Abstract
Carbon removal and emission reductions simultaneously play a decisive role in carbon neutrality. Yet, different from the structural upgrades in emission reduction, carbon removal through afforestation often heavily relies on specific geographical space. Although carbon neutrality pathways that overlook spatial details play a significant role, the challenge of spatiotemporal equilibrium linked with carbon neutrality exacerbates the economic risks of joint abatement by both parties. Here, we assessed cost-optimal pathways for afforestation in China up to 2060 by incorporating marginal abatement cost curves derived from spatial decomposition of afforestation into a dynamic multi-model analysis of joint abatement. Our findings reveal that afforestation needs to play an increasingly important role in climate mitigation from 2020 to 2060, while the share of emissions reduction needs to gradually decrease. Afforestation policies and actions under carbon neutrality should be coordinated with emissions reduction efforts, aiming to achieve cost-optimal joint abatement, which can be an important source of climate mitigation efforts and address the financial challenges of carbon neutrality. Moreover, the intertemporal cost-optimal maps to carbon neutrality through afforestation observed significant spatiotemporal variability of cost-optimal areas. Hence, focusing afforestation efforts on cost-optimal areas during specific periods can be another important way of addressing the financial challenges.
Similar content being viewed by others
Introduction
China has committed to the world its ambitious goal of achieving carbon neutrality by 20601,2, which is a key part of its commitment of reaching the goals of the Paris Agreement. Strict CO2 emission limits seem to be the only option to achieve this goal3,4. Given the high economic costs of these strict limits, achieving carbon neutrality targets without active afforestation to remove CO2 from the atmosphere will severely hamper economic development5. However, cost variations across time and space of afforestation and emission reduction add complexity to this problem6,7,8, which increases the economic risk of mitigating climate through joint abatement between emission reduction and afforestation. Over-reliance on either approach (emission reduction or afforestation) will lead to excessive abatement and cost overruns, as the marginal cost increases with abatement9,10,11.
A plethora of integrated assessment models (IAMs) have already been developed to explore different climate change mitigation pathways through aggregation at the regional level (the World, five, and 32 macro-regions)12,13,14,15,16. However, a central challenge of IAMs is to incorporate the relevant spatial details through modeling to capture and ensure consistency with spatially varying feedbacks and interactions across scale—a condition economists refer to as spatial equilibrium17,18. In fact, the regional aggregations of IAMs12,13,14,15,16 cannot generate cost-effectiveness maps based on spatial equilibrium to inform afforestation actions and policies at particular places and times19,20,21; that is, CO2 removal through afforestation at various costs-per-ton at particular places and times. Differently from the transportation, electricity, and energy sectors—which can reduce emissions through structural and technological upgrading—afforestation often heavily relies on specific geographical space22,23,24. Therefore, to dispel spatial ambiguities in specific afforestation actions under climate ambitions, it is imperative to further develop an optimized linkage between budgeted afforestation regions and climate objectives, on the premise of cross-departmental synergistic optimization.
More importantly, the variety of projections for future pathways in different studies frequently produce widely divergent and puzzling results25, which have sparked widespread debate on the suitability of IAMs for long-term planning26,27. For instance, the mitigation pathways by IAMs were found to exhibit a mismatch of up to approximately 5.5 GtCO2 yr−1 globally in the land module28. It is a challenge for decision-makers to implement precise actions and policies based on results with significant disparities27. Therefore, it is imperative to conduct variance and uncertainty analysis among models by constructing a dynamic multi-model analysis framework to generate consistent conclusions, further clarifying feasible directions for decision-makers in the future. However, there is a lack of assessment and methodologies specifically focused on evaluating the optimal afforestation pathways in China aimed at carbon neutrality goals. Although current IAMs—including IMAGE WITCH, CGE, GCAM, MESSAGE-GLOBIOM, POLES, and REMIND—make scenario assumptions and simulations regarding land cover globally29,30,31,32,33,34,35,36, the optimal pathway for China to mitigate climate through afforestation is not clear. The land module of IAMs, built on an oversimplified logic (people are rational optimizers of scarce resources), lacks an ecosystem module closely associated with the land13,18,37,38 and also fails to establish a clear relationship with ecosystems27. Given that these challenges currently remain unresolved, we sought to fill these knowledge gaps.
We constructed a dynamic multi-model analysis framework of joint abatement between emission reduction and afforestation sectors (DMF-EA) and incorporated dynamic marginal abatement cost (MAC) curves derived from spatial decomposition into the multi-model analysis framework to achieve spatial-temporal optimization for climate mitigation through afforestation, based on cross-departmental (overall) synergistic collaboration and spatial equilibrium under a carbon neutrality target. First, we estimated the dynamic marginal cost curves of CO2 removal through afforestation (MCA) by revising a spatial decomposition approach39 including spatial biophysical and socio-economic details, as well as a forest growth module. Second, we estimated the dynamic marginal cost of emission reduction (MCER) based on multi-model analysis (seven models). Third, we estimated the optimal emission reductions and CO2 removal through afforestation under China’s carbon-neutral target through a cross-sectoral (MCA and MCER) multi-model optimization analysis to achieve optimized linkage among afforestation space, cross-departmental collaboration, and carbon neutrality target. Fourth, based on the overall optimization under the carbon neutrality target, we further conducted spatial equilibrium and generated cost-effectiveness maps of mitigating climate through afforestation. Our findings are insightful and informative for prioritizing the most cost-effective actions of mitigating climate change through afforestation in both cross-department and spatial-temporal dimensions, and in identifying the need for future and global research.
Results
Optimal economic cost to achieve carbon neutrality through afforestation
We constructed a dynamic multi-model analysis framework of joint abatement between afforestation and emission reduction sectors to capture the dynamics of MACs and estimate the cost-optimal contribution of afforestation and emission reduction sectors (Fig. 1; Supplementary Fig. 5). Our findings indicate that, while achieving carbon neutrality targets through emission reductions alone (the non-joint abatement pathway) is biophysically feasible, this would impose an unsustainable economic burden (2020–2030: US$104.52 tCO2−1, 2030–2040: US$286.56 tCO2−1, 2040–2050: US$472.82 tCO2−1, 2050–2060: US$662.35 tCO2−1). As emission reductions deepen, the marginal cost of emission reductions will rise rapidly from 2020 (US$104.52 tCO2−1) to 2060 (US$662.35 tCO2−1), a trend confirmed by all models. However, the cost-optimal joint abatement pathway between emission reduction and afforestation will significantly reduce marginal abatement costs. We projected that the marginal abatement cost of the cost-optimal joint abatement pathway between emission reduction and afforestation is US$84.93 tCO2−1 with the range of US$45.53 ~ 124.34 tCO2−1 in 2020–2030, which is higher than the carbon price (2020–2023: US$8.60 ~ 9.52 tCO2−1) of the national carbon trading market in China40,41 and is close to the EU carbon permits price42,43 (2020–2023: US$17.83 ~ 112.21 tCO2−1). Compared to relying on emission reduction alone (Fig. 1; Supplementary Fig. 5), the MACs of the cost-optimal joint abatement pathway in general show a significant reduction (2020–2030: US$84.93 tCO2−1, 2030–2040: US$232.84 tCO2−1, 2040–2050: US$361.56 tCO2−1, 2050–2060: US$447.08 tCO2−1). Notably, our results find that the cost-optimal joint abatement pathway will reduce MACs only to a very limited extent (US$19.59 tCO2−1) in 2020–2030; that is, the cost advantage of afforestation for climate mitigation is limited due to the extensive low-cost opportunities for emission reductions during the same period (Supplementary Fig. 1). However, the cost-optimal joint abatement pathway reduces MACs from 2030 to 2060 by an order of magnitude (2030–2040: US$53.72 tCO2−1, 2040–2050: US$111.26 tCO2−1, 2050–2060: US$215.27 tCO2−1) because the low-cost space for emission reduction, which is widely exploited in the early stages, rapidly shrinks from 2030 to 2060 (Supplementary Figs. 2–4).
