Abstract
Deep-sea sediments enriched in rare earth elements represent important potential resources and paleoceanographic archives. The transfer of these elements from marine particles (e.g., Fe-Mn (oxyhydr)oxides or organic matter) to phosphate phases is essential for their enrichment during early diagenesis. However, the biogeochemical processes driving this transfer remain unresolved. Here, we investigate how microbial reductive diagenesis influences rare earth element enrichment in deep-sea sediments of the northwestern Pacific. By integrating geochemical, magnetic, and microscopic analyses of iron biogeochemical cycling and its signature mineral, biogenic magnetite, we demonstrate that microbial reduction drives the post-depositional mineralization of sinking marine particles. This process releases rare earth elements into porewater, thereby promoting their uptake into bioapatite or authigenic apatite. This mechanism was likely enhanced during past global cooling events that increased ocean productivity. Our findings provide valuable insights for tracing microbial contributions to deep-sea rare earth element enrichment and for investigating their underlying drivers.
Similar content being viewed by others
Introduction
Rare earth elements and yttrium (REY) exhibit unique material properties, making them critical for advanced technologies such as superconductivity, optoelectronics, and new energy systems1,2. In natural environments, REY primarily exist in the trivalent state, with the exception of europium (Eu) and cerium (Ce), which may also occur as Eu(II) and Ce(IV), respectively3,4. Owing to their systematic geochemical behavior, REY serve as powerful tracers in studies of ocean circulation, paleoenvironmental evolution, and biogeochemical cycles3,4,5. The limited availability of REY resources, particularly middle (MREE) and heavy (HREE) rare earth elements, presents a major constraint on global technological progress6. Recent discoveries of REY-rich deep-sea sediments have opened new pathways for future resource exploration6. These deposits are predominantly distributed in deep-sea basins below the carbonate compensation depth (CCD) across the western, central, and southeastern Pacific, as well as the Indian Ocean, and are largely composed of zeolitic and pelagic clays6,7,8,9,10. Total REY (ΣREY) concentrations in these sediments range from 2000 to 8000 mg kg−1, frequently characterized by distinct MREE and HREE enrichment6,11. Elucidating the enrichment mechanisms of REY in these deep-sea sediments is essential for both resource development and fundamental geological understanding12,13.
Potential sources of marine REY include terrigenous inputs (via runoff or dust)14,15, hydrothermal activity4,6, and benthic flux of porewaters3,16,17. Phosphorus-bearing phases, particularly bioapatite (e.g., fossil fish teeth and bones, ideal formula Ca5(PO4)3(OH)) and authigenic apatite (mainly carbonate-fluorapatite, CFA, approximated as Ca9.54Na0.33Mg0.13(PO4)4.8(CO3)1.2F2.48), are recognized as the final sinks for REY in deep-sea sediments, accounting for ~69.3–89.4% of the total REY content8,18,19,20,21. The concentration contrast of twelve orders of magnitude between seawater (REY ~ 1.47 × 10−9 mg kg−1) and sediments reflects complex enrichment processes3,12,22. The mineral phase element transfer via adsorption-desorption and crystallization-dissolution between seawater particles (e.g., Fe-Mn (oxyhydr)oxides or organic matter) and sediment porewaters likely plays a critical role12,23. Marine particles with high specific surface areas effectively scavenge dissolved REY from the water column via adsorption or complexation, facilitating their transport to the seafloor3,12,17. Among these, Mn (oxyhydr)oxides exhibit the strongest REY scavenging capacity, followed by Fe (oxyhydr)oxides and organic particles16. During early diagenesis, REY are remobilized from particles and become enriched in porewaters12,23, reaching concentrations up to two orders of magnitude higher than seawater3,12,17. These REY are ultimately incorporated into the apatite lattice through charge-balanced substitution reactions, such as REY3+ + Na⁺ ↔ 2Ca2+ and REY3+ + Si4+ ↔ Ca2+ + P5+ 8,19. Although the transfer of REY from particles to porewaters is crucial for enrichment3,12,16,23, the underlying mechanisms remain poorly understood.
Previous studies have primarily addressed inorganic mechanisms promoting REY migration into porewaters, particularly particle dissolution or phase transformation driven by variations in pH and redox conditions3,12,19,24,25. Microorganisms and their metabolic activities, ubiquitous in marine settings, may also critically influence REY mobility23,26,27. Although microbial abundance in deep-sea sediments is low (103–104 cells cm−3, two to three orders of magnitude lower than in shelf sediments), these sediments cover about 80% of the seafloor and may represent 10-50% of global subsurface microbial biomass28,29. Under specific geochemical conditions (e.g., particular pH and Eh ranges), microbial respiration processes such as aerobic, nitrate, Fe-Mn, and sulfate reduction may be key drivers of REY redistribution, primarily by facilitating the degradation of organic matter and the reduction of metal (oxyhydr)oxides23,30. Climatic influences on these processes also warrant attention. Against the backdrop of Cenozoic global cooling, the expansion of polar ice sheets enhances surface ocean productivity by intensifying and shifting global surface wind fields (due to a steeper latitudinal temperature gradient)31,32,33. The resultant increase in marine organic matter flux enhances ocean reductivity, manifested by an expanded oxygen minimum zone and a shift in surface sediments from aerobic (dissolved O2 (DO) > 87.5 μM) to suboxic (DO ~ 15.6–87.5 μM) conditions34. In accordance with the Redfield ratio (C:N:P ≈ 106:16:1), intensified heterotrophic denitrification under such conditions promotes phosphate accumulation in deep waters21,34,35. Furthermore, increased surface ocean productivity and/or enhanced eolian dust input under this climatic background enhances the scavenging of REY and phosphate by marine particles23,36. These conditions act synergistically, leading to the deposition of sedimentary precursors that enhance microbially mediated release of REY and phosphate into porewater, facilitating authigenic apatite precipitation23,36. Nonetheless, due to very low sedimentation rates and microbial oxidative degradation of organic proxies12,37, the quantitative links among microbial activity, REY behavior, and climate drivers in deep-sea sediments remain poorly constrained.
Microbially mediated iron geochemistry cycling offers a key pathway to address current knowledge gaps. Iron-metabolizing bacteria, particularly dissimilatory iron-reducing bacteria (DIRB) and magnetotactic bacteria (MTB), are well-studied and ubiquitous in marine systems38,39,40. These microorganisms transfer electrons from organic matter to Fe(III), reducing it to Fe(II)39,40,41. By coupling organic matter degradation and iron (oxyhydr)oxides dissolution or phase transformation, this process plays a critical role in the mobilization and cycling of REY and phosphate among the water column, marine particles, sediments, and porewater23. Although modern deep-sea bottom waters are generally well-oxygenated (DO > 100 μM) owing to limited organic input and oceanic circulation, suboxic conditions can develop within the upper few centimeters of sediment in regions with relatively higher surface productivity, such as the northwestern and equatorial Pacific16,34. These suboxic environments provide ideal niches for iron-reducing bacteria whose metabolic activity responds sensitively to redox variations influenced by climate change and surface productivity39,40. A key advantage of the iron cycle over other microbially driven elemental cycles (e.g., O, N, S, Mn, C) is the production of biogenic magnetite [Fe(II)Fe(III)2O4], which can serve as a tracer recording past microbial activity in deep-sea environments23,39,42,43,44,45. DIRB extracellularly precipitate nanoscale magnetite particles40,44, whereas MTB form intracellular magnetite chains (magnetosomes) under strict genetic control38,39,41. These biogenic minerals remain stable under mild early diagenetic conditions and retain distinctive chemical, magnetic, and mineralogical properties39,42,43,46,47, making them potential proxies for identifying microbial redox cycling of metals in deep-sea geological records23,39,48. Therefore, elucidating the connection between microbial iron cycling and REY mobilization provides a novel framework for understanding the microbial role and its drivers in deep-sea REY enrichment.
