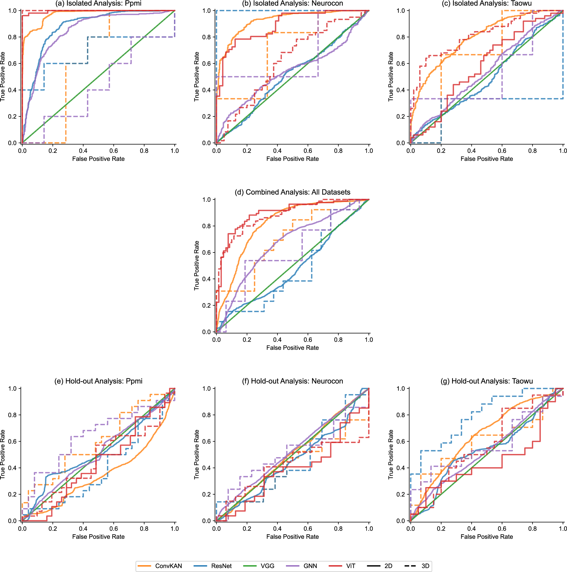
Fig. 5: ROC curves demonstrating model discrimination capabilities.

a–c Isolated analysis ROC curves for PPMI, NEUROCON, and Tao Wu datasets, respectively. d Combined analysis ROC curve for merged datasets. e–g Hold-out analysis ROC curves for PPMI, NEUROCON, and Tao Wu test datasets, respectively. Solid lines represent 2D models, dashed lines represent 3D models. Colors: orange (ConvKAN), blue (ResNet), green (VGG), purple (GCN), red (ViT); n = 59 biologically independent subjects (PPMI), n = 43 (NEUROCON), n = 40 (Tao Wu) for analyses.