Our findings show that the marginal cost curves of CO2 removal through afforestation, estimated through the spatial decomposition (spatial equilibrium) method, exhibit significant inconsistencies in both trend and dynamic logic compared to marginal cost curves of emission reduction estimated through IAMs (Supplementary Fig. 1–4). This confirms that marginal cost curves of CO2 removal through afforestation estimated by IAMs lacking spatial details and biophysical modules may lead to substantial estimation errors. Moreover, except for the marginal cost curves of afforestation, all models agree that the marginal cost curves of emission reduction would be gradually moving upwards from 2020–2030, 2030–2040, 2040–2050, to 2050–2060. Overall, the marginal cost curve of afforestation is steeper than the marginal cost curve of emission reduction for the same period. Furthermore, the intertemporal variations in the MCER differ significantly from those in the MCA. These discrepancies indicate that the combination of spatial equilibrium and cross-sectoral equilibrium will enable us to capture the most cost-effective future afforestation and emission reduction actions under the carbon-neutral goal.
Cost-optimal pathways to achieve carbon neutrality through afforestation
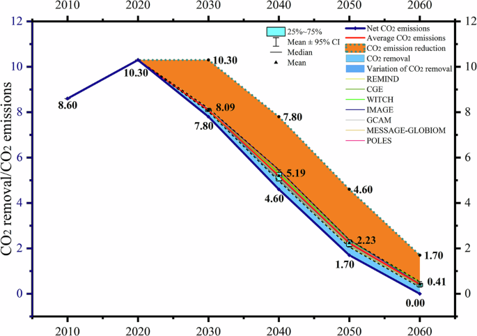
Based on the multi-model equilibrium analysis between afforestation and emission reduction (Supplementary Fig. 1–4), we estimated the cross-model cost-optimal joint abatement pathway between emission reduction and afforestation (Figs. 2–3; Table 1). The results of the cost-optimal joint abatement pathway find that emission reduction plays a dominant role in 2020–2060, while afforestation plays a minor role in climate change mitigation (Fig. 4). CO2 emissions need to be significantly reduced from 2020 (10.30 GtCO2 yr−1) to 2060 (0.41 GtCO2 yr−1) to achieve carbon neutrality by 2060, a finding consistent with other regional studies25,37. In 2060, CO2 emissions need to decrease by at least 94.83% compared to 2020 (Fig. 2). More importantly, our results (Figs. 2–3) of cost-optimal joint abatement pathway find that afforestation gradually plays a more important role (rising from 11.47% to 23.85% from 2020 to 2060) in climate change mitigation from 2020 to 2060, while the share of emissions reduction is gradually decreasing (from 88.53 to 76.15%). Our findings, based on the multi-model equilibrium analysis incorporating both spatial and cross-sectoral equilibrium, show that afforestation plays significantly different and progressively higher roles during different periods of carbon neutrality, a result that differs from that of conventional IAMs. This is largely due to the inability of traditional IAMs12,13,14,15,16—which ignore spatial detail, spatial equilibrium, and biophysical modules—to capture inter-period variations in afforestation costs. While traditional IAMs12,13,14,15,16 that attempt to cover all sectors are important for exploring the overall pathway to carbon neutrality, the errors and limitations resulting from a lack of specific details and targeted afforestation in these models cannot be ignored. Our results confirm that capturing spatial and afforestation details to achieve joint abatement (with spatial equilibrium) between the afforestation and emission reduction sectors will contribute to achieving carbon neutrality at a lower cost in the future.
A Cost-optimal CO2 removal through afforestation. B Cost-optimal CO2 emission reduction. C CO2 removal through afforestation as a percentage of total abatement. D Emission reductions as a percentage of total abatement. Enhanced carbon removal refers to the increase in CO2 removal in the previous decade. Emission reduction refers to the decrease in emissions in the previous decade.
A Total abatement cost reduction caused by the cost-optimal joint abatement pathway. B Percentage reduction of total abatement costs caused by the cost-optimal joint abatement pathway. C The dotted line represents the total abatement costs based on various models under the non-joint abatement pathway without afforestation based on various models; the solid line represents the total abatement costs under the cost-optimal joint abatement pathway based on various models. Cyan spectral shading is the range of total abatement costs under the non-joint abatement pathway without afforestation. Orange spectral shading is the range of total abatement costs under the cost-optimal joint abatement pathway between emission reduction and afforestation.
Moreover, our results indicate that the high economic costs caused by the non-joint abatement pathway without afforestation may hinder China from effectively achieving its carbon neutrality goal by 2060. The total cost of achieving carbon neutrality through the non-joint abatement pathway without afforestation amounts to as much as US$2,691.40 billion (mean values after the analysis of variance; Supplementary Fig. 6B), equivalent to 17.25% of China’s GDP in 2020. All models confirm the high economic costs caused by the non-joint abatement pathway without afforestation, despite the cross-model differences (the total cost: US$978.85 ~ 4686.09 billion, 6.27 ~ 30.03% of GDP). Given that China is the world’s largest developing country and carbon emitter, the high economic cost is a significant financial challenge to achieving carbon neutrality, as China has to allocate a large portion of its funds to address other important social issues such as food security, poverty, unemployment, and disasters44,45,46.