This study investigates the co-variation of REY with magnetic minerals in a northwestern Pacific deep-sea sediment core by integrating a multidisciplinary suite of geochemical, magnetic, and mineralogical analyses. Focusing on microbially mediated iron biogeochemistry, we trace the critical yet underappreciated role of microbial activity in REY migration and provide a preliminary quantification of its contribution. By leveraging an established chronological framework, we further explore the potential climatic mechanisms governing this microbially driven REY enrichment. Our findings advance the understanding of biogeochemical controls on marine element cycling and offer valuable insights into the feedback between global climate change and oceanic metal fluxes.
Results
Geological background
The northwestern Pacific contains three major seamount groups: the Magellan, Marcus-Wake, and Marshall Seamounts (Fig. 1a), where volcanic activity occurred primarily from the Cretaceous to Eocene49. Thick REY-rich ferromanganese crusts on seamount summits and flanks (1600–2200 m water depth) are interpreted to have formed by deposition of Fe-Mn (oxyhydr)oxides particles from the water column49. Phosphate infillings within sedimentary hiatuses are associated with phosphogenic events related to intensified upwelling and oxygen minimum zone expansion35.
a Sampling locations of deep-sea sediment cores GC112 and GC1837 in the Pigafetta Basin, western Pacific. b Downcore variations of Ca, Sr, P, and REY concentrations in core GC18. Light-colored lines denote high-resolution X-ray fluorescence (XRF) scanning data37; solid squares represent whole-rock chemical analyses. c Chronostratigraphic framework for the Pigafetta Basin deep-sea sediments, established by integrated 10Be/9Be dating and paleomagnetic data from core GC1837. The error bars correspond to the dating uncertainties. The REY-rich interval is constrained to an age of 11.8–13 Ma.
This study focuses on the Pigafetta Basin, located between these seamount chains at water depths of 5000–6500 m (Fig. 1a). Its upper 0–40 m of sediment consists mainly of brown zeolitic clays, deposited from the Late Cretaceous to Pliocene, with potential sources including eolian dust and weathered basaltic seamount material. The sequence is characterized by low sedimentation rates (< 0.5 m Ma−1) and low organic and terrigenous content12,37. Based on core GC18 (16°54.11′N, 162°10.79′E; Fig. 1a), an integrated paleomagnetic and 10Be/9Be chronology constrains the REY-rich interval at 2.6–3.9 m depth (Fig. 1b) to a depositional age of 11.8–13 Ma (Fig. 1c)37.
The deep-sea sediment gravity core GC112 (16°54′06″N, 162°10′47″E) was collected from the Pigafetta Basin at ~5700 m water depth aboard the R/V Haiyang Diliuhao (same site as GC18; Fig. 1a). The 745-cm-long core consists of homogeneous, carbonate-free brown pelagic clay sampled from below the CCD.
Elemental geochemical signatures
The middle section (240–390 cm) of core GC112 was significantly enriched in REY, P, and Ca, with ΣREY concentrations reaching 2300 mg kg−1 (Fig. 2a and Supplementary Table 1). These REY-rich intervals corresponded well with those previously identified in core GC18 (gray hollow squares in Fig. 2a). Total organic carbon (TOC) content remained low throughout the core (0.2–0.4 wt%), showing only a minor increase within the REY-rich zone (Fig. 2a). Whole-rock iron content (reported as Fe2O3) varied narrowly between 6.94 and 8.72 wt%, slightly above the upper continental crust average (4.93 wt%)50 but markedly below values for hydrothermally influenced East Pacific sediments (10–30 wt%)23. The REY-rich interval displayed a negative shift in whole-rock δ56Fe values (as low as −0.08‰) relative to the background, suggesting preferential light isotope enrichment (Fig. 2a and Supplementary Table 2). Weak correlations were observed between ΣREY and Fe or Mn (R2 ≤ 0.25; Fig. 2b), in sharp contrast to the strong linear relationships found between ΣREY and P and Ca (R2 ≥ 0.96; Fig. 2c), consistent with previous findings from the western Pacific23,24,51.
a Downcore variations of elemental concentrations, total organic carbon (TOC), magnetic susceptibility, and Fe isotope ratios in core GC112. The light blue shaded area denotes REY-rich layers (ΣREY > 700 mg kg−1)6. Data from core GC18 are shown for comparison (gray hollow squares). Correlation plots of ΣREY versus Fe and Mn (b), and versus P and Ca (c). Data from this study (solid squares) and compiled literature (hollow circles) are plotted24,51. d REY distribution patterns of the REY-rich layer in core GC112, normalized to Post-Archean Australian Shale (PAAS) and Pr3,52. Patterns from representative hydrothermal fluids, seawater, and various porewater types are shown for comparison3,4,12,17,53,54. e Iron phase distribution in the REY-rich layers (n = 3), error bars represent the analytical precision; background sediment data are provided in Supplementary Table 2.
The REY distribution patterns of the REY-rich layer in core GC112, normalized to Post-Archean Australian Shale (PAAS) and Pr3,52, displayed relative MREE enrichment and a negative Ce anomaly (red squares in Fig. 2d). These patterns were distinct from Fe-rich hydrothermal fluids (positive Eu anomaly; brown line in Fig. 2d)4 and methane-rich sulfidic settings (HREE-enriched; light blue line in Fig. 2d)53. Compared to eastern Pacific shelf sediments, the MREE-enriched signature more closely resembled Fe-bearing porewaters (dark gray line in Fig. 2d) than Fe-depleted porewaters (light gray line in Fig. 2d)3,17. Similarly, the MREE/MREE* ratio (1.45 ± 0.03) was comparable to secondary REY-released porewaters from the Pigafetta Basin (1.32; yellow squares in Fig. 2d)12, but distinct from seawater (0.74; light green line in Fig. 2d)54 and seawater-dominated porewaters (0.83; blue squares in Fig. 2d)12, both of which showed HREE enrichment. The negative Ce anomaly (Ce/Ce* = 0.33 ± 0.10) was intermediate between seawater (0.07)54 and secondary REY-released porewaters (0.42)12, lying closer to the latter (Fig. 2d).
Iron speciation analysis of the REY-rich layer revealed a depletion in the carbonate-bound fraction, with the iron pool comprising poorly crystalline (12.2 ± 0.53%), crystalline oxide (30.6 ± 0.19%), magnetite (22.3 ± 1.11%), and silicate-bound (34.9 ± 0.70%) phases (Fig. 2e and Supplementary Table 3).
Magnetic profile and characteristics
Despite limited variation in iron content, the REY-rich layers in core GC112 exhibited a marked increase in mass-specific magnetic susceptibility (χ) (Fig. 2a and Supplementary Table 4), suggesting a relative enrichment of ferrimagnetic minerals. To further investigate this magnetic signature, we conducted systematic rock magnetic analyses.
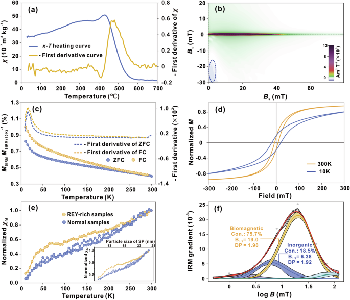
The temperature-dependent magnetic susceptibility (κ-T) heating curves dropped to zero near the Curie temperature of magnetite (TC ~ 580 °C), confirming its presence (Fig. 3a)55. The most rapid decrease in χ occurred near 475 °C, significantly lower than the standard TC for standard magnetite (Fig. 3a), likely reflecting fine grain size or imperfect crystallinity55. First-order reversal curve (FORC) diagrams of the REY-rich layers displayed a dominant central ridge and a negative region in the lower left-hand corner (blue dashed box, Fig. 3b), together diagnostic of biogenic magnetite in the single-domain (SD, 25–80 nm) size range39,56,57. Compared to background sediment, FORC diagrams of REY-rich layers showed no vertical spread along the Bu axis and a stronger central ridge (Supplementary Fig. 1), indicating minimal coarse-grained magnetite particles (e.g., pseudo-single-domain, PSD, > 80 nm, and multi-domain, MD, µm-scale micrometer-sized) and a higher SD proportion39,56,57. The absence of a clear Verwey transition near 120 K, a cubic-to-monoclinic phase change in magnetite usually seen in larger grains, in the zero-field-cooled (ZFC) and field-cooled (FC) curves further indicates limited PSD/MD abundance (Fig. 3c)39. FORC contours extending from the origin (Bc = 0 mT) suggest superparamagnetic (SP, < 25 nm) magnetite particles56. Hysteresis loops showed a coercivity increase from ~7.7 mT at 300 K to ~20.3 mT at 10 K (Fig. 3d), consistent with SP to SD transition upon cooling58. Low-temperature alternating current (AC) susceptibility confirmed higher SP concentrations (10–15 nm) in REY-rich layers than in background sediment (Fig. 3e)59. The isothermal remanent magnetization (IRM) acquisition curves were dominated by low-coercivity components, which comprised two soft magnetic phases with median coercivities (B1/2) of 19.0 mT (75.7%) and 6.38 mT (18.5%) (Fig. 3f), with no detectable high-coercivity fraction.
a κ-T heating curve, b FORC diagram, c ZFC and FC curves, d hysteresis loops, e Low-temperature AC susceptibility of REY-rich and background samples (Inset: Maximum-normalized χfd versus SP particle size, with analytical method follows Liu et al.59), and f IRM coercivity component analysis. Background layer results are provided in Supplementary Fig. 1.
