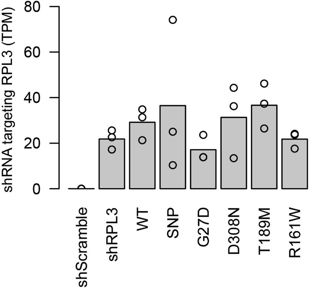
Extended Data Fig. 5: Expression of the RPL3-targeting shRNA in RPL3L variant-expressing cell lines.
From: Pathogenetic mechanisms of muscle-specific ribosomes in dilated cardiomyopathy

TPM, tags per million (N = 3 biological replicates).
From: Pathogenetic mechanisms of muscle-specific ribosomes in dilated cardiomyopathy

TPM, tags per million (N = 3 biological replicates).