Our multi-model equilibrium analysis incorporating both spatial equilibrium and biophysical modules finds that the cost-optimal joint abatement pathway between emission reduction and afforestation will contribute to addressing this significant financial challenge. Compared to the non-joint abatement pathway, the cost-optimal joint abatement pathway will significantly reduce the economic costs of achieving carbon neutrality in China (average total cost reduction: US$728.94 billion, 27.08% of total cost; Fig. 5). Moreover, our findings indicate that the cost advantage of afforestation compared to emission reduction exhibits significant temporal variability—that is, the reduction in total abatement cost due to afforestation shows significant temporal differences in 2020–2060. The total cost savings achieved by the cost-optimal joint abatement pathway between emission reduction and afforestation amount to only US$22.52 billion in 2020–2030, consistently with the current policy emphasizing emission reduction through industrial restructuring and upgrading in China47. However, the cost-optimal joint abatement pathway will lead to a significant leap (2020–2030: US$22.52 billion; 2030–2040: US$153.05 billion; 2040–2050: US$260.69 billion; 2050–2060: US$292.69 billion) in total cost savings from 2020 to 2060 (Fig. 4A–C, Supplementary Table 1). The corresponding total cost savings proportion will increase from 14.55% in 2020–2030 to 26.58% in 2050–2060. This result indicates that afforestation should not play a stable role but should adjust and increase its contribution according to different periods in future carbon neutrality efforts, contrary to what traditional IAMs models suggest37,48. Our results highlight that as deep decarbonization progresses, afforestation should play a more significant role in addressing financial challenges of achieving carbon neutrality. Meanwhile, in the early stages of achieving carbon neutrality, it is essential to fully emphasize and leverage the contribution of emission reduction through industrial restructuring and upgrading, given the widespread low-cost (or even negative-cost) opportunities (Supplementary Table 1; Fig. 4; references of Enkvist et al.49; Supplementary Fig. 6) of emission reduction in 2020–2030. In addition, the IPCC Sixth Assessment Report also emphasizes the significant challenge posed by residual emissions in achieving carbon neutrality50. In fact, although there are widespread low-cost (or even negative-cost) emission reduction opportunities in the early stages of achieving carbon neutrality, many sectors—including aviation, agriculture, chemicals, steel, and cement—are unable to achieve zero emissions in the later stages50,51,52; that is, even increases in investment by orders of magnitude cannot effectively resolve residual emissions53. More importantly, the economic and technical infeasibility50,53,54 of achieving zero emissions forces reliance on CO2 removal through afforestation to offset residual emissions52.
Cost-optimal areas to achieve carbon neutrality through afforestation
An essential step in operationalizing the cost-optimal pathway of afforestation from ambition to implementation is to identify cost-optimal maps. Therefore, we further estimated cost-optimal areas to achieve carbon neutrality through afforestation based on the cost-optimal joint abatement pathway and spatial equilibrium (Supplementary Method 3). We found that the priority areas for achieving carbon neutrality through afforestation exhibit tremendous temporal and spatial variability (Fig. 6; Supplementary Fig. 7). The priority areas for achieving carbon neutrality through afforestation in 2020–2030 are primarily concentrated in southern China (50.68 tCO2 ha−1 ≥ Enhanced removal >3.70 tCO2 ha−1, 13.18% of total enhanced removal). At this stage, due to the ample low-cost (MAC or carbon price: US$ 84.93 tCO2−1) opportunities for emission reductions, the opportunities for low-cost CO2 removal through afforestation are limited (0 ~ 50.68 tCO2 ha−1). However, the ample low-cost (or negative-cost) opportunities for emission reductions cannot be sustained in 2030–2040. The MAC (or carbon price: US$ 232.84 tCO2−1) was pushed up due to the rapid consumption of low-cost space for emission reductions, which provides an opportunity to enhance CO2 removal through afforestation in 2030–2040. At this stage, we project that the southern and southwest regions of China, with their tropical-subtropical climate, would be the most promising areas (Enhanced removal >16.72 tCO2 ha−1, 16.52% of total enhanced removal) to substantially augment CO2 removal through afforestation in 2030–2040. Meanwhile, the central, eastern, and northeastern regions of China (16.72 ≥ Enhanced removal >3.7 tCO2 ha−1, 29.73% of total enhanced removal) also present moderate opportunities to CO2 removal in 2030–2040.
Along with the MAC (or carbon price: US$ 361.56 tCO2−1) being pushed further up in 2040–2050, the southern, southwest, northeast, and parts of central regions of China would be the most promising areas (Enhanced removal >16.72 tCO2 ha−1, 34.14% of total enhanced removal) to substantially augment CO2 removal through afforestation. Meanwhile, the broader region (16.72 ≥ Enhanced removal >3.70 tCO2 ha−1, 34.80% of total enhanced removal) has moderate opportunities for CO2 removal in 2040–2050. At the next stage (2050–2060), along with the MAC (or carbon price: US$ 447.08 tCO2−1) being significantly higher than that in 2040–2050, the most promising areas (Enhanced removal >16.72 tCO2 ha−1, 50.71% of total enhanced removal) to substantially augment CO2 removal through afforestation will expand significantly in northeast, central, east, and southwest China relative to 2040–2050. Meanwhile, the area of low opportunity (Enhanced removal ≤ 3.70 tCO2 ha−1) for enhanced CO2 removal will expand in southern China, which may be a result of the role played by afforestation in significantly increasing forest cover and reducing the available afforestation space in the previous period.
Our findings highlight that cost-optimal maps to achieve carbon neutrality through afforestation can inform afforestation actions and policies at particular places and times. In future afforestation efforts to achieve carbon neutrality, it is necessary to allocate efforts to the cost-optimal areas for each period (2020–2060) based on the temporal and spatial differences revealed by the intertemporal cost-optimal maps. The spatially and temporally precise afforestation efforts will contribute to achieving the cost-optimal afforestation actions under the carbon neutrality target. Moreover, the carbon neutrality pathway budget (e.g., IAMs models) should not only incorporate spatial equilibrium but also integrate spatial details, biophysical modules, and other important factors already covered. More importantly, the intertemporal cost-optimal maps not only aim to eliminate spatial ambiguities in specific afforestation actions under climate targets, but also contribute to future afforestation efforts aimed at addressing the financial challenges of achieving carbon neutrality.
Calibration and validation
We validated our estimates using the estimates for China from previous studies37 by Taylor diagrams and Kling-Gupta efficiencies (KGE). We evaluated the performance of DMF-EA by Taylor diagrams and KGE of carbon prices (Table 2) in 2020–2030, 2030–2040, 2040–2050, and 2050–2060. Moreover, considering the unity of opposites between CO2 emission reduction and CO2 removal under a carbon neutrality target, we evaluated the performance of DMF-EA by Taylor diagrams and KGE of CO2 emissions (Table 2) in 2020–2030, 2030–2040, 2040–2050, and 2050–2060. We found that the KGE of the carbon price and CO2 emission is 0.368194 and 0.534236, respectively. These results confirm that DMF-EA is a satisfactory model simulation. The results of Taylor diagrams of the carbon price and CO2 emission reveal the correlation coefficient, centered root-mean-square, and standard deviation (Fig. 7), which validate our estimates.
