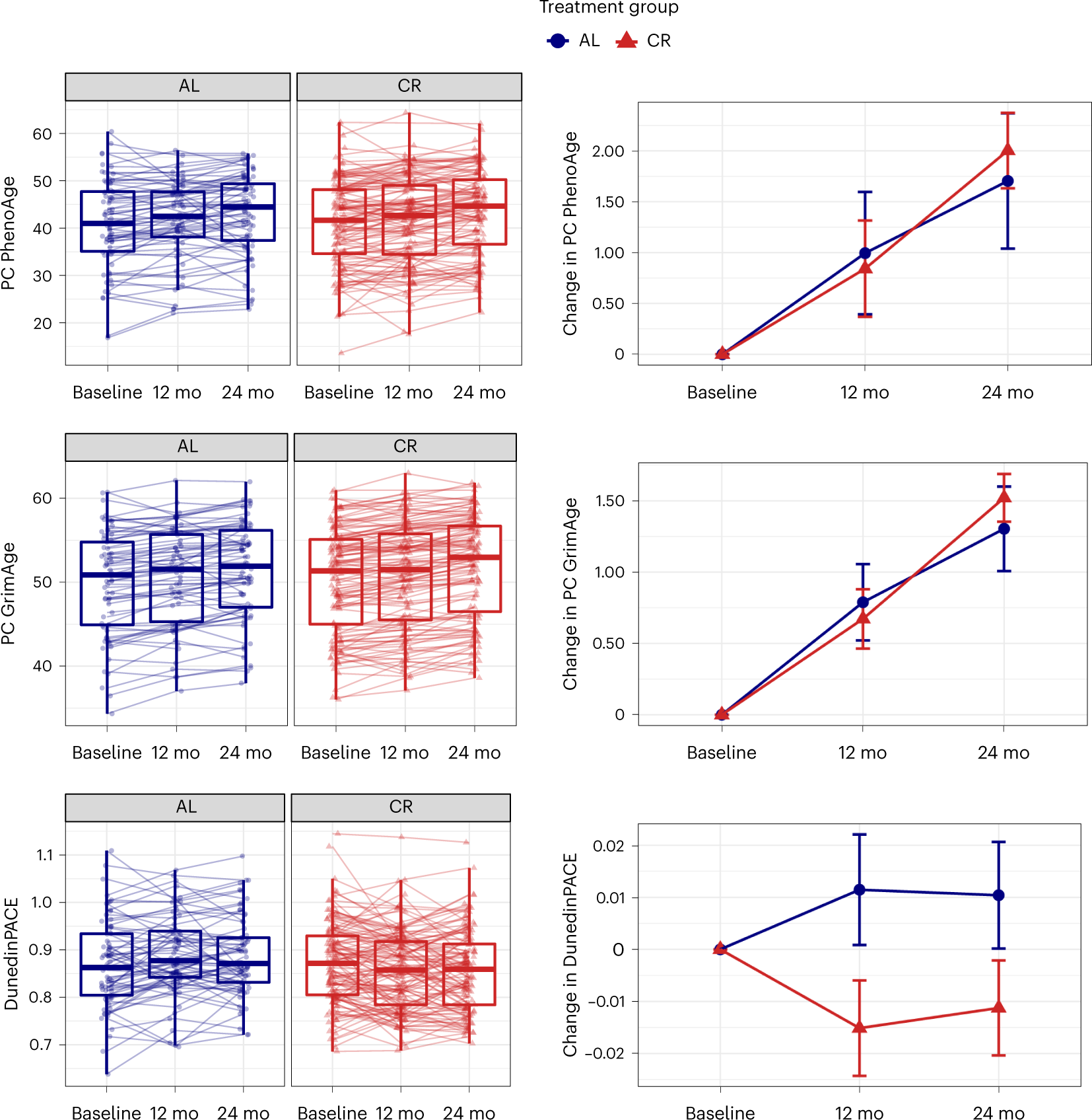
Fig. 2: Change from baseline to 12- and 24-month follow-up in DNAm measures of aging in the AL and CR groups in the CALERIE Trial.

The figure shows CALERIE Trial treatment effects on three DNAm measures of aging, the PC PhenoAge clock, the PC GrimAge clock and DunedinPACE. Values for the AL control group (n = 69 participants) are graphed in blue. Values for the CR treatment group (n = 128 participants) are graphed in red. For the PhenoAge and GrimAge DNAm clocks, values are denominated in ‘years’ of DNAm age. For the clocks, expected change under the null hypothesis is 1 yr at 12-month follow-up and 2 yr at 24-month follow-up. For the DunedinPACE measure, values are denominated in pace-of-aging units scaled to be interpretable as percentage difference in the rate of aging relative to the reference norm of 1 yr of biological decline per calendar year. For DunedinPACE, expected change under the null hypothesis is zero. The left column of the figure shows box plots of the observed values of the measures at baseline and 12- and 24-month follow-ups. The boxes show the interquartile range; the whiskers show 1.5× the interquartile range; the center line shows the median; individual participant data are plotted as dots and connected with lines. For the PC PhenoAge and PC GrimAge DNAm clocks, the box plots show similar patterns of increase in both AL and CR groups. For DunedinPACE, the box plot shows stability in the AL group and decrease in the CR group. The right column of the figure shows mean values of change from baseline and 95% CIs estimated from mixed models at the 12- and 24-month follow-ups for the AL and CR groups. There is no confidence interval estimated for baseline because change from baseline is exactly zero at this timepoint. For the PC PhenoAge and PC GrimAge DNAm clocks, mean change is similar in the AL and CR groups. For DunedinPACE, mean change is positive in the AL group (although the confidence interval overlaps zero at 24 months) and negative in the CR group. mo, months.