Abstract
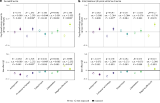
The effects of trauma on enduring transdiagnostic psychopathological traits are unclear. Here we examined associations between exposure to sexual and/or physical violence and 5 empirically derived psychopathological traits in 842 community-dwelling adults with varied mental health histories (37.89% male; age 18–45, mean 29.73, s.d. 7.77). We further tested for dose–response, developmental timing and sex-specific effects. Trauma was exclusively associated with negative affectivity and antisocial schizotypy. One sexual trauma exposure elevated both constructs and attenuated sex differences in their expression, with no additional effects of cumulative exposure or developmental timing. One physical violence exposure elevated both constructs when experienced before mid-adolescence and adulthood, with dose–response effects for antisocial schizotypy, especially in males. Physical violence more strongly affected negative affectivity in females with earlier first exposure. These findings indicate that trauma influences select transdiagnostic traits in a way that depends on trauma type and dose, and survivor sex and age, emphasizing the importance of personalized care.
This is a preview of subscription content, access via your institution
Access options
Subscribe to this journal
Receive 12 digital issues and online access to articles
$79.00 per year
only $6.58 per issue
Buy this article
- Purchase on SpringerLink
- Instant access to the full article PDF.
USD 39.95
Prices may be subject to local taxes which are calculated during checkout




Similar content being viewed by others
Data availability
The data used in the present paper were collected as part of an ongoing project that is not yet publicly available. The project data will be released upon completion; inquiries may be directed to senior author Alex Fornito (alex.fornito@monash.edu).
Code availability
The code to run the structural equation models can be found in the additional lavaan code file provided (Supplementary Code 1). The full code used for all analyses can otherwise be found at https://github.com/cicadawing/Effects-Trauma-Transidagnostic.
References
Herman, J. L. Trauma and Recovery: The Aftermath of Violence–From Domestic Abuse to Political Terror (Hachette, 2015).
Center for Substance Abuse Treatment (US) Trauma-Informed Care in Behavioral Health Services (Substance Abuse and Mental Health Services Administration (US), 2014).
Bonanno, G. A., Westphal, M. & Mancini, A. D. Resilience to loss and potential trauma. Annu. Rev. Clin. Psychol. 7, 511–535 (2011).
Carr, C. P., Martins, C. M. S., Stingel, A. M., Lemgruber, V. B. & Juruena, M. F. The role of early life stress in adult psychiatric disorders: a systematic review according to childhood trauma subtypes. J. Nerv. Ment. Dis. 201, 1007–1020 (2013).
Dunn, E. C., Nishimi, K., Powers, A. & Bradley, B. Is developmental timing of trauma exposure associated with depressive and post-traumatic stress disorder symptoms in adulthood? J. Psychiatr. Res. 84, 119–127 (2017).
Daníelsdóttir, H. B. et al. Adverse childhood experiences and adult mental health outcomes. JAMA Psychiatry 81, 586–594 (2024).
Benjet, C. et al. The epidemiology of traumatic event exposure worldwide: results from the World Mental Health Survey Consortium. Psychol. Med. 46, 327–343 (2016).
Gerber, M. M. et al. Influence of multiple traumatic event types on mental health outcomes: does count matter? J. Psychopathol. Behav. Assess. 40, 645–654 (2018).
Suliman, S. et al. Cumulative effect of multiple trauma on symptoms of posttraumatic stress disorder, anxiety, and depression in adolescents. Compr. Psychiatry 50, 121–127 (2009).
Ellis, B. J. & Del Giudice, M. Developmental adaptation to stress: an evolutionary perspective. Annu. Rev. Psychol. 70, 111–139 (2019).
Stevens, J. S., van Rooij, S. J. H. & Jovanovic, T. Developmental contributors to trauma response: the importance of sensitive periods, early environment, and sex differences. Curr. Top. Behav. Neurosci. 38, 1–22 (2018).
Blakemore, S. J. & Mills, K. L. Is adolescence a sensitive period for sociocultural processing? Annu. Rev. Psychol. 65, 187–207 (2014).
