Scheme 1
From: Synthesis, biological evaluation and clinical trials of Cereblon-based PROTACs

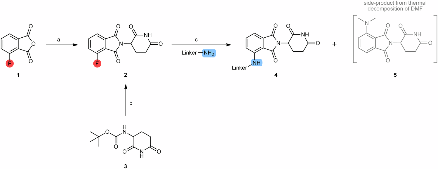
Chemical synthesis of pomalidomide-based PROTACs from 3-fluorophtalic anhydride. Reagents and conditions: a1 3-aminopiperidine-2,6-dionehydrochloride, triethylamine, THF, 80 °C; a2 3-aminopiperidine-2,6-dionehydrochloride, sodium acetate, acetic acid, 140 °C, 12 h; b 1, sodium acetate, acetic acid, reflux, 6 h; c DIPEA, DMF or DMSO, 90 °C to 130 °C, 6 to 16 h (depending on the type of linker).