We also compared our estimates with global assessments55 of the CO2 price and carbon removal to further test trends from 2020 to 2060 (Table 3). The KGE (0.1761172 and 0.1438219, respectively) confirms the consistency of the trends (carbon price and CO2 removal) between our estimates and the global estimates, but there are significant differences in absolute values.
Discussion
This study has constructed a dynamic multi-model analysis framework of joint abatement between emission reduction and afforestation, which allows us to study cost-optimal pathways to achieve carbon neutrality through afforestation. Differently from previous research, we have incorporated spatial equilibrium into the overall equilibrium pathway analysis for carbon neutrality, which captures the dynamic equilibrium relationship among afforestation spatial details, carbon neutrality, and emission reductions, and further constructs the cost-optimal association between afforestation at particular places and times and carbon neutrality targets; that is the spatial equilibrium challenge17,18,19,20,21. We project and track the dynamic changes in the marginal abatement cost (MAC) curves for afforestation39 and emission reduction13,14,15,16, and the cost of CO2 removal through afforestation at spatial resolution level (5.5 × 5.5 km2) from 2020 to 2060. Here, we go beyond revealing the spatial differences in the cost of CO2 removal through afforestation over different periods and confirm that spatial details and biophysical processes profoundly impact the overall marginal cost curves of CO2 removal through afforestation.
Our findings have yielded four insights. First, we find that the afforestation pathway under carbon neutrality needs to be integrated into the overall carbon neutrality pathway and balanced with emission reductions, rather than being limited to analysis within the afforestation sector. The cost-optimal contribution of afforestation and emission reduction for achieving carbon neutrality is at the equilibrium point between their MAC curves (Supplementary Fig. 1–4). Exceeding or falling short of the equilibrium level of afforestation (emission reduction) will increase the total cost of achieving carbon neutrality, especially if relying solely on emission reductions, which will pose significant financial challenges for China. The spatial details, temporal variations, and biophysical processes of afforestation will impact the cost-optimal equilibrium between afforestation and emission reduction. Second, the results of the cost-optimal pathway to carbon neutrality in China’s afforestation (Figs. 1 and 3; Table 1) indicate that less CO2 removal through afforestation is required in the early stages (0.45 ± 0.06 GtCO2 yr−1 in 2020–2030) of carbon neutrality; however, in the later stages, rapid amplification of CO2 removal through afforestation is required in 2030–2040, 2040–2050, and 2050–2060 for 1.05 ± 0.22 GtCO2 yr−1, 1.58 ± 0.35 GtCO2 yr−1, and 1.98 ± 0.42 GtCO2 yr−1, respectively. Meanwhile, the role of emission reduction gradually decreases from 88.53 to 76.15% from 2020 to 2060 (Fig. 3). This is primarily because there is wide availability of low-cost emission reduction options in the early stages of carbon neutrality, and as these options are gradually exhausted in the later stages, the cost advantages and critical role of afforestation become more pronounced. This finding does not fully endorse the recent conclusions that CO2 emissions need to be significantly reduced from 2020 to 2060 to achieve carbon neutrality by 206056,57,58,59,60. Despite our results agreeing with the previous conclusion56,57,58,59,60, what is more significant is our discovery that afforestation gradually plays a more important role (rising from 11.47 to 23.85%) in climate change mitigation from 2020 to 2060, while the share of emissions reduction is gradually decreasing (from 88.53 to 76.15%). Third, the cost-optimal joint abatement pathway between emission reduction and afforestation will contribute to addressing this significant financial challenge (average total cost reduction: US$728.94 billion, 27.08% of total cost; Figs. 4–5). Interestingly, the total cost savings achieved by the cost-optimal joint abatement pathway between emission reduction and afforestation amount to only US$22.52 billion in 2020–2030. However, the cost-optimal joint abatement pathway will lead to a significant leap in total cost savings, rising from US$22.52 billion to US$292.69 billion, and from 14.55 to 26.58% of total costs, over the period from 2020 to 2060 (Fig. 4A–C; Supplementary Table 1). Unlike previous studies37, our findings indicate that afforestation will substantially mitigate the financial challenges of achieving carbon neutrality, with total abatement cost savings from afforestation exhibiting pronounced temporal variations from 2020 to 2060. Finally, we mapped cost-optimal areas for achieving carbon neutrality through afforestation across different time frames, and observed significant spatiotemporal variability of cost-optimal areas. Differing from previous studies based on regional aggregation12,13,14,15,16, our intertemporal cost-optimal maps and frame eliminate spatial ambiguities in specific afforestation actions under climate targets.
Our study shakes several widely accepted assumptions commonly applied to the projections of carbon neutrality pathways. First, previous IAMs dedicated to climate change mitigation pathways have been limited by spatial equilibrium challenges, assuming that spatial details and biophysical processes do not influence the overall pathway to carbon neutrality12,13,14,15,16,17,18. The opposite observed here is that spatial details, spatial equilibrium, and biophysical processes not only affect the pathways to carbon neutrality in China’s afforestation, but also further influence the overall pathway to carbon neutrality. Second, previous climate change mitigation pathways developed using models (e.g., the IMAGE model) were usually based on the assumption of static marginal abatement cost curves for Africa, North America, Latin America, and Southeast Asia61,62,63,64. Our findings indicate that marginal abatement costs exhibit significant intertemporal variations, and capturing these variations is crucial for identifying cost-optimal abatement pathways. Third, previous research assumptions that the afforestation areas are static and overlooked spatial equilibrium65,66,67,68,69; here, our findings indicated notable variations in cost-optimal areas over different periods, driven by variations in equilibrium carbon prices. The current mainstream perspective on climate change mitigation through afforestation focuses and confines future climate policies and actions to the afforestation sector (e.g., afforestation techniques, afforestation monitoring, protected areas, afforestation potential, tree species, tree diseases, and insect pests)70,71,72,73,74,75,76,77. However, our findings highlight that afforestation policies and actions under carbon neutrality should be coordinated with emissions reduction efforts, aiming to achieve cost-optimal joint abatement, which can be an important source of mitigating effort and addressing the financial challenges of carbon neutrality in the future. Moreover, we highlight that afforestation efforts and policies should be focused on cost-optimal areas during specific periods, which can be another important source of addressing the financial challenges.
Nevertheless, the possible spatial misalignment between datasets introduces uncertainty into the maps and pathways of cost-optimal solutions. Meanwhile, the cost-optimal paths are sensitive to variations in model assumptions, theory, and structure that is generally consistent with global studies of deep decarbonization25,37,78,79,80,81. Given our primary objective of identifying the cost-optimal pathways to carbon neutrality in afforestation, we have only informed the aggregate for emission reduction and have not separately listed land management, which may not provide information for specific sectors other than afforestation. In the future, a more detailed sector-specific analysis beyond afforestation is required to provide comprehensive references for coordinated actions across multiple sectors. Moreover, potential social, economic, and political risks, as well as specific policies, subsidy mechanisms, economic composition, migration patterns, and environmental, religious, and cultural factors, could influence the cost-optimal pathways to carbon neutrality through afforestation82,83,84,85,86,87 and need further quantification in the future. Notably, specific policies, environmental, and economic conditions must be considered in regional afforestation practices, despite the fact that the cost-optimal joint abatement pathway offers valuable insights and references for achieving carbon neutrality through afforestation.
