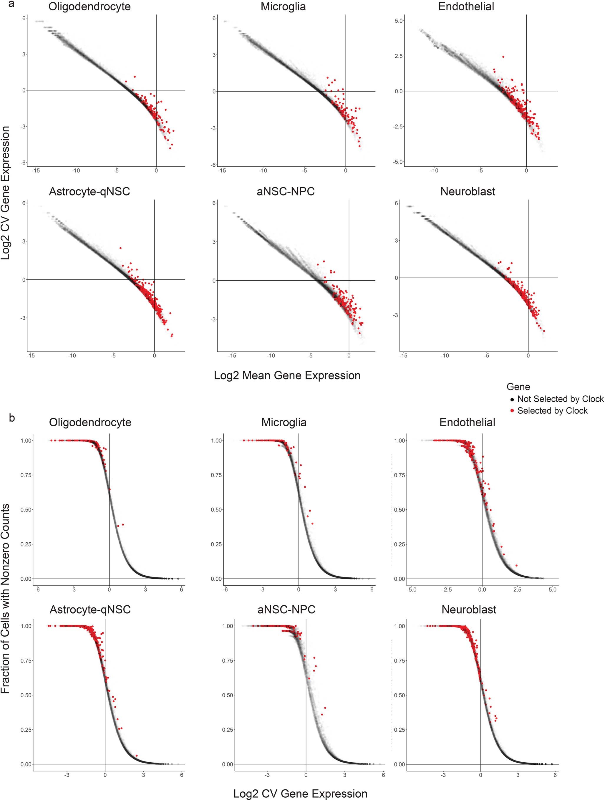
Extended Data Fig. 3: Variability and mean expression of genes in the chronological aging clocks.

a, Scatter plots of the log2 coefficient of variation (CV) of the normalized BootstrapCell gene expression as a function of the log2 mean normalized BootstrapCell gene expression for all identified genes in the six different cell types. Red dots correspond to genes that contribute to the chronological aging clocks for each cell type (selected by clock) and black dots correspond to genes that do not contribute to the chronological aging clocks (not selected by clock). b, As in (a) but for the fraction of cells with nonzero counts in the dataset as a function of the log2 coefficient of variation (CV) of the normalized gene expression.