Microscopic characteristics
Transmission electron microscopy (TEM) of magnetic particles extracted from REY-rich layers via Nd-magnet separation revealed both irregular nanoparticle aggregates (Fig. 4a) and octahedral nanoparticles arranged in chains (Fig. 4c). Energy-dispersive X-ray spectroscopy (EDS) confirmed a composition dominated by Fe and O, with negligible other elements (Figs. 4a, c). Selected-area electron diffraction showed polycrystalline rings identifying magnetite as the dominant iron oxide phase (Fig. 4a), while high-resolution TEM clearly resolved characteristic lattice fringes (Fig. 4b). Scanning electron microscopy (SEM) of whole-rock samples from the REY-rich layers revealed abundant authigenic phosphorus-bearing phases (Fig. 4d, e) and bioapatite (e.g., fossil fish teeth; Fig. 4f, g). EDS and elemental mapping indicated that these authigenic phosphorus-bearing phases are likely CFA, occurring as spherical aggregates (Fig. 4b) or in an amorphous form associated with phillipsite surfaces (Fig. 4e)18.
a–c TEM images of magnetic particles extracted from REY-rich sediments via Nd-magnet separation. Corresponding selected-area electron diffraction (SAED) patterns and energy-dispersive X-ray spectroscopy (EDS) results are shown as insets. Image (b) presents a high-resolution view of the area outlined in (a). d, e SEM images of whole-rock samples from the REY-rich layer, with corresponding elemental maps shown below (blue arrows). f, g SEM images of biogenic apatite (fossil fish teeth) from the REY-rich layer. Locations of EDS point analyses are indicated by red targets.
Discussion
The enrichment of REY in the northwestern Pacific deep sea begins with scavenging of dissolved REY by marine particles, such as Fe-Mn (oxyhydr)oxides and organic matter16,23. Organic particles originate mainly from surface primary productivity16,34, whereas terrigenous dust input likely dominates the supply of Fe-Mn (oxyhydr)oxides in the study area14,37. This interpretation is supported by the location of the Pigafetta Basin, which is far from mid-ocean ridges and shows little hydrothermal influence, as indicated by the lack of a pronounced positive Eu anomaly (Fig. 2d) and iron concentrations near the upper continental crust average (Fig. 2a)23. Owing to their high specific surface area (200–500 m2 per g) and variable surface charge60, these particles efficiently adsorb REY via surface complexation, with distribution coefficients reaching 103–104 L per kg61. This process acts as a pump that preconcentrates REY during transit to the sediments16,23,62. However, marine particles likely only temporarily host REY. Organic matter undergoes aerobic degradation in the water column or at the sediment-water interface, releasing associated REY, consistent with the low organic carbon content in the sediments (Fig. 2a)16. The weak correlations between whole-rock REY and Fe or Mn (Fig. 2b) indicate post-depositional decoupling of these elements, likely linked to dissolution or phase transformation of Fe-Mn (oxyhydr)oxides3,23.
The strong linear correlations between whole-rock REY and P or Ca (Fig. 2c) indicate that phosphate minerals represent the ultimate sink for REY in deep-sea sediments12,20,24. Marine phosphorus is primarily derived from riverine inputs and subsequently transported to deeper layers via processes such as the biological pump and particle scavenging63. For instance, compared to surface waters, the oxygen minimum zone exhibits relative phosphate enrichment due to pronounced nitrogen limitation21,34,35. Ultimately, phosphorus is incorporated into sediments as organic particles or associated with Fe-Mn (oxyhydr)oxides63. In deep-sea settings, where conditions generally preclude minerals requiring high organic matter and strict anoxia (e.g., anapaite and vivianite), bioapatite and authigenic apatite are the dominant phosphorus sinks10,20,64. Bioapatite (e.g., fossil fish teeth and bones) is a well-established host for REY, in which REY3+ is incorporated into the apatite lattice via charge-balanced coupled substitution for Ca2+ and P5+, facilitated by Na+ or Si4+10,20. However, our statistical analysis indicates that fossil fish debris accounts for only ~0.39 wt% of the REY-rich layer (contributing ~5.38% to total P; Supplementary Table 5), implying that most phosphorus resides in transient Fe-Mn (oxyhydr)oxides associated phases or authigenic minerals23. This is consistent with a significant deficit observed between the measured and theoretical REY capacities of bioapatite, pointing to an additional phosphate-associated sink65. Authigenic CFA is proposed as the most probable candidate18,65. Phosphorus delivered via organic matter or Fe-Mn (oxyhydr)oxides can be remobilized during early diagenesis, increasing porewater saturation and promoting CFA precipitation18. As CFA is believed to control over 50% of marine phosphorus burial, it is increasingly recognized as a major potential sink for REY in deep-sea sediments, alongside bioapatite18,63,65.
The concentration contrast of twelve orders of magnitude between seawater and sediments points to complex, multi-stage enrichment pathways12. A key step is the post-depositional release of REY and phosphate from particles into porewaters3,17,23, which can enrich REY in porewaters by up to two orders of magnitude over seawater, providing a more direct source for sediment incorporation3,12. Consequently, REY patterns in the GC112 REY-rich layer (MREE-enriched) more closely match porewaters influenced by secondary REY release than seawater (Fig. 2d). Phosphate entering the porewater can precipitate as authigenic apatite (mainly CFA) within hours to days, thus forming a key sink for REY18,36. The migration of REY from porewater into authigenic apatite is likely synchronous with its formation18, and fixation into bioapatite reaches equilibrium on a timescale of 103–104 years66. Intensified ocean circulation and extremely low sedimentation rates (<0.5 m Ma−1) may promote REY enrichment via enhanced phosphorus burial, a process mechanistically similar to the formation of condensed strata67.
The transfer of REY from marine particles to porewaters occurs through two potential pathways: dissolution and mineralogical transformation3,12,23. The release of REY and phosphate from organic particles is controlled by oxidative degradation16, which consumes dissolved oxygen in surface sediments and establishes suboxic conditions within the upper few centimeters16,34. Such conditions are common in areas with productivity exceeding typical pelagic backgrounds, like the northwestern and equatorial Pacific34. Unlike reductive dissolution of Fe-Mn (oxyhydr)oxides in anaerobic, high-organic-flux environments (e.g., eastern Pacific shelf)3,17, suboxic deep-sea sediments favor secondary mineralization of these phases into more crystalline forms12,23. This recrystallization reduces the specific surface area of poorly crystalline Fe-Mn (oxyhydr)oxides by 50–80%, releasing large-radius REY3+ ions (1.216–0.977 Å) into porewaters via lattice exclusion23. As reported by previous studies, porewaters from the Pigafetta Basin intervals experiencing secondary REY release exhibit low concentrations of dissolved iron (~1 μM) and manganese (~0 μM), evidence which supports the dominance of mineral phase transformation versus reductive dissolution12. The preferential adsorption of MREEs and Ce4+ onto Fe-Mn (oxyhydr)oxides yields MREE-enriched patterns and a weaker negative Ce anomaly in porewaters, distinct from seawater signatures (Fig. 2d)23. This finding is consistent with REY patterns in Fe-bearing porewaters from the eastern Pacific shelf3 and secondary REY-release porewaters from the northwestern Pacific12. Ultimately, these geochemical signals are preserved in deep-sea sediments23.
