carboamidation product 7 along with other unidentified minor isomers (Scheme 3b). The carboamidation product 7 was structurally characterized via X-ray crystallography. Further treatment of the reaction mixture with Brønsted acid (TsOH·H2O) led to an unusual cascade double Michael addition (oxa-Michael addition followed by aza-Michael addition), affording the intriguing product (8) in 11% yield which is further confirmed by X-ray crystallography, along with unidentified side product (Scheme 3b). Encouraged by the outcome obtained via cascade cyclization catalyzed by Brønsted acid, we subsequently explored cascade cyclization of the carboamidation product 3an under standard conditions, yielding tetracyclic compound 9 in quantitative yield (Scheme 3c).
We next performed few key controls experiment to understand the reaction pathways as depicted in Scheme 4. The radical quenching experiments were performed using TEMPO or BHT as a radical scavenger and the reaction was performed in the presence of stoichiometric amount of radical scavengers under standard conditions. The reaction afforded the spirocyclic product 3aa in 69% yield with 1 equiv. of TEMPO and 79% yield with the 1 equiv. of BHT, indicating that the reaction does not proceed through radical process or single electron transfer pathway (Scheme 4a). The competitive experiment was performed, and the results were in favor of electron rich-substituent present in the substrate over the electron-poor substituent suggesting that the C-H activation pathway likely proceeds through base-induced electrophilic substitution pathway (Scheme 4b). Subsequently, we conduct series of deuterium study to understand the mode of C-H activation. To gain further insight, we synthesized 99% deuterium incorporated amide by following the reported literature procedure and the isolated 1a-D was exposed under standard condition for H/D exchange study. The analysis of the crude reaction mixture revealed that the amide substrate undergoes reversible C-H activation, and the recovered starting material retains 35% deuterium (Scheme 4c). Next, we performed the kinetic isotopic analysis by running the two parallel sets of experiments. A primary kinetic isotope effect (KIE) value of 2.19 observed with substrate 1a-D through parallel experiments indicates that the C–H activation step is the rate-determining step of the reaction (Scheme 4d). Furthermore, the kinetic studies revealed that the reaction rate is first order with respect to amide, alkyne and catalyst suggesting that the concentration of these components is directly responsible for the reaction outcome (Scheme 4e). Based on the results obtained in the post-synthetic modification, a final control experiment was conducted with 1a and 2a under standard conditions using preformed cationic Cp*Co(III) catalyst in the absence of cesium acetate afforded the carboamidated product 7’ in 48% yield. Subsequently, the isolated carboamidation product 7’ was exposed to the reaction condition without cobalt catalyst affording the spirocyclic product 3aa in 92% yield, indicating that the latter is not a metal-catalyzed spirocyclization (Scheme 5).
Further, DFT calculations were also conducted to understand the reaction pathways (see supporting information for computation details). The outcome of the calculations indicate that the reaction mechanism is energetically more favorable in triplet pathway than the singlet pathway (Fig. 1a). Specifically, the precatalyst 3A is 19.99 kcal/mol more stable than 1A. The conversion of 3A to 3B involves an energy input of 8.79 kcal/mol. From 3B, the reaction proceeds via 3TS1 along a concerted metalation–deprotonation (CMD) pathway, with an activation barrier of 23.94 kcal/mol, leading to the formation of cobaltacycle 3C. The subsequent alkyne insertion step occurs through 1TS2, with the singlet transition state (1TS2) exhibiting an activation energy 1.74 kcal/mol lower than that of the triplet transition state (3TS2). However, 3D is more stable than 1D, suggesting that the alkyne insertion step is accompanied by a spin-state change from triplet to singlet at the transition state. The C–N reductive elimination step leading to the formation of intermediate 3E was evaluated for both singlet and triplet transition states. The triplet transition state (3TS3) is 14.16 kcal/mol lower in energy than the singlet transition state (1TS3). Upon formation of 3E, an oxidative addition step occurs to yield the carboamidated product 3F, facilitated by acetic acid via the 3TS4 pathway, with an activation barrier of 21.12 kcal/mol (Fig. 1b). An alternative pathway, involving double acetic acid assistance through 3TS5 (Fig. 1a), was also considered. However, this pathway is higher in energy, with a barrier of 22.66 kcal/mol. Further cyclization was mediated by the acid generated in situ- as can be confirmed by the control experiment shown in Scheme 5.
