Fig. 8: QD-based PEC system for efficient H2O2 generation.
From: Role of quantum dots in photoelectrocatalytic technology

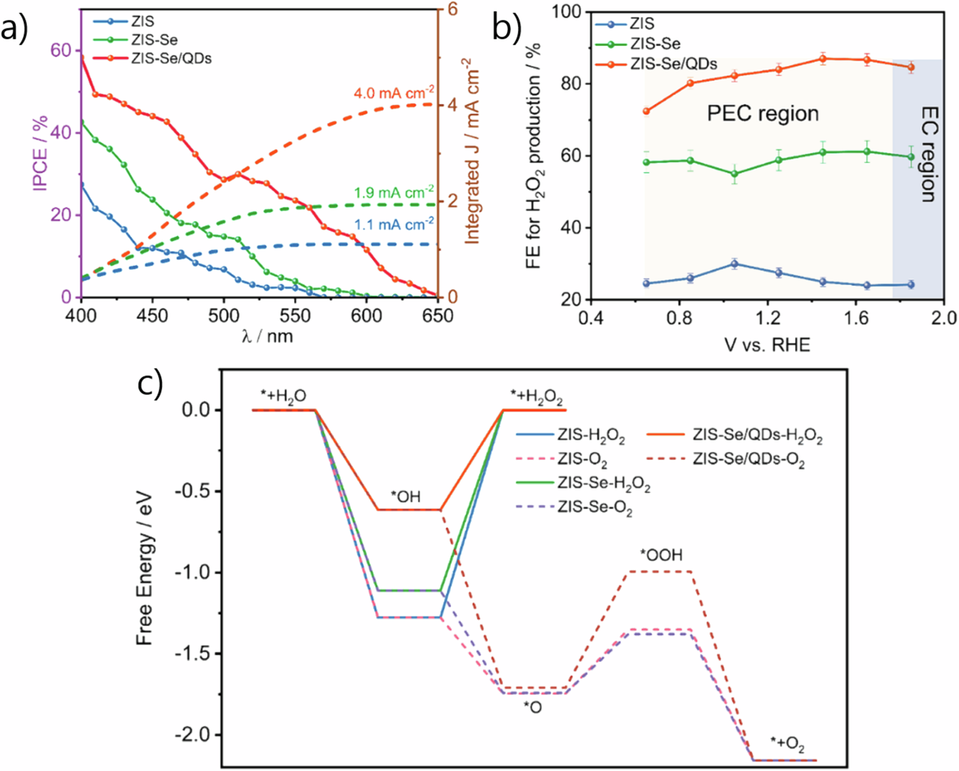
a IPCE spectra for Se-doped ZnIn2S4 (ZIS) photoanode decorated with triple-structured InP/GaP/ZnSe QDs (ZIS-Se/QDs), compared with ZIS-Se and bare ZIS, along with their integrated photocurrent density at 1.23 V vs. RHE. b FE for H2O2 production. c Free energy diagram for water oxidation pathways. Figures reproduced with permission from ref. 121. Copyright 2024, Elsevier.