Previous studies have primarily invoked inorganic mechanisms to explain REY transfer from particles to porewaters, such as pH/redox-driven organic matter degradation and Fe-Mn (oxyhydr)oxides dissolution or phase transformation3,10,12,17,68, whereas the role of microbial activity remains poorly constrained. Microbial processes, ubiquitous in marine settings and highly diverse in metabolic function, are increasingly recognized as a key driver in these processes23. For example, microbial aerobic respiration in the water column or surface sediments can promote REY release by mediating organic matter oxidation16. Under suboxic or anoxic conditions, microbial metabolisms such as fermentation, nitrate, Fe-Mn, or sulfate reduction and methanogenesis may also facilitate REY mobilization from particles into porewaters53. The dominant metabolic pathways, however, are strongly governed by sedimentary conditions such as the abundance and type of available substrates28,53. Unlike other microbial processes that leave scarce or ambiguous traces, microbial iron cycling and its diagnostic byproduct, biogenic magnetite, provide a promising proxy for identifying microbial contributions to REY enrichment23,39,48. For instance, microbial iron metabolism (via DIRB and MTB) can enhance Fe (oxyhydr)oxides crystallinity through secondary mineralization without significant reductive dissolution23,69, thereby releasing REY into porewaters. This view is supported by the persistently low dissolved iron concentrations in Pigafetta Basin porewaters12. The concomitant degradation of organic matter and release of phosphate during these processes further promote REY release and authigenic apatite crystallization16,18,23,62, a phenomenon potentially driven by enhanced deep-sea phosphorus burial under low sedimentation rates and intensified ocean circulation, analogous to the genesis of condensed sediment strata67. Both earlier surveys23 and this study observe a concurrent increase in iron-bearing magnetic minerals within REY-rich layers in northwestern Pacific basins, with magnetite constituting a major phase (up to 22.3% of total iron; Fig. 2e, Supplementary Table 3). Determining the biogenic origin of these magnetite particles is crucial for tracing microbial involvement in REY enrichment.
The Pigafetta Basin, site of core GC112, lies far from the East Pacific Rise and shows no significant positive Eu anomaly in its REY patterns (Fig. 2d), indicating a negligible hydrothermal contribution4,23. Consistent with this interpretation, the sediment iron content is close to the upper continental crust average, suggesting a dominant terrigenous eolian dust source; this contrasts with the elevated iron levels in hydrothermally influenced East Pacific sediments23,37. Furthermore, unlike the abundant dissolved Fe2+ in reducing shelf settings17 and hydrothermal systems4, the suboxic deep-sea surface sediments in this study area exhibit consistently low porewater Fe2+,12. The structural Fe2+ in magnetite is therefore likely sourced from microbial iron reduction12,23. Culture experiments confirm that biogenic magnetite is enriched in light iron isotopes, with DIRB-produced magnetite showing Δ56Fe values of −2.6‰ to −1.3‰ relative to the substrate70. These isotopic signatures have been instrumental in identifying microbial magnetite origins in banded iron formations42,44. In contrast, magnetosome magnetite exhibits a narrower range of −2.5‰ to −1.5‰46. In the hydrothermally unaffected GC112 core, the slight negative shift in whole-roke δ56Fe within the REY-rich layer (Fig. 2a) may thus signal enhanced microbial iron reduction during deposition, even considering potential dilution from crustal iron sources (δ56Fe ≈ +0.082‰)50.
Size-dependent magnetic properties and distinct crystallographic features provide key diagnostic criteria for biogenic magnetite23,39,48. Magnetosomes formed via MTB-controlled biomineralization typically display SD behavior (grain size ~25–80 nm at room temperature), characterized by high coercivity and stable remanence resulting from uniform magnetic alignment38,39,41. In contrast, DIRB-induced magnetite generally occurs in the SP state (<25 nm at room temperature), exhibiting negligible coercivity and no remanence at room temperature due to rapid magnetic randomization under thermal energy48,59. DIRB-synthesized magnetite also commonly shows poor crystallinity, further diminishing magnetic stability owing to the absence of membrane constraints during extracellular formation40,41,48. In this study, κ-T heating curves confirmed magnetite by a TC near 580 °C55. Additional room- and low-temperature magnetic analyses revealed that magnetite in REY-rich intervals is predominantly composed of SD and SP particles. The SD fraction likely derives from disaggregated magnetosome chains39,48, while the SP particles are attributed to extracellular precipitation by DIRB, with sizes confined to 10–15 nm (Fig. 3f)40,59. These results are corroborated by TEM imaging (Figs. 4a–c). Furthermore, the FORC diagram pattern (Fig. 3b), the absence of a Verwey transition in ZFC/FC curves (Fig. 3e), and IRM unmixing results (indicating 75.7% biogenic contribution; Fig. 3c) collectively suggest that the contribution of detrital grains characterized by PSD/MD magnetite is negligible relative to the dominant SD/SP biogenic magnetite58,71.
Multiple independent lines of evidence suggest enhanced microbial iron metabolism (such as dissimilatory iron reduction or magnetosome mineralization) coincident with REY enrichment in core GC112, implying a microbial contribution to deep-sea REY accumulation. A higher abundance of metal-reduction genes in REY-rich layers compared to background sediments, as shown by prior metagenomic studies23, implies a potentially more active role of microbial metal reduction during mineralization, offering partial support for our hypothesis.
After preliminarily tracing microbial activity in deep-sea REY enrichment via iron metabolism, we applied a two-end member iron isotope mixing model to quantify the microbial contribution. Using the upper continental crust (Fe = 3.52 wt%, δ56Fe = +0.082‰)50 and microbial magnetite (Fe = 72.36 wt%, δ56Fe = −0.4‰)72 as end-members, the model indicates a microbial contribution ranging from 0 to 2% (Fig. 5). In the simulation, a conservative δ56Fe value of −0.4‰ was adopted for microbial magnetite (less fractionated than the −2‰ reported in pure-culture studies) yet the model still yields a detectable microbial signal, providing partial support for the core hypothesis. Nevertheless, we consider these estimates likely underestimated for several reasons: (1) The simplified end-member assumption overlooks the integrated nature of whole-rock δ56Fe, which represents a mixture of multiple iron phases; (2) Unconstrained isotopic variability in other sediment phases (e.g., clays or oxides), if distinct from the crustal value, would affect model accuracy. For instance, higher δ56Fe in non-microbial phases would further suppress the calculated microbial contribution; (3) Laboratory-cultured microbial magnetite may not fully replicate in situ biomineralization conditions. Despite these potential masking effects, the REY-rich layers show consistently higher modeled microbial contributions than the background sediments (Fig. 5), lending moderate support to the proposed mechanism. We further constrained these inputs by integrating iron speciation analysis and IRM coercivity unmixing.
The model constrains the proportion of microbial magnetite relative to a continental upper crustal endmember; the light red percentages indicate the modeled microbial contribution.
A REY flux model for the western Pacific basin (see “Materials and Methods”) reveals a quasi-closed sediment-porewater system, with only 3.2-7.9% of REY recycled into bottom seawater, indicating that over 92% of REY is ultimately retained within the deep-sea sediments. Iron speciation data indicate that magnetite accounts for 22.3% of the total iron content and 25.3% of the secondary iron pool (excluding primary poorly crystalline phases; Fig. 2c and Supplementary Table 3). IRM unmixing further suggests that biogenic magnetite constitutes ~75.7% of the total magnetite. Multiplying these proportions, we estimate that microbial iron cycling converted about 19.2% of the poorly crystalline iron (e.g., ferrihydrite) into magnetite. This process is accompanied by a reduction in the specific surface area of amorphous Fe (oxyhydr)oxides and the release of large-radius REY3+ into pore waters via lattice exclusion12,23. Given that over 92% of REY is retained in the sediments (based on flux estimates), microbial secondary mineralization contributes to at least 17.6% of the REY enrichment. It should be noted that this value represents a lower-bound estimate of the microbial contribution. If currently unquantified microbial processes are considered, such as fermentation28,73, microbial goethite formation43, Mn(IV) reduction16,74, organic carbon mineralization3,17, and clay mineral neoformation/dissolution62,68, the total microbial contribution is likely higher.
