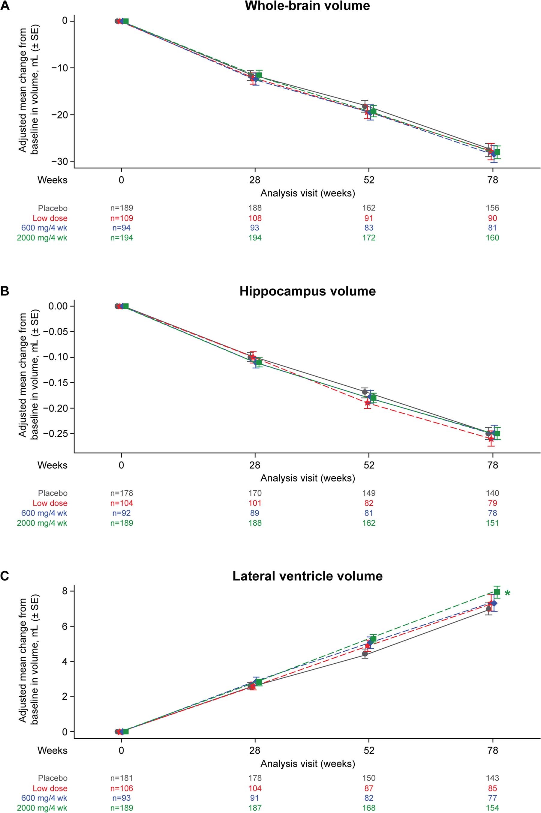
Extended Data Fig. 4: Brain volume changes as measured by structural MRI from baseline to week 78.

Adjusted mean change from baseline (±SE) in (a) whole brain volume, (b) hippocampus volume, and (c) lateral ventricle volume. Sample sizes for each group at each time point are listed for each panel. In panel C, the asterisk denotes a statistically significant difference in lateral ventricle volume between the high-dose and placebo groups at week 78 (P = 0.0481). Analyses were two-sided at 5% significance level. No adjustments were made for multiple comparisons.