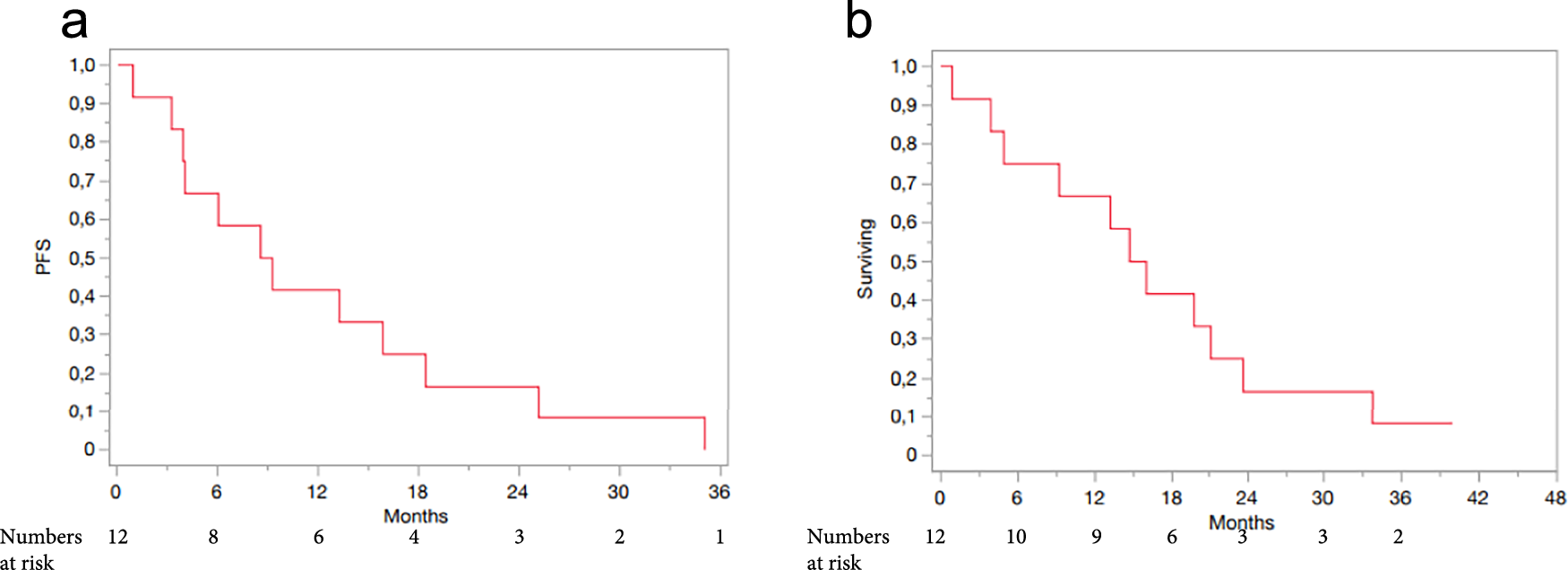
Fig. 2: Survival data. | Communications Medicine