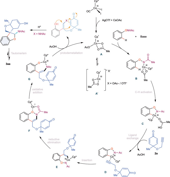
Based on the above mechanistic studies and literature precedent, a plausible catalytic cycle is outlined in Fig. 2. The catalytically active neutral complex Cp*Co(OAc)2 (A) was generated in situ through the reaction of the pre-catalyst Cp*Co(CO)I2 with CsOAc in the presence of AgOTf. The silver salt facilitates the abstraction of iodide, generating a cationic Cp*Co(III) intermediate, which exists in equilibrium with its neutral acetate-coordinated form. Substrate coordination occurs via ligand exchange, wherein the anionic nitrogen atom of the substrate 1a displaces a h1-coordinated acetate ligand, positioning the ortho C–H bond of the phenol in close proximity to the cobalt center. This spatial arrangement enables a concerted metalation-deprotonation (CMD) process, assisted by an acetate ligand, to form the cobaltacycle intermediate C. Subsequent coordination of an alkyne through ligand exchange with acetic acid leads to the insertion of the alkyne into the Co–C bond of intermediate C, affording the seven-membered alkenyl cobalt intermediate D. At this stage, a spin crossover from the triplet to singlet state is proposed to occur, facilitating the subsequent reductive elimination step. This pathway is energetically more favorable than proceeding through a high-valent cobalt(V)nitrene intermediate. The resulting Co(I) species undergoes oxidative addition across the N–O bond of the substrate in F, a step that is assisted by acetic acid.
Final protodemetallation furnishes the 1,2-carboamidated product. This intermediate then undergoes acid-mediated cascade cyclization to furnish the desired oxaspirocycle 3aa, with concurrent regeneration of the catalytically active Cp*Co(III)(OAc)2 species, thereby completing the catalytic cycle.
Conclusion
In summary, we report a one-step synthesis of oxa-spirocyclic compounds using phenoxy acetamide and alkynes under cobalt(III) catalysis. The reaction demonstrates broad scope, with various functional groups on the aromatic ring showing tolerance to the conditions, resulting in spirocyclic products in good-to-excellent yields. Substitution on the quinone ring or at the terminal position of the alkyne only leads to the formation of the carboamidated product, preventing further cyclization. This carboamidation strategy is also extended to unactivated olefins. Additionally, acid-mediated post-synthetic modifications allow for the formation of complex three-dimensional molecular structures in a single step. Control experiments, kinetic studies, and DFT calculations indicate that the rate-determining step is the migratory insertion, while the oxidative addition of the N–O bond followed by protodemetalation is facilitated by acetic acid.
Methods
General procedure for the synthesis of 3,3-oxaspirocycles via cobalt-catalyzed cascade C-H activation, carboamidation of alkynes
Cp*Co(CO)I2 (0.0095 gm, 0.02 mmol, 10 mol %), AgOTf (0.0102 gm, 0.04 mmol, 20 mol %), CsOAc (0.019 gm, 0.1 mmol, 50 mol %), K3PO4(0.021 gm, 0.1 mmol, 50 mol%) were taken in a 25 mL oven-dried Schlenk with a Teflon coated magnetic stir bar under argon atmosphere and followed by 2,2,2-trifluoro ethanol (TFE) (0.5 mL). Subsequently, N-Phenoxy acetamides 1 (0.2 mmol, 1 equiv.) and alkyne-tethered cyclohexadienone 2 (0.24 mmol, 1.2 equiv.) were added. The rest of the TFE (0.5 mL) was added into the tube. The closed Schlenk tube containing the reaction mixture was closed and placed in a preheated oil bath at 60 °C for 24 h. After 24 h the reaction mixture was allowed to cool to room temperature. Removal of solvent followed by column chromatography (Hexane/EtOAc or Et2O) on silica gel afforded functionalized cyclized product 3.
