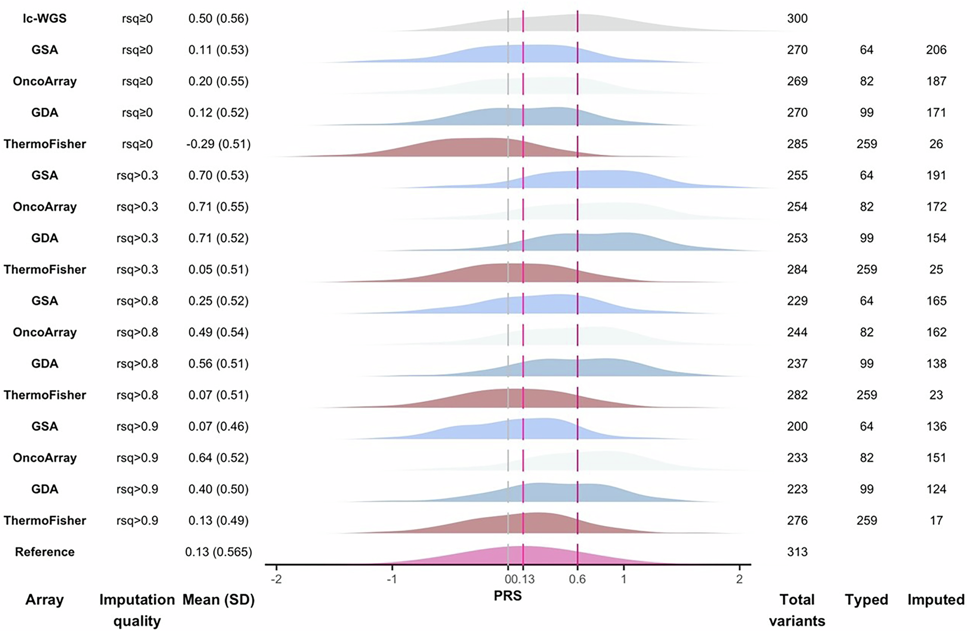
Fig. 3: Distribution of breast cancer polygenic risk scores (PRS313, build GRCh38), allowing the number of variants used to differ with array/ lc-WGS, using the maximum number of variants with R-squared (Rsq) greater than threshold.
From: Genomic platform specific polygenic risk scores impact breast cancer risk stratification

The reference mean value of 0.130 (based on the PRS313 distribution in non-breast cancer controls of a previously published dataset) and the 80th percentile with the corresponding score of ~0.6 are indicated.