Methods
Overview of methods
In this work, we proposed a dynamic multi-model analysis framework of joint abatement between emission reduction and afforestation sectors (DMF-EA) by incorporating seven integrated assessment models (REMIND, AIM/CGE, WITCH, IMAGE, GCAM, MESSAGE-GLOBIOM, POLES) and a marginal abatement cost (MAC) model for afforestation39, setting China as an independent region. The dynamic multi-model analysis framework of joint abatement (DMF-EA) is a dynamic combination of optimal pathways, spatial equilibrium, and collaboration between the afforestation and emissions sectors, based on previous cost-optimal pathway theory88,89.
China’s carbon neutrality target (net-zero carbon emissions by 2060) was taken as an overarching assumption in the dynamic multi-model analysis framework, considering our research objective of cost-optimal pathway to carbon neutrality (Supplementary Method 1). Meanwhile, based on the assumption of dynamic change of marginal abatement cost curves, we simulated the future evolution of marginal abatement cost curves of afforestation and emission reduction, explored the cost advantages of afforestation and emission reduction in future decades (2020–2060), and sought the equilibrium point in each decade in DMF-EA. Moreover, we assumed that all marginal abatement costs (2020–2060) were denominated in the purchasing power of the US dollar in 2015. First, we revised the marginal abatement cost (MAC) estimate model for afforestation39,90 to include afforestation implementation costs in the estimation. We projected the marginal cost curves of afforestation (MCA) in future decades. Next, we assembled a comprehensive list of marginal abatement costs in China through a literature review. Based on the available results and types of MACs, estimated by seven models, we projected the marginal cost curves of emission reduction (MCER) in future decades, respectively.
Then, we constructed an estimation model for the cost-optimal joint abatement between emission reduction and afforestation according to the results of MCA and MCER in future decades88. To accurately estimate and focus on the main issue of joint abatement on afforestation and emission reduction, we grouped the remaining negative emissions technologies (such as bio-energy with carbon capture and storage, direct air carbon capture and storage) under emission reduction including energy, electricity, commercial, industry, transport, buildings, agriculture, and other. We then projected the cost-optimal pathways of joint abatement between afforestation and emission reduction sectors in future decades. Moreover, to make this joint abatement result comparable, we estimated the path and cost of the non-joint abatement pathway without afforestation—that is, deep decarbonization relying only on emission reduction. Finally, we produced the cost-optimal maps for afforestation in 2020–2030, 2030–2040, 2040–2050, and 2050–2060, according to the results of this cost-optimal pathway.
Marginal cost estimate model for afforestation
We revised the MAC estimate model for afforestation39,90 to estimate the MAC (implementation and opportunity costs) curves for CO2 removal through China’s afforestation (Supplementary Method 2). This cost of afforestation including implementation costs (seedling costs, materials costs, labor costs, interest rate, transportation, and maintenance costs) across types of afforestation (natural regrowth and plantations) and opportunity costs (foregone net income from crops on afforested land) was different from that of Busch et al.39,90, which only included opportunity costs. The approach assumed that carbon sequestration by afforestation is partly a response of human behavior to economic forces39. Moreover, we defined all areas with afforestation conditions as the scope of the estimate, not limited to reforested areas. We assumed that there was no carbon leakage from afforestation in China90. We projected MAC curves for China’s afforestation in future decades (2020–2030, 2030–2040, 2040–2050, and 2050–2060). We then modeled the MAC curves for afforestation using an exponential function to estimate the CO2 removal equation for afforestation costs (ƒAC,t). We assumed that there was no negative cost of carbon removal through afforestation.
Estimating marginal cost curves of emission reduction
We used the keywords “marginal abatement cost”, “China”, “emission reduction”, and “carbon neutrality” to collect relevant studies in Google Scholar and Web of Science. We then screened relevant studies and scanned results that could be used to estimate MAC curves from 2020 to 2060. We ultimately incorporated 7 models (REMIND, AIM/CGE, WITCH, IMAGE, GCAM, MESSAGE-GLOBIOM, POLES), which met the adoption criteria, into the dynamic multi-model analysis framework.
We first designed China’s carbon neutrality target as the overarching scenario assumption according to our research objective. Meanwhile, marginal costs of emission reduction were estimated in the dynamic multi-model analysis framework (Supplementary Method 1). We next estimated the overall marginal abatement cost function (ƒOMAC) for 2020–2060 based on the study results (REMIND, AIM/CGE, WITCH, IMAGE, GCAM, MESSAGE-GLOBIOM, POLES) of emission reduction costs and emission reductions. We projected the MAC function of emission reduction (ƒERC,t) in decade t using a dynamic, recursive model from 2020 to 2060:
where MACt is the marginal abatement cost in t decade; ERt is the emission reduction relative to decade t−1; and COERt−1 is the cost-optimal emission reduction in decade t−1. We assumed that emission reductions would be completed at an optimal cost for each decade.
We prioritized fitting the MAC curves according to the function type specified in the original article. For results without specified MAC functions in the original article (WITCH, IMAGE, POLES), we used power functions of multi-order polynomials to fit the MAC curves. Moreover, we used exponential functions to fit MAC curves for MAC results which cannot be well-fitted by power functions of multi-order polynomials (REMIND, AIM/CGE, GCAM, MESSAGE-GLOBIOM). To ensure the reliability of the estimation, R2 > 0.96 was required in the construction of each MAC model (Supplementary Table 2).
Dynamic cost-optimal path estimation model of joint abatement between afforestation and emission reduction
We developed a nonlinear programming model for abatement allocation to minimize the sum of the abatement costs for carbon neutrality88 (afforestation and emission reduction sectors), using the following formula:
in which TCt is the total abatement cost; CRt is enhanced carbon removal through afforestation relative to decade t−1; TAt is the total abatement; and ERt is the emission reduction relative to decade t−1. Based on the results of enhanced carbon removal through afforestation (CRt) and emission reduction (ERt) at optimal cost in 2020–2030, 2030–2040, 2040–2050, and 2050–2060, we constructed the cost-optimal path for afforestation to carbon neutrality across models. Meanwhile, we estimated the mean and error of the optimal pathway for carbon removal of afforestation from 2020 to 2060. Moreover, we obtained the trajectories of MAC (of both afforestation and emission reduction) from 2020 to 2060 under the cost-optimal pathway.