General catalytic procedure of Cp*Co(III)–catalyzed branch selective carboamination of un-activated alkene
Cp*Co(CO)I2 (0.0095 gm, 0.02 mmol, 10 mol %), AgOTf (0.0102 gm, 0.04 mmol, 20 mol %), CsOAc (0.019 gm, 0.1 mmol, 50 mol %), K3PO4(0.021 gm, 0.1 mmol, 50 mol%) were taken in a 25 mL oven-dried Schlenk with a Teflon coated magnetic stir bar under argon atmosphere and followed by 2,2,2-trifluoro ethanol (TFE) (0.5 mL). Subsequently, N-Phenoxy acetamides 1 (0.2 mmol, 1 equiv.) and un-activated alkene 3 (0.24 mmol, 1.2 equiv.) were added. The rest of the TFE (0.5 mL) was added into the tube. The closed Schlenk tube containing the reaction mixture was closed and placed in a preheated oil bath at 60 °C for 24 h. After 24 h, reaction mixture was allowed to cool to room temperature. Removal of solvent followed by column chromatography (Hexane/EtOAc) on silica gel afforded functionalized cyclized product 4.
Data availability
The data supporting the findings of this study are included in the paper or the Supplementary Information and are also available upon request from the corresponding author. Crystallographic data for the structures discussed in this article have been submitted to the Cambridge Crystallographic Data Center, with deposition number CCDCs 2407021 (3ca), 2407022 (3ja), 2407023 (4ab), 2407024 (7), and 2407028 (8) and further details can be accessed through supplementary data. Copies of the data can be accessed free of charge at https://www.ccdc.cam.ac.uk/structures/. The coordinates of the optimized structures are provided as source data.
References
Le et al. Synthesis and pharmacological evaluation of new pyrazolidine-3,5-diones as AT1 angiotensin II receptor antagonists. J. Med. Chem. 43, 2685–2697 (2000).
Warnick-Pickle, D. J., Byrne, K. M., Pandey, R. C. & White, R. J. Fredericamycin A, A new antitumor antibiotic II. Biological properties. J. Antibiot. 34, 1402–1407 (1981).
Müller, G., Berkenbosch, T., Benningshof, J. C. J., Stumpfe, D. & Bajorath, J. Charting biologically relevant spirocyclic compound space. Chem. Eur. J. 23, 703–710 (2017).
Renard, A., Lhomme & Kotera, J. M. Synthesis and properties of spiro nucleosides containing the barbituric acid moiety. J. Org. Chem. 67, 1302–1307 (2002).
Sandargo, B., Michehl, M., Stadler, M. & Surup, F. Antifungal sesquiterpenoids, rhodocoranes, from submerged cultures of the wrinkled peach mushroom, Rhodotus palmatus. J. Nat. Prod. 83, 720–724 (2020).
Heilmann, J., Winkelmann, K. & Sticher, O. Studies on the antioxidative activity of phloroglucinol derivatives isolated from Hypericum species. Planta Med 69, 202–206 (2003).
Zheng, Y. & Tice, C. M. The utilization of spirocyclic scaffolds in novel drug discovery. Expert Opin. Drug. Discov. 11, 831–834 (2016).
Zheng, Y., Tice, C. M. & Singh, S. B. The use of spirocyclic scaffolds in drug discovery. Bioorg. Med. Chem. 24, 3673–3683 (2014).
Lovering, F., Bikker, J. & Humblet, C. Escape from Flatland: increasing saturation as an approach to improving clinical success. J. Med. Chem. 52, 6752–6756 (2009).
Lovering, F. Escape from Flatland 2: complexity and promiscuity. Med. Chem. 4, 515–519 (2013).
Burkhard, J. A. et al. Synthesis of azaspirocycles and their evaluation in drug discovery. Angew. Chem. Int. Ed. 49, 3524–3527 (2010).
Xu, P.-W. et al. Catalytic enantioselective construction of spiro quaternary carbon stereocenters. ACS Catal. 9, 1820–1882 (2019).
Ding, A., Meazza, M., Guo, H., Yang, J. W. & Rios, R. New development in the enantioselective synthesis of spiro compounds. Chem. Soc. Rev. 47, 5946–5996 (2018).