Marine microbial processes are strongly influenced by global climate dynamics34,75, making it essential to investigate their potential climatic drivers to understand their role in deep-sea REY enrichment. A robust chronostratigraphic framework has been established for the Pigafetta Basin using sediment core GC18 (Figs. 1b, c)37. Based on this framework, the REY-rich intervals in the middle sections of both GC18 and GC112 were deposited between 11.8 and 13 Ma, coinciding with the Middle Miocene Climate Transition (MMCT; 12.6–14.8 Ma)31.
The MMCT followed the Middle Miocene Climatic Optimum (MCO; 17.0–14.8 Ma) and was characterized by rapid global cooling, during which Pacific sea surface temperatures (SSTs) were 2–4 °C lower than present31,32,33. This cooling, coupled with polar ice sheet expansion, enhanced the meridional SST gradient between low-middle and high latitudes, which in turn intensified global wind fields and ocean circulation31,35. Intensification of the Pacific Walker Circulation reinforced upwelling and shoaled the thermocline, resembling a La Niña-like state31. Under these conditions, increased nutrient supply from both deep waters and terrigenous eolian dust stimulated primary productivity, leading to an elevated flux of organic matter to the seafloor (Fig. 6a)31,32,33,35,76. The consequent rise in oxygen consumption during organic matter mineralization contributed to an expansion of the oxygen minimum zone and a shoaling of the oxygen penetration depth in deep-sea sediments16,34. This sequence of processes began in the eastern Pacific (~15.1 Ma) and propagated westward on a million-year scale, reaching the western Pacific by ~13.6 Ma31.
a Schematic diagram of microbial iron metabolism mediating REY enrichment in marine sediments. P-OM: phosphorus-containing organic matter. b Cenozoic evolution of ΔSSTL-H and Δδ15NP-A as well as deposit ages of Pacific deep-sea REY-rich. The error bars represent the dating uncertainties. Long blue arrows represent ice sheet expansion stages in the northern and southern hemispheres. ΔSSTL-H and Δδ15NP-A data sourced from Auderset et al.32 and Hess et al.31; REY-rich sample ages are provided in Supplementary Table 3. Epoch abbreviations: Pleistocene (Ple), Pliocene (Pli), Paleocene (Pal).
Under such climate variability, increased fluxes of marine particles (derived from dust or primary production) promoted the transfer of REY and phosphate from the water column to deep-sea sediments16. Subsequent microbial-mediated organic matter degradation and Fe-Mn (oxyhydr)oxides phase transformation in surface sediments, alongside abiotic processes (e.g., sorting and reworking by vigorous deep-water circulation35,37), facilitated the release of REY and phosphate into porewaters, creating favorable conditions for their ultimate sequestration into phosphate phases (Fig. 6a)23,76. Although most microbial signatures are obscured by organic degradation, the suboxic conditions resulting from oxygen consumption provided an ideal niche for microbially driven iron cycling23,31,34. The concurrent enhancement of microbial iron reduction in REY-rich layers offers a potential tracer for quantifying the biological contribution to REY enrichment. To assess the generality of this climate mechanism, we analyzed the relationship between Cenozoic Pacific deep-sea REY enrichment and global climate change (Fig. 6b and Supplementary Table 6). In Fig. 6b, ΔSSTL-H represents the low-middle versus high latitude SST gradient, and the Pacific-Atlantic foraminiferal δ15N difference (Δδ15NP-A) serves as a sensitive proxy for redox responses to SST changes, effectively indicating ΔSSTL-H31. Peaks in both proxies reflect an increased SST gradient, driven by high-latitude climate sensitivity. As shown in Fig. 6b, major Cenozoic Pacific REY enrichment events often occurred during periods of elevated ΔSSTL-H induced by significant climate transitions, suggesting that climatic perturbations are a potential driver of deep-sea REY accumulation66,76.
While microbial iron cycling provides a novel perspective for tracing microbial contributions, deep-sea REY enrichment results from a complex interplay of abiotic and microbial processes12,23,76. The detailed mechanisms underlying this synergy require further qualitative and quantitative clarification. Furthermore, the significant spatial and temporal heterogeneity of microbial roles in REY enrichment warrants future investigation23. Nonetheless, this study highlights the crucial yet underestimated contribution of biological processes to deep-sea REY enrichment and offers valuable insights into the links between REY-rich deposits, marine productivity, and climate change.
Methods
Geochemical analysis
Sediments were systematically sampled at 15 cm intervals, freeze-dried, and homogenized to < 200 mesh for analysis. Samples (50 mg) were digested in pre-cleaned polytetrafluoroethylene vessels using a 1:1 (v v−1) HF-HNO3 mixture and evaporated to dryness at 190 °C for 48 h. The residues were subsequently redissolved in 50% HNO3 and dried at 150 °C for ≥ 8 h. Major elements were analyzed using an Agilent 5900 inductively coupled plasma-optical emission spectrometer (ICP-OES; Agilent Technologies, USA), while trace elements and REY were determined with an Agilent 8900 triple quadrupole inductively coupled plasma-mass spectrometer (ICP-MS; Agilent Technologies, USA). Sediment TOC was measured with an elemental analyzer (Thermo Scientific Flash 2000, USA) following treatment with 1 M HCl for 48 h to remove inorganic carbon. Procedural blanks were below the instrument detection limits, and analytical precision was better than 5% for all elements (Supplementary Table 1). Analytical accuracy, verified using the GSD-9 reference standard, showed uncertainties ranging from −3.5% to +4.1% for all elements (Supplementary Table 1). All REY patterns were normalized to Post-Archean Australian Shale (PAAS) using values from McLennan (2001)52. The degree of MREE fractionation relative to LREE and HREE was quantified as MREE/MREE* = 2 × MREEaverage/(LREEaverage + HREEaverage), and the Ce anomaly was calculated as Ce/Ce* = 2 × Ce/(La + Pr)12.
For Fe isotope analysis, aliquots (50 mg) of samples were sequentially digested with 1:1 (v v−1) HF-HNO₃ and 3:1 (v v−1) HCl-HNO3 mixtures, followed by evaporation to dryness. The residues were dissolved in 1 mL of 8 M HCl containing 0.001% H2O2 and purified using AG-MP-1M resin. Matrix elements (e.g., Na, Mg, Al, K, Ti, Mn, Ni, Ba, REY) were eluted with 9 mL of the same solution, Cu with 28 mL, and Fe was collected with 16 mL of 0.5 M HCl77. Iron isotopes were measured using a Nu Plasma 1700 multi-collector ICP-MS (MC-ICP-MS; Nu Instruments, UK), with procedural blanks confirming negligible contamination. Mass bias and instrumental drift were corrected by sample-standard bracketing using IRMM-14. Repeat analyses yielded internal precision better than 0.03‰ (2σ) and external reproducibility better than 0.04‰ (2σ; Supplementary Table 2). δ56Fe values are reported relative to IRMM-14, calculated as δ56Fe (‰) = 1000 × [(56Fe/54Fe) sample/(56Fe/54Fe) IRMM-14 − 1].
In addition, whole-rock samples (200 mg aliquots) underwent a five-step sequential extraction to quantify carbonate, weakly crystalline, crystalline, magnetite, and silicate bound Fe fractions, achieving 87.5–94.7% total Fe recovery (Supplementary Table 3). Detailed reagents and conditions are provided in Supplementary Table 714.
Magnetic characterization
Mass-specific susceptibility (χ, 10−7 m3 kg−1) was measured using a Kappabridge MFK1-FA susceptibility meter (AGICO, Czech Republic) at 976 Hz with a field intensity of 200 A m−1. Temperature-dependent susceptibility (κ-T) measurements were conducted using the Kappabridge MFK1-FA equipped with a CS-3 high-temperature unit in an argon atmosphere.