Lamblin, M., Murawski, C., Whittle, S. & Fornito, A. Social connectedness, mental health and the adolescent brain. Neurosci. Biobehav. Rev. 80, 57–68 (2017).
Dunn, E. C., McLaughlin, K. A., Slopen, N., Rosand, J. & Smoller, J. W. Developmental timing of child maltreatment and symptoms of depression and suicidal ideation in young adulthood: results from the national longitudinal study of adolescent health. Depress. Anxiety 30, 955–964 (2013).
Maercker, A., Michael, T., Fehm, L., Becker, E. S. & Margraf, J. Age of traumatisation as a predictor of post-traumatic stress disorder or major depression in young women. Br. J. Psychiatry 184, 482–487 (2004).
McCutcheon, V. V. et al. Accumulation of trauma over time and risk for depression in a twin sample. Psychol. Med. 39, 431–441 (2009).
Schoedl, A. F. et al. The clinical correlates of reported childhood sexual abuse: an association between age at trauma onset and severity of depression and PTSD in adults. J. Child Sex. Abuse 19, 156–170 (2010).
Brancu, M. et al. Subthreshold posttraumatic stress disorder: a meta-analytic review of DSM-IV prevalence and a proposed DSM-5 approach to measurement. Psychol. Trauma Theory Res. Pract. Policy 8, 222–232 (2016).
Carlyle, M. et al. Cannabis-induced dysphoria/paranoia mediates the link between childhood trauma and psychotic-like experiences in young cannabis users. Schizophr. Res. 238, 178–184 (2021).
Loewy, R. L. et al. Childhood trauma and clinical high risk for psychosis. Schizophr. Res. 205, 10–14 (2019).
Keyes, K. M. et al. Childhood maltreatment and the structure of common psychiatric disorders. Br. J. Psychiatry 200, 107–115 (2012).
Kotov, R. et al. The Hierarchical Taxonomy of Psychopathology (HiTOP): a dimensional alternative to traditional nosologies. J. Abnorm. Psychol. 126, 454–477 (2017).
Eaton, N. R. et al. An invariant dimensional liability model of gender differences in mental disorder prevalence: evidence from a national sample. J. Abnorm. Psychol. 121, 282–288 (2012).
Cusack, S. E., Maihofer, A. X., Bustamante, D., Amstadter, A. B. & Duncan, L. E. Genetic influences on testosterone and PTSD. J. Psychiatr. Res. 174, 8–11 (2024).
Glover, E. M., Jovanovic, T. & Norrholm, S. D. Estrogen and extinction of fear memories: implications for posttraumatic stress disorder treatment. Biol. Psychiatry 78, 178–185 (2015).
Seligowski, A. V., Hurly, J., Mellen, E., Ressler, K. J. & Ramikie, T. S. Translational studies of estradiol and progesterone in fear and PTSD. Eur. J. Psychotraumatology 11, 1723857 (2020).
Marceau, K., Ram, N., Houts, R. M., Grimm, K. J. & Susman, E. J. Individual differences in boys’ and girls’ timing and tempo of puberty: modeling development with nonlinear growth models. Dev. Psychol. 47, 1389–1409 (2011).
Diagnostic and Statistical Manual of Mental Disorders Fifth Edition, Text Revision (DSM-5-TR) (American Psychiatric Association, 2022).
Feczko, E. et al. The heterogeneity problem: approaches to identify psychiatric subtypes. Trends Cogn. Sci. 23, 584–601 (2019).
Galatzer-Levy, I. R. & Bryant, R. A. 636,120 ways to have posttraumatic stress disorder. Perspect. Psychol. Sci. 8, 651–662 (2013).
Segal, A. et al. Embracing variability in the search for biological mechanisms of psychiatric illness. Trends Cogn. Sci. 29, 85–99 (2025).
Krueger, R. F. & Markon, K. E. Reinterpreting comorbidity: a model-based approach to understanding and classifying psychopathology. Annu. Rev. Clin. Psychol. 2, 111–133 (2006).
Haslam, N., Holland, E. & Kuppens, P. Categories versus dimensions in personality and psychopathology: a quantitative review of taxometric research. Psychol. Med. 42, 903–920 (2012).