Kotha, S., Panguluri, N. R. & Ali, R. Design and synthesis of spirocycles. Eur. J. Org. Chem. 5316–5342 (2017).
Carreira, E. M. & Fessard, T. C. Four-membered ring-containing spirocycles: synthetic strategies and opportunities. Chem. Rev. 114, 8257–8322 (2014).
Franz, A. K., Hanhan, N. V. & Ball-Jones, N. R. Asymmetric catalysis for the synthesis of spirocyclic compounds. ACS Catal. 3, 540–553 (2013).
Rios, R. Enantioselective methodologies for the synthesis of spiro compounds. Chem. Soc. Rev. 41, 1060–1074 (2014).
Kotha, S., Deb, A. C., Lahiri, K. & Manivannan, E. Selected synthetic strategies to spirocyclics. Synthesis 2, 165–193 (2009).
Pradhan, R., Patra, M., Behera, A. K., Mishra, B. K. & Behera, R. K. A synthon approach to spiro compounds. Tetrahedron 62, 779–828 (2008).
Sannigrahi, M. Stereocontrolled synthesis of spirocyclics. Tetrahedron 55, 9007–9071 (1999).
Espinosa, M., Noda, H. & Shibasaki, M. Synthesis of unprotected spirocyclic β-prolines and β-homoprolines by Rh-catalyzed C–H insertion. Org. Lett. 21, 9296–9299 (2019).
Floden, N. J. et al. Streamlined synthesis of C(sp3)-rich N-heterospirocycles enabled by visible-light-mediated photocatalysis. J. Am. Chem. Soc. 141, 8426–8430 (2019).
Siau, W.-Y. & Bode, J. W. One-step synthesis of saturated spirocyclic N-heterocycles with stannyl amine protocol (SnAP) reagents and ketones. J. Am. Chem. Soc. 136, 17726–17729 (2014).
Sveiczer, A. et al. Spirocycles as rigidified sp3-rich scaffolds for a fragment collection. Org. Lett. 21, 4600–4604 (2016).
Kirichok, A. A., Shton, I., Kliachyna, M., Pishel, I. & Mykhailiuk, P. K. 1-substituted 2-azaspiro[3.3]heptanes: overlooked motifs for drug discovery. Angew. Chem. Int. Ed. 56, 8865–8869 (2017).
Kirichok, A. A. et al. Synthesis of multifunctional spirocyclic azetidines and their application in drug discovery. Chem. Eur. J. 24, 5444–5449 (2018).
Fominova, K., Diachuk, T., Sadkova, I. V. & Mykhailiuk, P. K. Synthesis of 2,2-disubstituted spirocyclic pyrrolidines by intramolecular dieckmann condensation. Eur. J. Org. Chem. 2019, 3553–3559 (2019).
Undheim, K. Stereoselective reactions in preparation of chiral α-Heteraspiro[m.n]alkanes. Synthesis 47, 2497–2522 (2015).
Tang, S. T., Liu, Y., Gao, X., Wang, P., Huang, P. & Lei, A. Only one compound documented with oxa-spirocyclic structure, see Scheme 3, compound 3q. J. Am. Chem. Soc. 140, 6006–6013 (2018).
Sayago, F. J., Ángeles, Pradera, M., Gasch, C. & Fuentes, J. Expeditious synthesis of sulfoazetidine spiro-C-glycosides from ketose acetals. Tetrahedron 62, 915–921 (2006).
Roy, A., Achari, B. & Mandal, S. B. An easy access to spiroannulated glyco-oxetane, -thietane and -azetane rings: synthesis of spironucleosides. Tetrahedron Lett. 47, 3875–3879 (2006).
Nassar, Y. & Piva, O. A short route to access oxaspiro[n,3,3]propellanes. Org. Biomol. Chem. 18, 5811–5815 (2020).
Tamaru, Y., Kawamura, S. & Yoshida, Z. Iodo etherification of 4-penten-1,3-diols: stereoselective synthesis of cis 2-iodomethyl-3-hydroxytetrahydrofurans. Tetrahedron Lett. 26, 2885–2888 (1985).