First-order reversal curve (FORC)57 measurements were conducted using a MicroMag 3900 vibrating sample magnetometer (Princeton Measurements Corporation, USA). For each sample, 120 FORCs were acquired with a maximum field of 0.5 T, 1.87 mT field increments, and 150–400 ms averaging time; data were processed via the VARIFORC protocol in FORCinel78.
Isothermal remanent magnetization (IRM) curves were acquired via stepwise alternating field demagnetization (28 logarithmically spaced steps, max 120 mT) on a 755–4K U-Channel superconducting quantum interference device (SQUID) magnetometer (2 G Enterprises, USA). IRM demagnetization data were deconvoluted into coercivity components using the Max UnMix web application based on median coercivity (B1/2) and dispersion coefficient (DP)79.
Room temperature (300 K) and low-temperature (10 K) hysteresis loops, zero-field-cooling (ZFC) and field-cooling (FC) curves, as well as low-temperature alternating current (AC) susceptibility were measured using a MPMS-3 SQUID magnetometer (Quantum Design, USA). For ZFC and FC measurements, saturation IRM was acquired at 10 K in a 2.5 T field after cooling from 300 K under either zero-field or 2.5 T field conditions, then monitored during warming from 10 to 300 K with 5 K increments39,80. Low-temperature AC susceptibility was measured at 1 Hz and 100 Hz (10–300 K, 5 K steps), with frequency dependence quantified as χfd = (χ1 Hz − χ100 Hz)/χ1 Hz × 100%59,81.
Microscopic observation
Magnetic particles were isolated using a neodymium magnet. After placing these magnetic particles re-dispersed in ethanol into the copper grid with a carbon film and dried at ambient temperature, their transmission electron microscope (TEM) images were obtained using a Titan 80–300 STEM (Thermo Fisher Scientific, USA). Whole-rock sediment powder was affixed to conductive tape and gold-coated for scanning electron microscope (SEM) analysis using a JSM-5800 LV microscope (JEOL Ltd., Japan) in secondary electron imaging mode at energy levels between 15 and 20 keV. The elemental composition was ascertained via an integrated EDS probe.
Quantifying regeneration efficiency of REY in deep-sea sediments
In marine environments, REY are scavenged from the water column by particles and may be released into sediment porewater, where they can diffuse back into bottom seawater, a process referred to as benthic reflux3,12,16. Although this porewater-to-seawater reflux mechanism explains the generally low REY contents observed in shallow marine sediments, deep-sea pelagic sediments (covering 40.7% of the seafloor area)82 exhibit significantly higher REY enrichment, suggesting limited recycling of REY back to the overlying water. To evaluate the influence of this mechanism on deep-sea REY enrichment, we quantified the regeneration efficiency of REY from porewater to bottom seawater in the Pigafetta Basin (northwestern Pacific) using the following equation:
The benthic REY flux (Fluxa) is calculated in Eq. (1), where DREY represents the elements-specific diffusion coefficients corrected for sediment tortuosity and temperature3, and ΔCbottom water/ΔCporewater (max) denotes the bottom water-to-maximum porewater REY concentration gradient12. The REY burial flux (Fluxb) is defined in Eq. (2), where REYauth is the authigenic REY content (global average = 630 ppm in deep-sea sediments83,84,85), R and S represent sedimentation rate (cm kyr−1) and pelagic sediment areal extent (~1.4 × 108 km2), respectively86.
Based on the diffusion-reaction model12, benthic REY fluxes (Fluxa) in the western Pacific were estimated at 23.7–58.4 pmol cm−2 yr−1, while the burial flux (Fluxb) of deep-sea sediments reaches ~740 pmol cm−2 yr−1. The REY burial flux in pelagic sediments exceeds the benthic flux by an order of magnitude, with a porewater-to-bottom-water regeneration efficiency of 3.2–7.9%. Unlike the dominant REY diffusion from shelf/slope sediments to overlying seawater3,62,87, we propose that high REY adsorption capacity in pelagic sediments efficiently scavenges water-column REY, resulting in minimal regeneration (<8%) from porewater in the Pigafetta Basin deep-sea sediments12.
Reporting summary
Further information on research design is available in the Nature Portfolio Reporting Summary linked to this article.
Data availability
Data supporting the findings of this manuscript are available in the Supplementary Materials and through the public repository https://doi.org/10.5281/zenodo.17684759.
References
Wang, P. et al. Regional rare earth element supply and demand balanced with circular economy strategies. Nat. Geosci. 17, 94–102 (2024).
Service, R. F. Nations move to head off shortages of rare earths. Science 327, 1596–1597 (2010).
Abbott, A. N., Haley, B. A., McManus, J. & Reimers, C. E. The sedimentary flux of dissolved rare earth elements to the ocean. Geochim. Cosmochim. Acta 154, 186–200 (2015).
German, C. R., Klinkhammer, G. P., Edmond, J. M., Mitra, A. & Elderfield, H. Hydrothermal scavenging of rare-earth elements in the ocean. Nature 345, 516–518 (1990).
Alibert, C. Rare earth elements in Hamersley BIF minerals. Geochim. Cosmochim. Acta 184, 311–328 (2016).
Kato, Y. et al. Deep-sea mud in the Pacific Ocean as a potential resource for rare-earth elements. Nat. Geosci. 4, 535–539 (2011).
Ren, J. B. et al. Mechanism and influencing factors of REY enrichment in deep-sea sediments. Minerals 11, 196 (2021).
Liao, J. L. et al. New insights into nanostructure and geochemistry of bioapatite in REE-rich deep-sea sediments: LA-ICP-MS, TEM, and Z-contrast imaging studies. Chem. Geol. 512, 58–68 (2019).
Oonk, P. B. H., Mason, P. R. D., Tsikos, H. & Bau, M. Fraction-specific rare earth elements enable the reconstruction of primary seawater signatures from iron formations. Geochim. Cosmochim. Acta 238, 102–122 (2018).
Kashiwabara, T. et al. Synchrotron X-ray spectroscopic perspective on the formation mechanism of REY-rich muds in the Pacific Ocean. Geochim. Cosmochim. Acta. 240, 274–292 (2018).
Shi, X. F. et al. Distribution and metallogenesis of deep-sea rare earth elements. Geol. Bull. China 40, 195–208 (2021).
Deng, Y. N. et al. Early diagenetic control on the enrichment and fractionation of rare earth elements in deep-sea sediments. Sci. Adv. 8, eabn5466 (2022).
Ren, J. B. et al. Ultraselective enrichment of trace elements in seawater by Co-rich ferromanganese nodules. Glob. Planet. Chang. 239, 104498 (2024).
Liu, Y., Jing, Y. T. & Zhao, W. C. Distribution of rare earth elements and implication for Ce anomalies in the clay-sized minerals of deep-sea sediment, Western Pacific Ocean. Appl. Clay Sci. 235, 106876 (2023).
Sholkovitz, E. R., Elderfield, H., Szymczak, R. & Casey, K. Island weathering: river sources of rare earth elements to the Western Pacific Ocean. Mar. Chem. 68, 39–57 (1999).
Du, J. H. et al. Abyssal seafloor as a key driver of ocean trace-metal biogeochemical cycles. Nature 642, https://doi.org/10.1038/s41586-025-09038-3 (2025).
Haley, B. A., Klinkhammer, G. P. & McManus, J. Rare earth elements in pore waters of marine sediments. Geochim. Cosmochim. Acta 68, 1265–1279 (2004).
Fan, W. X. et al. Carbonate fluorapatite coatings on phillipsite represent a significant sink of phosphorus in abyssal plains of the western Pacific Ocean. Proc. Natl. Acad. Sci. 122, e2407683122 (2025).
Qiu, Z. et al. Migration and exchange of rare earth elements between phosphate and iron manganese phase: a case study from fish tooth-bearing nodules. Ore Geol. Rev. 164, 105843 (2024).
Liao, J. L. et al. Quantifying the controlling mineral phases of rare-earth elements in deep-sea pelagic sediments. Chem. Geol. 595, 120792 (2022).