Cost-optimal maps for afforestation
We simulated the response of afforestation to MAC (Supplementary Method 3). We then estimated the cost-optimal afforestation grid cells based on the results of the optimal cost in 2020–2030, 2030–2040, 2040–2050, and 2050–206039. Finally, we plotted the cost-optimal afforestation maps in 2020–2030, 2030–2040, 2040–2050, and 2050–2060 by ArcGIS 10.2 software.
Data availability
Forest cover data (GlobeLand30) for the years 2010 and 2020 are available from https://www.webmap.cn/commres.do?method=globeIndex and https://data.casearth.cn/dataset/5fbc7904819aec1ea2dd7061, respectively. The data of the participating models, including REMIND, AIM/CGE, IMAGE, GCAM, MESSAGE-GLOBIOM, and POLES, are distributed by the International Institute for Applied Systems Analysis (IIASA), and are available from ADVANCE Synthesis Scenario Database (https://db1.ene.iiasa.ac.at/ADVANCEDB/dsd?Action=htmlpage&page=10#intro). The data of the WITCH model are available from https://github.com/xmxming/China-1.5-degree-research. The data of provincial administrative regions in China are available from National Geomatics Center of China (http://www.ngcc.cn/). The data of global leaf area index are available from Resource and Environmental Science Data Platform (https://www.resdc.cn/data.aspx?DATAID=336). Other data underlying the research presented in our paper are available in the Supplementary Information and in the Figshare repository91 (https://doi.org/10.6084/m9.figshare.28062767).
Code availability
The spatially disaggregated code39 is available at https://dataverse.harvard.edu/dataverse/tropical_reforestation_study. The methods and code for the cost-optimal maps are available in the Supplementary Information and the Figshare repository91 (https://doi.org/10.6084/m9.figshare.28062767). The study made use of standard packages in R (https://cran.r-project.org/web/packages/tidyr/index.html, https://cran.r-project.org/web/packages/dplyr/index.html, https://cran.r-project.org/web/packages/stringr/index.html, https://cran.r-project.org/src/contrib/Archive/rgeos/, https://cran.r-project.org/src/contrib/Archive/rgdal/). The data were plotted and analyzed with R, Origin (https://www.originlab.com/), and ArcGIS (https://pro.arcgis.com/zh-cn/pro-app/latest/get-started/download-arcgis-pro.htm).
References
Shi, X., Sun, Y. & Shen, Y. China’s ambitious energy transition plans. Science 373, 170–170 (2021).
Normile, D. China’s bold climate pledge earns praise—but is it feasible? Science 370, 17–18 (2020).
Meinshausen, M. et al. Greenhouse-gas emission targets for limiting global warming to 2 °C. Nature 458, 1158–1162 (2009).
Allen, M. et al. Technical Summary: Global warming of 1.5 °C. An IPCC Special Report on the Impacts of Global Warming of 1.5 °C above Pre-industrial Levels and Related Global Greenhouse Gas Emission Pathways, in the Context of Strengthening the Global Response to the Threat of Climate Change, Sustainable Development, and Efforts to Eradicate Poverty (2019).
Köberle, A. C. et al. The cost of mitigation revisited. Nat. Clim. Change 11, 1035–1045 (2021).
Bednar, J. et al. Operationalizing the net-negative carbon economy. Nature 596, 377–383 (2021).
Pittel, K. In The Intertemporal Distribution of Climate Policy Burdens and the Decision of the German Constitutional Court[C]//CESifo Forum 15–19 (ifo Institut-Leibniz-Institut für Wirtschaftsforschung an der Universität München, 2021).
Misconel, S., Hobbie, H., Möst, D., Prina, M. G. & Sparber, W. in 2022 18th International Conference on the European Energy Market (EEM) 1–6 (IEEE, 2022).
Aldy, J. E., Kotchen, M. J., Stavins, R. N. & Stock, J. H. Keep climate policy focused on the social cost of carbon. Science 373, 850–852 (2021).
Huang, S. K., Kuo, L. & Chou, K.-L. The applicability of marginal abatement cost approach: a comprehensive review. J. Clean. Prod. 127, 59–71 (2016).
Jiang, H.-D., Dong, K.-Y., Zhang, K. & Liang, Q.-M. The hotspots, reference routes, and research trends of marginal abatement costs: a systematic review. J. Clean. Prod. 252, 119809 (2020).
Riahi, K. et al. The Shared Socioeconomic Pathways and their energy, land use, and greenhouse gas emissions implications: an overview. Glob. Environ. Change 42, 153–168 (2017).
Moss, R. H. et al. The next generation of scenarios for climate change research and assessment. Nature 463, 747–756 (2010).
Van Vuuren, D. P. et al. A new scenario framework for climate change research: scenario matrix architecture. Clim. Change 122, 373–386 (2014).
Kriegler, E. et al. A new scenario framework for climate change research: the concept of shared climate policy assumptions. Clim. Change 122, 401–414 (2014).
O’Neill, B. C. et al. A new scenario framework for climate change research: the concept of shared socioeconomic pathways. Clim. Change 122, 387–400 (2014).
Cultice, B., Irwin, E. & Jones, M. Accounting for spatial economic interactions at local and meso scales in integrated assessment model (IAM) frameworks: challenges and recent progress. Environ. Res. Lett. 18, 035009 (2023).
Fisher-Vanden, K. & Weyant, J. The evolution of integrated assessment: Developing the next generation of use-inspired integrated assessment tools. Annu. Rev. Resour. Econ. 12, 471–487 (2020).
Kesicki, F. & Strachan, N. Marginal abatement cost (MAC) curves: confronting theory and practice. Environ. Sci. Policy 14, 1195–1204 (2011).
Collins, S. et al. Integrating short term variations of the power system into integrated energy system models: a methodological review. Renew. Sustain. Energy Rev. 76, 839–856 (2017).
Kalt, G. et al. Exploring the option space for land system futures at regional to global scales: The diagnostic agro-food, land use and greenhouse gas emission model BioBaM-GHG 2.0. Ecol. Model. 459, 109729 (2021).
Burke, T., Rowland, C., Whyatt, J. D., Blackburn, G. A. & Abbatt, J. Achieving national scale targets for carbon sequestration through afforestation: geospatial assessment of feasibility and policy implications. Environ. Sci. Policy 124, 279–292 (2021).
Burke, T., Rowland, C. S., Whyatt, J. D., Blackburn, G. A. & Abbatt, J. Spatially targeting national-scale afforestation for multiple ecosystem services. Appl. Geogr. 159, 103064 (2023).
Li, R. et al. Time and space catch up with restoration programs that ignore ecosystem service trade-offs. Sci. Adv. 7, eabf8650 (2021).
Zhang, S. & Chen, W. Assessing the energy transition in China towards carbon neutrality with a probabilistic framework. Nat. Commun. 13, 87 (2022).