Tredwell, M. et al. Fluorine-Directed Diastereoselective Iodocyclizations. Angew. Chem., Int. Ed. 47, 357–360 (2008).
Fominova, K. et al. Oxa-spirocycles: synthesis, properties and applications. Chem. Sci. 12, 11294–11305 (2021).
Zheng, T., Wang, X., Ng, W.-H., Steve Tse, Y.-L. & Yeung, Y.-Y. Catalytic enantio- and diastereoselective domino halocyclization and spiroketalization. Nat. Catal. 3, 993–1001 (2020).
Cernak, T. et al. Synthesis of oxaspiropiperidines as a strategy for lowering log D. Tetrahedron Lett. 52, 6457–6459 (2011).
Li, D. B., Rogers-Evans, M. & Carreira, E. M. Construction of multifunctional modules for drug discovery: synthesis of novel thia/oxa-azaspiro[3.4]octanes. Org. Lett. 15, 4766–4769 (2013).
Painter, T. O. et al. Skeletal diversification via heteroatom linkage control: preparation of bicyclic and spirocyclic scaffolds from N-substituted homopropargyl alcohols. J. Org. Chem. 78, 3720–3730 (2013).
Kumar, S. et al. Synthesis of a family of spirocyclic scaffolds: building blocks for the exploration of chemical space. J. Org. Chem. 78, 6529–6539 (2013).
Escudero, J., Bellosta, V. & Cossy, J. Rhodium-catalyzed cyclization of O,ω-unsaturated alkoxyamines: formation of oxygen-containing heterocycles. Angew. Chem. Int. Ed. 57, 574–578 (2018).
Kim, Y. et al. Stereoselective construction of sterically hindered oxaspirocycles via chiral bidentate directing group-mediated C(sp3)–O bond formation. Chem. Sci. 9, 1473–1480 (2018).
Pounder, A., Neufeld, E., Myler, P. & Tam, W. Transition-metal-catalyzed domino reactions of strained bicyclic alkenes. Beilstein J. Org. Chem. 19, 487–540 (2023).
Tietze, L. F. Domino reactions in organic synthesis. Chem. Rev. 96, 115–136 (1996).
Wasilke, J.-C., Obrey, S. J., Baker, R. T. & Bazan, G. C. Concurrent tandem catalysis. Chem. Rev. 105, 1001–1020 (2005).
Wang, X. et al. Unprecedented dearomatized spirocyclopropane in a sequential rhodium(III)-catalyzed C−H activation and rearrangement reaction. Angew. Chem. Int. Ed. 57, 5520–5524 (2018).
Zhou, X., Pan, Y. & Li, X. Catalyst-controlled regiodivergent alkyne insertion in the context of C−H activation and Diels–Alder reactions: synthesis of fused and bridged cycles. Angew. Chem. Int. Ed. 56, 8163–8167 (2017).
Lin, H. & Dong, L. One-pot synthesis of decahydropyrene via tandem C–H activation/intramolecular diels–alder/1,3-dipolar cycloaddition. Org. Lett. 18, 5524–5527 (2016).
Xie, F., Yu, S., Qi, Z. & Li, X. Nitrone directing groups in rhodium(III)-catalyzed C−H activation of arenes: 1,3-dipoles versus traceless directing groups. Angew. Chem. Int. Ed. 55, 15351 (2016).
Jung, H. et al. Mechanistic snapshots of rhodium-catalyzed acylnitrene transfer reactions. Science 381, 525–532 (2023).
Yi, W. et al. Rh(III)-catalyzed and solvent-controlled chemoselective synthesis of chalcone and benzofuran frameworks via synergistic dual directing groups enabled regioselective C–H functionalization: a combined experimental and computational study. ACS Catal. 8, 9508–9519 (2018).
Zhang, S. et al. Mask and release strategy-enabled diversity-oriented synthesis for DNA-encoded library. Adv. Sci. 11, 2307049 (2024).