Zhao, M. Y., Zhang, S., Tarhan, L. G., Reinhard, C. T. & Planavsky, N. The role of calcium in regulating marine phosphorus burial and atmospheric oxygenation. Nat. Commun. 11, 2232 (2020).
Liang, Y., Sun, X., Li, D., Peacock, C. L. & Fu, Y. Effects of phosphate on REY adsorption by goethite: insights into REY enrichment and release in marine iron oxyhydroxides during early diagenesis. Chem. Geol. 649, 121966 (2024).
Wang, P. C. et al. Impact of iron biogeochemical cycling in deep-sea environments on rare earth element enrichment. Chem. Geol. 692, 122951 (2025).
Ren, J. B. et al. Enrichment and sources of REY in phosphate fractions: constraints from the leaching of REY-rich deep-sea sediments. Geochim. Cosmochim. Acta 335, 155–168 (2022).
Rasmussen, B., Buick, R. & Taylor, W. R. Removal of oceanic REE by authigenic precipitation of phosphatic minerals. Earth Planet. Sci. Lett. 164, 135–149 (1998).
Feng, M. H. et al. Bacterial dissolution of fluorapatite as a possible source of elevated dissolved phosphate in the environment. Geochim. Cosmochim. Acta 75, 5785–5796 (2011).
Tsuruta, T. Accumulation of rare earth elements in various microorganisms. J. Rare Earths 25, 526–532 (2007).
D’Hondt, S., Pockalny, R., Fulfer, V. M. & Spivack, A. J. Subseafloor life and its biogeochemical impacts. Nat. Commun. 10, 3519–3532 (2019).
Wang, F. P., Zhou, Y. H., Zhang, X. X. & Xiao, X. Biodiversity of deep-sea microorganisms. Biodivers. Sci. 21, 445–455 (2013).
Vuillemin, A. et al. Authigenic minerals reflect microbial control on pore waters in a ferruginous analogue. Geochem. Perspect. Lett. 28, 20–26 (2023).
Hess, A. V. et al. A well-oxygenated eastern tropical Pacific during the warm Miocene. Nature 619, 521–525 (2023).
Auderset, A. et al. Enhanced ocean oxygenation during Cenozoic warm periods. Nature 609, 77–82 (2022).
Tripati, A. K., Roberts, C. D. & Eagle, R. A. Coupling of CO2 and ice sheet stability over major climate transitions of the last 20 million years. Science 326, 1394–1397 (2009).
D’Hondt, S. et al. Presence of oxygen and aerobic communities from sea floor to basement in deep-sea sediments. Nat. Geosci. 8, 299–304 (2015).
Peng, J. Z. et al. Episodic intensification of marine phosphorus burial over the last 80 million years. Nat. Commun. 15, 7446 (2024).
Goldhammer, T., Bruchert, V., Ferdelman, T. G. & Zabel, M. Microbial sequestration of phosphorus in anoxic upwelling sediments. Nat. Geosci. 3, 557–561 (2010).
Wang, H. F. et al. Dominant eccentricity cycles in paleoenvironmental variabilities recorded by pelagic sediments in the Western Pacific during 15-11 Ma. Palaeogeogr. Palaeocl. 628, 111776 (2023).
Li, J. H. et al. Diverse intracellular inclusion types within magnetotactic bacteria: implications for biogeochemical cycling in aquatic environments. J. Geophys. Res. Biogeosciences 126, e2021JG006310 (2021).
Chang, L., Heslop, D., Roberts, A. P., Rey, D. & Mohamed, K. J. Discrimination of biogenic and detrital magnetite through a double Verwey transition temperature. J. Geophys. Res. -sol. Ea. 121, 3–14 (2016).
Wu, W. F. et al. Iron reduction and magnetite biomineralization mediated by a deep-sea iron-reducing bacterium Shewanella piezotolerans WP3. J. Geophys. Res. Biogeoscience 116, G04034 (2011).
Uebe, R. & Schueler, D. Magnetosome biogenesis in magnetotactic bacteria. Nat. Rev. Microbiol. 14, 621–637 (2016).
Li, Y. L., Konhauser, K. O. & Zhai, M. G. The formation of magnetite in the early Archean oceans. Earth Planet. Sci. Lett. 466, 103–114 (2017).
Till, J. L., Guyodo, Y., Lagroix, F., Ona-Nguema, G. & Brest, J. Magnetic comparison of abiogenic and biogenic alteration products of lepidocrocite. Earth Planet. Sci. Lett. 395, 149–158 (2014).
Li, Y. L. et al. Degeneration of biogenic superparamagnetic magnetite. Geobiology 7, 25–34 (2009).
Moskowitz, B. M., Frankel, R. B., Bazylinski, D. A., Jannasch, H. W. & Lovley, D. R. A comparison of magnetite particles produced anaerobically by magnetotactic and dissimilatory iron-reducing bacteria. Geophys. Res. Lett. 16, 665–668 (1989).
Amor, M. et al. Mass-dependent and -independent signature of Fe isotopes in magnetotactic bacteria. Science 352, 705–708 (2016).
Johnson, C. M., Beard, B. L. & Roden, E. E. The iron isotope fingerprints of redox and biogeochemical cycling in the modern and ancient Earth. Annu. Rev. Earth Planet. Sci. 36, 457–493 (2008).
Jimenez-Lopez, C., Romanek, C. S. & Bazylinski, D. A. Magnetite as a prokaryotic biomarker: a review. J. Geophys. Res. Biogeosciences 115, G00G03 (2010).
Deng, Y. N. et al. Early diagenetic control on the enrichment and mobilization of rare earth elements and transition metals in buried ferromanganese crust. Mar. Geol. 469, 107238 (2024).
Poitrasson, F. On the iron isotope homogeneity level of the continental crust. Chem. Geol. 235, 195–200 (2006).
Zhang, G. L. et al. Cerium isotopic compositions of deep-sea sediments: implications for geochemical behavior of rare earth elements in the pelagic seafloor. Geochim. Cosmochim. Acta, https://doi.org/10.1016/j.gca.2025.11.015 (2025).
McLennan, S. M. Relationships between the trace element composition of sedimentary rocks and upper continental crust. Geochem. Geophy. Geosy. 2, 2000GC000109 (2001).
Kim, J. H. et al. The effect of diagenesis and fluid migration on rare earth element distribution in pore fluids of the northern Cascadia accretionary margin. Chem. Geol. 291, 152–165 (2012).
Zhang, J. & Nozaki, Y. Rare earth elements and yttrium in seawater: ICP-MS determinations in the East Caroline, Coral Sea, and South Fiji basins of the western South Pacific Ocean. Geochim. Cosmochim. Acta. 60, 4631–4644 (1996).
Byrne, J. M. et al. Redox cycling of Fe(II) and Fe(III) in magnetite by Fe-metabolizing bacteria. Science 347, 1473–1476 (2015).
Roberts, A. P., Heslop, D., Zhao, X. & Pike, C. R. Understanding fine magnetic particle systems through use of first-order reversal curve diagrams. Rev. Geophys. 52, 557–602 (2014).
Roberts, A. P., Pike, C. R. & Verosub, K. L. First-order reversal curve diagrams: a new tool for characterizing the magnetic properties of natural samples. J. Geophys. Res. Solid Earth 105, 28461–28475 (2000).
Liu, Q. S. et al. Environmental magnetism: principles and applications. Rev. Geophys. 50, 1–50 (2012).
Liu, Q. S. et al. Quantifying grain size distribution of pedogenic magnetic particles in Chinese loess and its significance for pedogenesis. J. Geophys. Res. -sol. Ea 110, B11102 (2005).
Cornell, R. M. & Schwertmann, U. The Iron Oxides: Structure, Properties, Reactions, Occurrences, and Uses (John Wiley & Sons, 2003).
Dzombak, D. A. & Morel, F. M. M. Surface Complexation Modeling: Hydrous Ferric Oxide (Wiley, 1990).
Abbott, A. N., Löhr, S. & Trethewy, M. Are clay minerals the primary control on the oceanic rare earth element budget? Front. Mar. Sci. 6, 504 (2019).
Zhao, M. et al. Drivers of the global phosphorus cycle over geological time. Nat. Rev. Earth Env. 5, 873–889 (2024).
