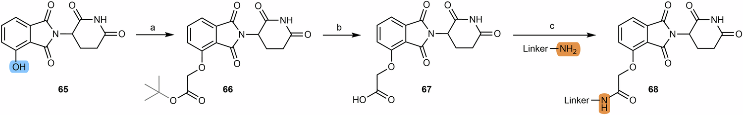
Scheme 10
From: Synthesis, biological evaluation and clinical trials of Cereblon-based PROTACs

Chemical synthesis of two-carbon spacer 4-hydroxythalidomide based PROTACs. Reagents and conditions: a1 tert-butyl 2- hydroxyacetate, triphenylphosphine (PPh3), di-tert-butyl azodicarboxylate (DTBAD), THF, 0 °C to rt, overnight; a2 tert-butyl bromoacetate, potassium iodide, potassium bicarbonate, DMF, 60 °C, 12 h; a3 tert-butyl bromoacetate, potassium bicarbonate, DMF, rt, 2 h; a4) benzyl glycolate, triphenylphosphine (PPh3), diisopropyl azodicarboxylate (DIAD), THF, 0 °C to rt, 18 h; b1 Formic acid, dichloromethane, 40 °C, overnight; b2 Trifluoroacetic acid, rt, 4 h; b3 Palladium on Carbon (Pd/C), H2, methanol, rt, 3 h, quant.; c1 i. Thionyl chloride, DMF or THF, reflux, 4 h; ii. THF, reflux, various times depending on the type of linker (4 h to overnight); c2 HOBT, EDC, triethylamine, THF or DMF, rt, 24 h (time varies depending on the type of linker); c3 HATU, DIPEA, DMF, rt, 24 h (time varies depending on the type of linker).