Brinkerink, M. et al. Assessing global climate change mitigation scenarios from a power system perspective using a novel multi-model framework. Environ. Model. Softw. 150, 105336 (2022).
Keppo, I. et al. Exploring the possibility space: Taking stock of the diverse capabilities and gaps in integrated assessment models. Environ. Res. Lett. 16, 053006 (2021).
Grassi, G. et al. Critical adjustment of land mitigation pathways for assessing countries’ climate progress. Nat. Clim. Change 11, 425–434 (2021).
Ou, Y. et al. Deep mitigation of CO2 and non-CO2 greenhouse gases toward 5 °C and 2 °C futures. Nat. Commun. 12, 6245 (2021).
Popp, A. et al. Land-use futures in the shared socio-economic pathways. Glob. Environ. Change 42, 331–345 (2017).
Riahi, K. et al. Locked into Copenhagen pledges—implications of short-term emission targets for the cost and feasibility of long-term climate goals. Technol. Forecast. Soc. Change 90, 8–23 (2015).
Luderer, G. et al. Residual fossil CO2 emissions in 1.5–2 C pathways. Nat. Clim. Change 8, 626–633 (2018).
Van Soest, H. L., den Elzen, M. G. & van Vuuren, D. P. Net-zero emission targets for major emitting countries consistent with the Paris Agreement. Nat. Commun. 12, 2140 (2021).
van Soest, H. L. et al. Global roll-out of comprehensive policy measures may aid in bridging emissions gap. Nat. Commun. 12, 6419 (2021).
Sognnaes, I. et al. A multi-model analysis of long-term emissions and warming implications of current mitigation efforts. Nat. Clim. Change 11, 1055–1062 (2021).
van de Ven, D.-J. et al. A multimodel analysis of post-Glasgow climate targets and feasibility challenges. Nat. Clim. Change 13, 570–578 (2023).
Duan, H. et al. Assessing China’s efforts to pursue the 1.5 C warming limit. Science 372, 378–385 (2021).
Peng, W. et al. Climate policy models need to get real about people—here’s how. Nature 594, 174–176 (2021).
Busch, J. et al. Potential for low-cost carbon dioxide removal through tropical reforestation. Nat. Clim. Change 9, 463–466 (2019).
Exchange, S. E. a. E. The Cumulative Volume of the National Carbon Market Exceeds 200 Million Tons. https://www.cneeex.com/c/2022-11-24/493423.shtml (2022).
ETS&CARBON TAXES, W. B. State and Trends of Carbon Pricing. https://openknowledge.worldbank.org/handle/10986/35620 (2021).
ECONOMICS, T. Trading Economics Carbon Emissions Allowances Prices. https://tradingeconomics.com/commodity/carbon (2022).
BANK, E. C. Euro Foreign Exchange Reference Rates. https://www.ecb.europa.eu/stats/policy_and_exchange_rates/euro_reference_exchange_rates/html/eurofxref-graph-usd.en.html (2022).
Zhao, H. et al. China’s future food demand and its implications for trade and environment. Nat. Sustain 4, 1042–1051 (2021).
Wang, X. & Zhang, X. Towards 2030–China’s Poverty Alleviation and Global Poverty Governance (Springer, 2020).
Yuan, X. & Gao, Y. Demographic transition and economic miracles in China: an analysis based on demographic perspective. Int. J. Econ. Policy Stud. 14, 25–45 (2020).
Mi, Z. & Sun, X. Provinces with transitions in industrial structure and energy mix performed best in climate change mitigation in China. Commun. Earth Environ. 2, 182 (2021).
Rogelj, J. et al. Scenarios towards limiting global mean temperature increase below 1.5 C. Nat. Clim. change 8, 325–332 (2018).
Enkvist, P.-A., Dinkel, J. & Lin, C. Impact of the financial crisis on carbon economics: Version 2.1 of the global greenhouse gas abatement cost curve. McKinsey Company 374, 7–10 (2010).
Buck, H. J., Carton, W., Lund, J. F. & Markusson, N. Why residual emissions matter right now. Nat. Clim. Change 13, 351–358 (2023).
Dray, L. et al. Cost and emissions pathways towards net-zero climate impacts in aviation. Nat. Clim. Change 12, 956–962 (2022).
Riahi, K. et al. Cost and attainability of meeting stringent climate targets without overshoot. Nat. Clim. Change 11, 1063–1069 (2021).
Strefler, J. et al. Technology availability, sector policies and behavioral change are complementary strategies for achieving net-zero emissions. Nat. Commun. 15, 8440 (2024).
Edelenbosch, O. Y. et al. Reducing sectoral hard-to-abate emissions to limit reliance on carbon dioxide removal. Nat. Clim. Change 14, 715–722 (2024).
Austin, K. et al. The economic costs of planting, preserving, and managing the world’s forests to mitigate climate change. Nat. Commun. 11, 5946 (2020).
Green, F. & Stern, N. China’s changing economy: implications for its carbon dioxide emissions. Clim. Policy 17, 423–442 (2017).
Guan, D. et al. Structural decline in China’s CO2 emissions through transitions in industry and energy systems. Nat. Geosci. 11, 551–555 (2018).
Zheng, J. et al. Regional development and carbon emissions in China. Energy Econ. 81, 25–36 (2019).
Mi, Z. et al. Socioeconomic impact assessment of China’s CO2 emissions peak prior to 2030. J. Clean. Prod. 142, 2227–2236 (2017).
Mi, Z. et al. Chinese CO2 emission flows have reversed since the global financial crisis. Nat. Commun. 8, 1712 (2017).
Doelman, J. C. et al. Afforestation for climate change mitigation: Potentials, risks and trade-offs. Glob. Change Biol. 26, 1576–1591 (2020).
Fuhrman, J. et al. The role of direct air capture and negative emissions technologies in the shared socioeconomic pathways towards+ 1.5 °C and+ 2 °C futures. Environ. Res. Lett. 16, 114012 (2021).
Waisman, H. et al. A pathway design framework for national low greenhouse gas emission development strategies. Nat. Clim. Change 9, 261–268 (2019).
Zhang, R. & Hanaoka, T. Cross-cutting scenarios and strategies for designing decarbonization pathways in the transport sector toward carbon neutrality. Nat. Commun. 13, 3629 (2022).
Forster, E. J., Healey, J. R., Dymond, C. & Styles, D. Commercial afforestation can deliver effective climate change mitigation under multiple decarbonisation pathways. Nat. Commun. 12, 3831 (2021).
Lu, N. et al. Biophysical and economic constraints on China’s natural climate solutions. Nat. Clim. Change 12, 847–853 (2022).
Grafton, R. et al. A Global Analysis of the Cost-efficiency of Forest Carbon Sequestration. OECD Environment Working Papers, No. 185 (OECD Publishing, 2021).
