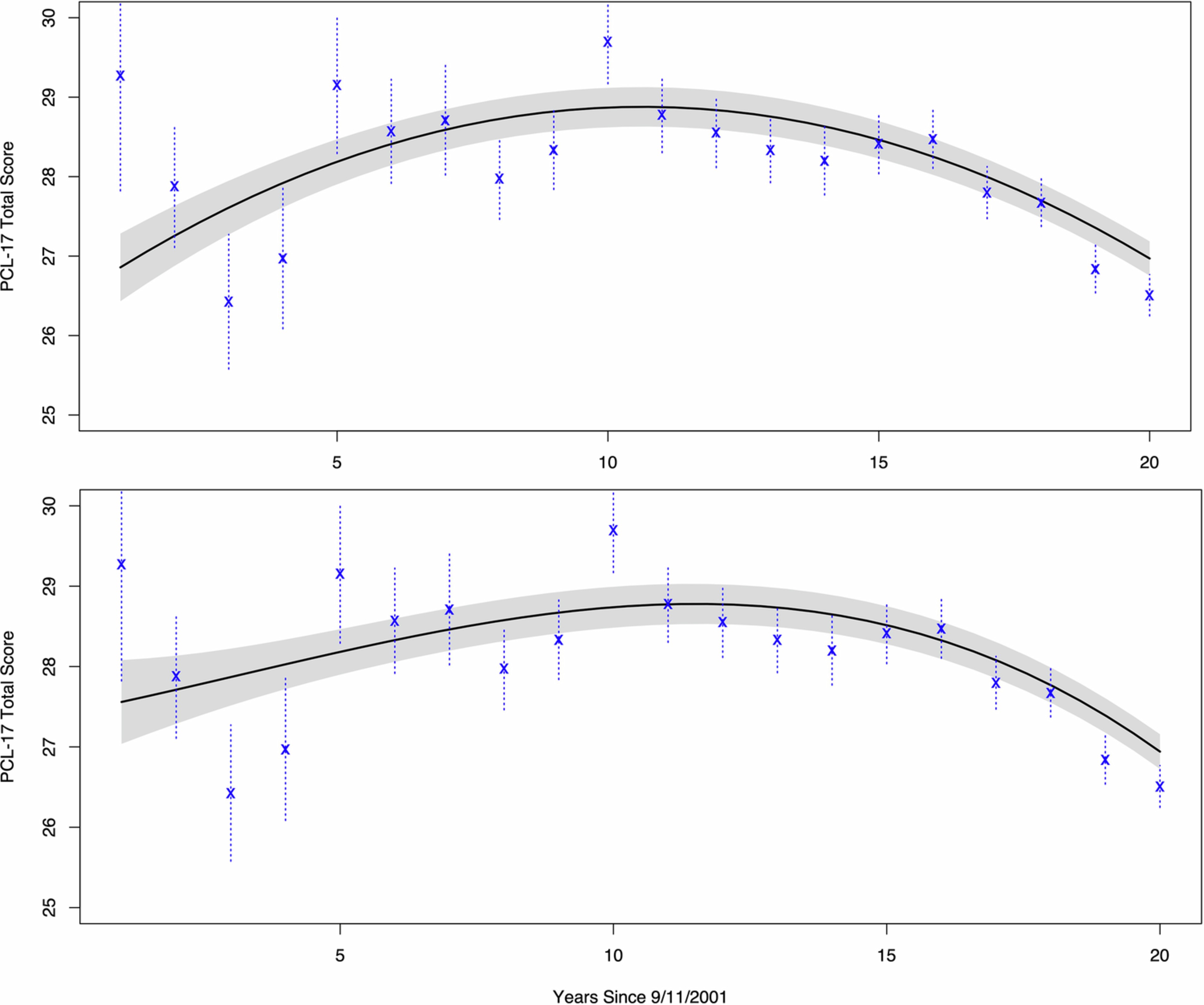
Extended Data Fig. 2: Average predicted trajectories of PTSD symptoms from quadratic and cubic mixed effects models.

The top and bottom panels plot average quadratic and cubic trends, respectively. Blue “X”s indicates annual means and dashed vertical lines denote plus and minus 2 times the standard error of the mean. Sample sizes and descriptive statistics are reported in Table 1.