Kashiwabara, T. et al. Determination of host phase of lanthanum in deep-sea REY-rich mud by XAFS and μ-XRF using high-energy synchrotron radiation. Chem. Lett. 43, 199–200 (2014).
Chen, Y. et al. In-situ geochemistry of fish teeth in REE-rich mud: Indicating missing REE-bearing mineral phases for mass balance. Ore Geol. Rev. 184, 106746 (2025).
Li, D. F. et al. Dating rare earth element enrichment in deep-sea sediments using U-Pb geochronology of bioapatite. Geology 51, 428–433 (2023).
Christ, N., Immenhauser, A., Wood, R. A., Darwich, K. & Niedermayr, A. Petrography and environmental controls on the formation of Phanerozoic marine carbonate hardgrounds. Earth Sci. Rev. 151, 176–226 (2015).
Hein, J. R., Yeh, H. W. & Alexander, E. Origin of iron-rich montmorillonite from the manganese nodule belt of the North Equatorial Pacific. Clays Clay Min. 27, 185–194 (1979).
Sheng, A. X. et al. Labile Fe(III) from sorbed Fe(II) oxidation is the key intermediate in Fe(II)-catalyzed ferrihydrite transformation. Geochim. Cosmochim. Acta 272, 105–120 (2020).
Johnson, C. M., Roden, E. E., Welch, S. A. & Beard, B. L. Experimental constraints on Fe isotope fractionation during magnetite and Fe carbonate formation coupled to dissimilatory hydrous ferric oxide reduction. Geochim. Cosmochim. Acta 69, 963–993 (2005).
Egli, R. Characterization of individual rock magnetic components by analysis of remanence curves. 3. Bacterial magnetite and natural processes in lakes. Phys. Chem. Earth. 29, 869–884 (2004).
Crosby, H. A., Johnson, C. M., Roden, E. E. & Beard, B. L. Coupled Fe(II)-Fe(III) electron and atom exchange as a mechanism for Fe isotope fractionation during dissimilatory iron oxide reduction. Environ. Sci. Technol. 39, 6698–6704 (2005).
Vuillemin, A. et al. Atribacteria reproducing over millions of years in the Atlantic abyssal subseafloor. Mbio 11, 198200 (2020).
Van Cappellen, P. et al. Biogeochemical cycles of manganese and iron at the oxic-anoxic transition of a stratified marine basin (Orca Basin, Gulf of Mexico). Environ. Sci. Technol. 32, 2931–2939 (1998).
Kallmeyer, J., Pockalny, R., Adhikari, R. R., Smith, D. C. & D’Hondt, S. Global distribution of microbial abundance and biomass in subseafloor sediment. Proc. Natl. Acad. Sci. 109, 16213–16216 (2012).
Ohta, J. et al. Fish proliferation and rare-earth deposition by topographically induced upwelling at the late Eocene cooling event. Sci. Rep. 10, 9896 (2020).
Zhu, Y. T. et al. High-precision Cu-Fe-Zn isotopic analysis in deep-sea sediments: method validation and reference materials development. Spectrosc. 46, 74–83 (2025).
Egli, R. VARIFORC: an optimized protocol for calculating non-regular first-order reversal curve (FORC) diagrams. Glob. Planet. Chang. 110, 302–320 (2013).
Maxbauer, D. P., Feinberg, J. M. & Fox, D. L. MAX UnMix: a web application for unmixing magnetic coercivity distributions. Comput. Geosci. 95, 140–145 (2016).
Özdemir, Ö. & Dunlop, D. J. Hallmarks of maghemitization in low-temperature remanence cycling of partially oxidized magnetite nanoparticles. J. Geophys. Res. 115, 1–10 (2010).
Kosterov, A. Low-temperature magnetization and AC susceptibility of magnetite: effect of thermomagnetic history. Geophys. J. Int. 154, 58–71 (2003).
Dutkiewicz, A., Mueller, R. D., O’Callaghan, S. & Jonasson, H. Census of seafloor sediments in the world’s ocean. Geology 43, 795–798 (2015).
Tanaka, E. et al. Rare-earth elements in deep-sea sediments in the South Pacific Gyre: source materials and resource potentials. Geochem. Geophy. Geosy. 24, e2022GC010681 (2023).
Bi, D. J. et al. Geochemical and mineralogical characteristics of deep-sea sediments from the western North Pacific Ocean: constraints on the enrichment processes of rare earth elements. Ore Geol. Rev. 138, 104318 (2021).
Tanaka, E. et al. Chemostratigraphy of deep-sea sediments in the western North Pacific Ocean: implications for genesis of mud highly enriched in rare-earth elements and yttrium. Ore Geol. Rev. 119, 103392 (2020).
Little, S. H., de Souza, G. F. & Xie, R. C. Metal Stable Isotopes in the Marine Realm 3rd edn, Vol. 4, 285–332 (Elsevier, 2024).
Haley, B. A., Du, J. H., Abbott, A. N. & McManus, J. The impact of benthic processes on rare earth element and neodymium isotope distributions in the oceans. Front. Mar. Sci. 4, 426 (2017).
Acknowledgements
We appreciate the support from the Hubei Key Laboratory of Critical Zone Evolution, China University of Geosciences, in the magnetic characterization. This research was financially supported by the National Natural Science Foundation of China (U2544220, 42476237 and 42272046), the Strategic Priority Research Program of the Chinese Academy of Sciences (XDA0430202), the China Postdoctoral Science Foundation (2024M750630), the Guangdong Major Project of Basic and Applied Basic Research (2023B0303000015), and the Director General’s Scientific Research Fund of Guangzhou Marine Geological Survey (2024GMGS-ZD-01). No permissions were required for sampling.
Author information
Authors and Affiliations
Contributions
Pengcong Wang: Formal analysis, Investigation, Funding acquisition, Methodology, Writing—original draft. Deng Liu: Conceptualization, Funding acquisition, Writing—review and editing. Peyman Babakhani: Writing—review and editing. Mingyu Zhao: Conceptualization, Methodology, Writing—review and editing. Yangtao Zhu: Writing—review and editing. Jiayi Ma: Writing—review and editing. Ganglan Zhang: Methodology, Writing—review and editing. Chutong Liu: Methodology, Writing—review and editing. Jun Cao: Writing—review and editing. Fang Chen: Methodology, Writing—review and editing. Xiaoqiang Yang: Methodology, Writing—review and editing. Yinan Deng: Conceptualization, Funding acquisition, Writing—review and editing.
Corresponding author
Ethics declarations
Competing interests
The authors declare no competing interests.
Peer review
Peer review information
Communications Earth and Environment thanks Sergio Caetano-Filho and the other, anonymous, reviewer(s) for their contribution to the peer review of this work. Primary Handling Editors: Kai Deng and Alireza Bahadori. A peer review file is available.
Additional information
Publisher’s note Springer Nature remains neutral with regard to jurisdictional claims in published maps and institutional affiliations.
Rights and permissions
Open Access This article is licensed under a Creative Commons Attribution-NonCommercial-NoDerivatives 4.0 International License, which permits any non-commercial use, sharing, distribution and reproduction in any medium or format, as long as you give appropriate credit to the original author(s) and the source, provide a link to the Creative Commons licence, and indicate if you modified the licensed material. You do not have permission under this licence to share adapted material derived from this article or parts of it. The images or other third party material in this article are included in the article’s Creative Commons licence, unless indicated otherwise in a credit line to the material. If material is not included in the article’s Creative Commons licence and your intended use is not permitted by statutory regulation or exceeds the permitted use, you will need to obtain permission directly from the copyright holder. To view a copy of this licence, visit http://creativecommons.org/licenses/by-nc-nd/4.0/.
About this article
Cite this article
Wang, P., Liu, D., Babakhani, P. et al. Microbial iron cycling illuminates the biological contribution and potential climate drivers of deep-sea rare earth element enrichment. Commun Earth Environ 7, 79 (2026). https://doi.org/10.1038/s43247-025-03100-8
Received:
Accepted:
Published:
Version of record:
DOI: https://doi.org/10.1038/s43247-025-03100-8