Wang, X., Gensch, T., Lerchen, A., Daniliuc, C. G. & Glorius, F. Cp*Rh(III)/bicyclic olefin cocatalyzed C–H bond amidation by intramolecular amide transfer. J. Am. Chem. Soc. 139, 6506–6512 (2017).
Yang, Y.-F., Houk, K. N. & Wu, Y.-D. Computational exploration of RhIII/RhV and RhIII/RhI catalysis in rhodium(III)-catalyzed C–H activation reactions of N-phenoxyacetamides with alkynes. J. Am. Chem. Soc. 138, 6861–6868 (2016).
Wu, Y., Chen, Z., Yang, Y., Zhu, W. & Zhou, B. Rh(III)-catalyzed redox-neutral unsymmetrical C–H alkylation and amidation reactions of N-phenoxyacetamides. J. Am. Chem. Soc. 140, 42–45 (2018).
Ozols, K., Onodera, S., WozÅLniak, Ł. & Cramer, N. Cobalt(III)-Catalyzed Enantioselective Intermolecular Carboamination by C−H Functionalization. Angew. Chem. Int. Ed. 60, 655–659 (2021).
Nanda, T., Dhal, S. K., Das Adhikari, G. K., Prustyab, N. & Ravikumar, P. C. Carboamination and olefination: ortho C–H functionalization of phenoxyacetamide. Chem. Commun. 59, 8818–8821 (2023).
Nanda, T. et al. Breaking the monotony: cobalt and maleimide as an entrant to the olefin-mediated ortho C–H functionalization. ACS Catal. 12, 11651–11659 (2022).
Garai, B., Ali, R. A., Mandal, R. & Sundararaju, B. Cp*Co(III)-catalyzed C(8)-nucleophilic cascade cyclization of quinoline N-oxide with 1,6-enyne. Org. Lett. 25, 2018–2023 (2023).
Trost, B. M. The atom economy—a search for synthetic efficiency. Science 254, 1471–1477 (1991).
Acknowledgements
We gratefully acknowledge SERB (CRG/2020/001282) for research funding to B.S. and IITK for infrastructure. B.G. acknowledges PMRF for his fellowship.
Author information
Authors and Affiliations
Contributions
B.G. and B.S. conceived the concept. B.G. and M.R.A. performed all the reactions and analyzed the products. J.R.P. designed and performed all the computational studies and analyze the results. B.G. performed X-ray diffraction analysis and analyzed the structure. The manuscript was written through contribution of all authors.
Corresponding author
Ethics declarations
Competing interests
The authors declare no competing interests.
Peer review
Peer review information
Communications Chemistry thanks the anonymous reviewers for their contribution to the peer review of this work. Peer review reports are available.
Additional information
Publisher’s note Springer Nature remains neutral with regard to jurisdictional claims in published maps and institutional affiliations.
Rights and permissions
Open Access This article is licensed under a Creative Commons Attribution-NonCommercial-NoDerivatives 4.0 International License, which permits any non-commercial use, sharing, distribution and reproduction in any medium or format, as long as you give appropriate credit to the original author(s) and the source, provide a link to the Creative Commons licence, and indicate if you modified the licensed material. You do not have permission under this licence to share adapted material derived from this article or parts of it. The images or other third party material in this article are included in the article’s Creative Commons licence, unless indicated otherwise in a credit line to the material. If material is not included in the article’s Creative Commons licence and your intended use is not permitted by statutory regulation or exceeds the permitted use, you will need to obtain permission directly from the copyright holder. To view a copy of this licence, visit http://creativecommons.org/licenses/by-nc-nd/4.0/.
About this article
Cite this article
Garai, B., Ali, M.R., Premkumar, J.R. et al. Synthesis of 3,3-oxaspirocycles via cobalt-catalyzed cascade C-H activation and carboamidation of alkynes. Commun Chem 8, 198 (2025). https://doi.org/10.1038/s42004-025-01580-5
Received:
Accepted:
Published:
Version of record:
DOI: https://doi.org/10.1038/s42004-025-01580-5









G were calculated at M06/6-311++G(d,p),SDD+SMD(TFE)//B3LYP/631G(d),LAN2DZ level of theory.