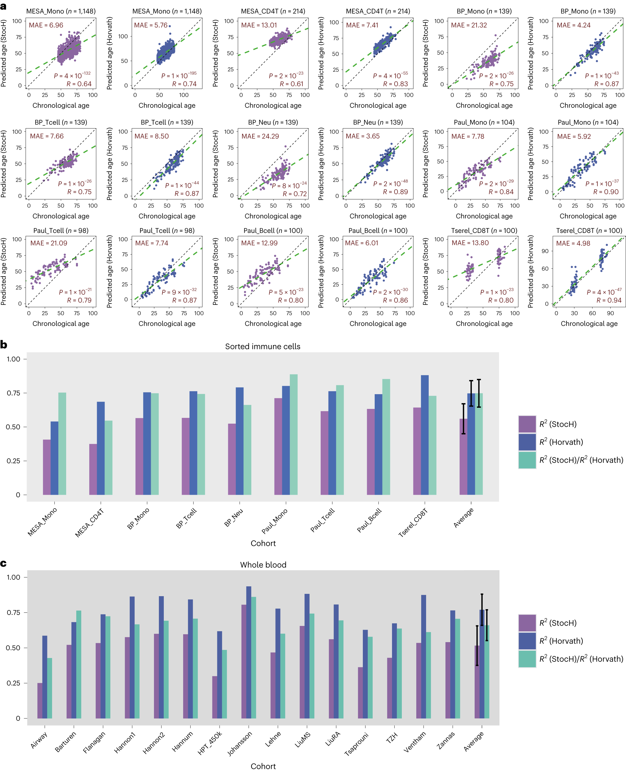
Fig. 3: Quantification of stochastic component of Horvath’s clock.
From: Quantifying the stochastic component of epigenetic aging

a, Scatter plots of predicted age versus chronological (true) age for the StocH clock (purple) and Horvath’s clock (slate blue) in various sorted immune cell datasets as indicated. The number of sorted samples in dataset is indicated at the top alongside the name of the cohort/study. In addition, we provide the MAE, R-value and corresponding nominal correlation-test two-tailed P value in each plot. b, A bar plot comparing R2 values of the StocH clock and Horvath’s clock in each of the datasets. In addition, we also depict the ratio of the R2 value from StocH to the R2 value from Horvath’s clock. The sample sizes of sorted immune cell datasets are as follows: MESA_Mono (n = 1,148), MESA_CD4T (n = 214), BP_Mono (n = 139), BP_Tcell (n = 139), BP_Neu (n = 139), Paul_Mono (n = 104), Paul_Tcell (n = 98), Paul_Bcell (n = 100) and Tserel_CD8T (n = 100). The last set of bars displays the average and standard deviation over all sorted immune cell datasets. c, As in b, but for StocH and Horvath’s clock on 15 whole-blood cohorts. The sample sizes of whole-blood datasets are as follows: Airway (n = 1,032), Barturen (n = 574), Flanagan (n = 184), Hannon1 (n = 636), Hannon2 (n = 665), Hannum (n = 656), HPT_450k (n = 418), Johansson (n = 729), Lehne (n = 2,707), LiuMS (n = 279), LiuRA (n = 689), Tsaprouni (n = 464), TZH (n = 705), Ventham (n = 380) and Zannas (n = 422).