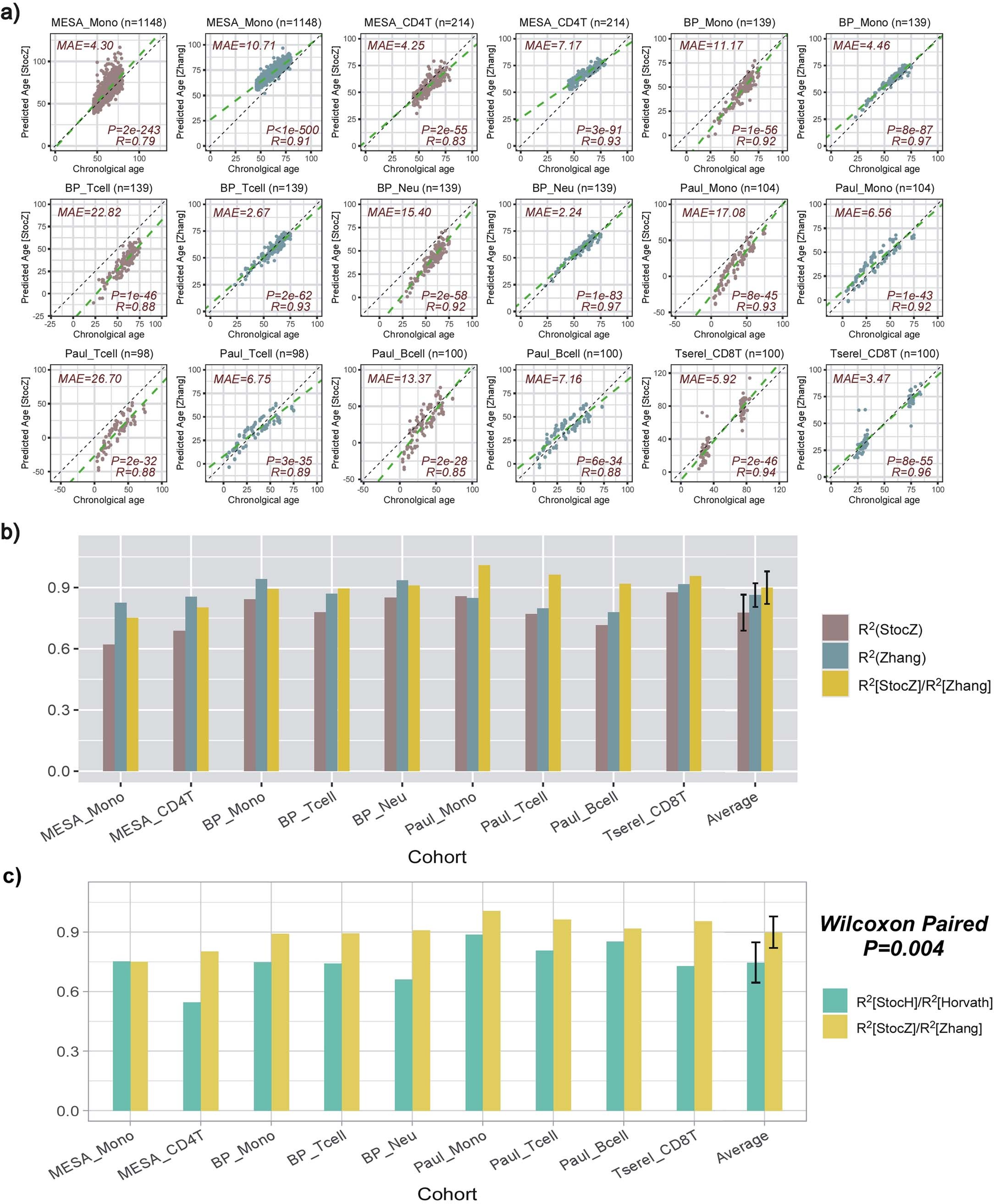
Extended Data Fig. 5: Quantification of the stochastic component of Zhang’s clock in sorted immune cell sets.
From: Quantifying the stochastic component of epigenetic aging

a) Scatterplots of predicted age vs true age for the StocZ-clock (brown) and Zhang’s clock (green) in sorted immune cell datasets. Number of sorted samples in dataset is indicated at the top of the panel alongside the name of the cohort/study. In addition, we provide the median absolute error (MAE), R-value and corresponding nominal correlation-test two-tailed P-value. b) Barplot comparing R2 values of the StocZ-clock and Zhang’s clock in each of the datasets. We also depict the ratio of the R2 value from StocZ to the R2 value from Zhang’s clock. Sample sizes are: MESA_Mono (n = 1148), MESA_CD4T (n = 214), BP_Mono (n = 139), BP_Tcell (n = 139), BP_Neu (n = 139), Paul_Mono (n = 104), Paul_Tcell (n = 98), Paul_Bcell (n = 100), Tserel_CD8T (n = 100).The last set of bars displays the average and standard deviation over all sorted immune cell datasets. c) Comparison of the ratio of R2 values between Horvath and Zhang CpGs. P-value is from a one-tailed paired Wilcoxon rank sum test comparing the ratio of R2 values. Sample sizes as in b). The last set of bars displays the average and standard deviation over all sorted immune cell datasets.