Koch, A. & Kaplan, J. O. Tropical forest restoration under future climate change. Nat. Clim. Change 12, 279–283 (2022).
Cook-Patton, S. C. et al. Mapping carbon accumulation potential from global natural forest regrowth. Nature 585, 545–550 (2020).
Bossio, D. et al. The role of soil carbon in natural climate solutions. Nat. Sustain 3, 391–398 (2020).
Terasaki Hart, D. E. et al. Priority science can accelerate agroforestry as a natural climate solution. Nat. Clim. Change 13, 1179–1190 (2023).
Zhang, B., Lan, K., Harris, T. B., Ashton, M. S. & Yao, Y. Climate-smart forestry through innovative wood products and commercial afforestation and reforestation on marginal land. Proc. Natl. Acad. Sci. USA 120, e2221840120 (2023).
Caldera, U. & Breyer, C. Afforesting arid land with renewable electricity and desalination to mitigate climate change. Nat. Sustain 6, 526–538 (2023).
Campbell, A. D. et al. A review of carbon monitoring in wet carbon systems using remote sensing. Environ. Res. Lett. 17, 025009 (2022).
Augusto, L. & Boča, A. Tree functional traits, forest biomass, and tree species diversity interact with site properties to drive forest soil carbon. Nat. Commun. 13, 1097 (2022).
Gora, E. M. & Esquivel-Muelbert, A. Implications of size-dependent tree mortality for tropical forest carbon dynamics. Nat. Plants 7, 384–391 (2021).
Crowley, K. F., Lovett, G. M., Arthur, M. A. & Weathers, K. C. Long-term effects of pest-induced tree species change on carbon and nitrogen cycling in northeastern US forests: A modeling analysis. For. Ecol. Manag. 372, 269–290 (2016).
Otto, F. E., Frame, D. J., Otto, A. & Allen, M. R. Embracing uncertainty in climate change policy. Nat. Clim. Change 5, 917–920 (2015).
Calvin, K. et al. The role of Asia in mitigating climate change: results from the Asia modeling exercise. Energy Econ. 34, S251–S260 (2012).
Duan, H., Mo, J., Fan, Y. & Wang, S. Achieving China’s energy and climate policy targets in 2030 under multiple uncertainties. Energy Econ. 70, 45–60 (2018).
Zhou, S., Wang, Y., Yuan, Z. & Ou, X. Peak energy consumption and CO2 emissions in China’s industrial sector. Energy strategy Rev. 20, 113–123 (2018).
Kreuter, J. & Lederer, M. The geopolitics of negative emissions technologies: learning lessons from REDD+ and renewable energy for afforestation, BECCS, and direct air capture. Glob. Sustain. 4, e26 (2021).
Onyagholo, A. Religion, environment, and climate change in Kolo Creek Clan. J. Philos. Culture 11, 16–25 (2023).
Nolan, C. J., Field, C. B. & Mach, K. J. Constraints and enablers for increasing carbon storage in the terrestrial biosphere. Nat. Rev. Earth Env. 2, 436–446 (2021).
Robinson, G. M. in Transforming Rural China 197–224 (Edward Elgar Publishing, 2024).
Heilmayr, R., Echeverría, C. & Lambin, E. F. Impacts of Chilean forest subsidies on forest cover, carbon and biodiversity. Nat. Sustain 3, 701–709 (2020).
Zhang, X. et al. A large but transient carbon sink from urbanization and rural depopulation in China. Nat. Sustain 5, 321–328 (2022).
Jiang, M., Zhu, B., Chevallier, J. & Xie, R. Allocating provincial CO2 quotas for the Chinese national carbon program. Aust. J. Agric. Resour. Econ. 62, 457–479 (2018).
Roelfsema, M. et al. Taking stock of national climate policies to evaluate implementation of the Paris Agreement. Nat. Commun. 11, 2096 (2020).
Busch, J. & Engelmann, J. Cost-effectiveness of reducing emissions from tropical deforestation, 2016–2050. Environ. Res. Lett. 13, 015001 (2017).
Zhang, X., Flesken, L., Zhang, N., Zhang, L. & Huang, Y. Optimizing Afforestation Pathways. https://doi.org/10.6084/m9.figshare.28062767 (2025).
Acknowledgements
This study was made possible with financial support from the National Science Foundation (Grant No. 72073054), The National Social Science Fund Major Bid Project of China (Grant No. 23&ZD110), and the Shaanxi Provincial Public Welfare Geological Survey Project (Grant No. 202311). We also acknowledge the financial support from the China Scholarship Council. We thank the experts who substantially commented on the manuscript and are grateful for the writing suggestions from Jonah Busch (Conservation International), Davi R. Munhoz (Wageningen University and Research), and Lingtong Gai (Wageningen University and Research).
Author information
Authors and Affiliations
Contributions
X.Z. and L.F. designed the study. X.Z. conducted the analyses, supported by L.F., N.Z., and Y.H. X.Z. and Y.H. designed the figures. The manuscript was prepared by X.Z. and L.F., supported by N.Z., L.Z., and Y.H. L.Z. acquired partial funding for the project. L.Z. and N.Z. participated in reviewing, and editing.
Corresponding author
Ethics declarations
Competing interests
The authors declare no competing interests.
Peer review
Peer review information
Communications Earth and Environment thanks Yuqi Song and the other, anonymous, reviewer(s) for their contribution to the peer review of this work. Primary Handling Editors: Pallav Purohit and Martina Grecequet. A peer review file is available.
Additional information
Publisher’s note Springer Nature remains neutral with regard to jurisdictional claims in published maps and institutional affiliations.
Rights and permissions
Open Access This article is licensed under a Creative Commons Attribution-NonCommercial-NoDerivatives 4.0 International License, which permits any non-commercial use, sharing, distribution and reproduction in any medium or format, as long as you give appropriate credit to the original author(s) and the source, provide a link to the Creative Commons licence, and indicate if you modified the licensed material. You do not have permission under this licence to share adapted material derived from this article or parts of it. The images or other third party material in this article are included in the article’s Creative Commons licence, unless indicated otherwise in a credit line to the material. If material is not included in the article’s Creative Commons licence and your intended use is not permitted by statutory regulation or exceeds the permitted use, you will need to obtain permission directly from the copyright holder. To view a copy of this licence, visit http://creativecommons.org/licenses/by-nc-nd/4.0/.
About this article
Cite this article
Zhang, X., Fleskens, L., Zhang, N. et al. Optimizing afforestation pathways through economic cost mitigates China’s financial challenge of carbon neutrality. Commun Earth Environ 6, 119 (2025). https://doi.org/10.1038/s43247-025-02103-9
Received:
Accepted:
Published:
Version of record:
DOI: https://doi.org/10.1038/s43247-025-02103-9