Markon, K. E., Chmielewski, M. & Miller, C. J. The reliability and validity of discrete and continuous measures of psychopathology: a quantitative review. Psychol. Bull. 137, 856–879 (2011).
Newson, J. J., Hunter, D. & Thiagarajan, T. C. The heterogeneity of mental health assessment. Front. Psychiatry 11, 76 (2020).
Kotov, R. et al. The Hierarchical Taxonomy of Psychopathology (HiTOP): a quantitative nosology based on consensus of evidence. Annu. Rev. Clin. Psychol. 17, 83–108 (2021).
Berenbaum, H., Raghavan, C., Le, H.-N., Vernon, L. L. & Gomez, J. J. A taxonomy of emotional disturbances. Clin. Psychol. Sci. Pract. 10, 206 (2003).
Levin-Aspenson, H. F. & Greene, A. L. Rethinking trauma-related psychopathology in the Hierarchical Taxonomy of Psychopathology (HiTOP). J. Trauma. Stress 37, 361–371 (2024).
Conradt, E., Crowell, S. E. & Cicchetti, D. Using development and psychopathology principles to inform the Research Domain Criteria (RDoC) framework. Dev. Psychopathol. 33, 1521–1525 (2021).
Nigg, J. T. Editorial: The shape of the nosology to come in developmental psychopathology. J. Child Psychol. Psychiatry 56, 397–399 (2015).
Hyland, P., Karatzias, T., Ford, J. D., Fox, R. & Spinazzola, J. The latent structure of child and adolescent psychopathology and its association with different forms of trauma and suicidality and self-harm. Res. Child Adolesc. Psychopathol. https://doi.org/10.1007/s10802-022-00925-1 (2022).
Fried, E. I. & Nesse, R. M. Depression is not a consistent syndrome: an investigation of unique symptom patterns in the STAR*D study. J. Affect. Disord. 172, 96–102 (2015).
Schleim, S. Why mental disorders are brain disorders. And why they are not: ADHD and the challenges of heterogeneity and reification. Front. Psychiatry 13, 943049 (2022).
Helmchen, H. & Linden, M. Subthreshold disorders in psychiatry: clinical reality, methodological artifact, and the double-threshold problem. Compr. Psychiatry 41, 1–7 (2000).
Kotov, R., Ruggero, C. J., Krueger, R. F., Watson, D. & Zimmerman, M. The perils of hierarchical exclusion rules: a further word of caution. Depress. Anxiety 35, 903–904 (2018).
Özel, B., Karakaya, E., Köksal, F., Altinoz, A. E. & Yilmaz-Karaman, I. G. Gender bias of antisocial and borderline personality disorders among psychiatrists. Arch. Womens Ment. Health https://doi.org/10.1007/s00737-024-01519-0 (2024).
Tiego, J. et al. Precision behavioral phenotyping as a strategy for uncovering the biological correlates of psychopathology. Nat. Ment. Health 1, 304–315 (2023).
DeYoung, C. G. et al. The distinction between symptoms and traits in the Hierarchical Taxonomy of Psychopathology (HiTOP). J. Pers. 90, 20–33 (2022).
Forbes, M. K. Improving hierarchical models of individual differences: an extension of Goldberg’s bass-ackward method. Psychol. Methods https://doi.org/10.1037/met0000546 (2023).
Goldberg, L. R. Doing it all bass-ackwards: the development of hierarchical factor structures from the top down. J. Res. Personal. 40, 347–358 (2006).
Cervin, M. et al. A psychometric evaluation of the expanded version of the Inventory of Depression and Anxiety Symptoms (IDAS-II) in children and adolescents. Assessment 31, 588–601 (2024).
Ringwald, W. R. et al. Structure of pathological personality traits through the lens of the CAT-PD model. Assessment 30, 2276–2295 (2023).
Wright, A. G. C. & Simms, L. J. On the structure of personality disorder traits: conjoint analyses of the CAT-PD, PID-5, and NEO-PI-3 trait models. Personal. Disord. 5, 43–54 (2014).
Kushner, S. C., Tackett, J. L. & De Clercq, B. The joint hierarchical structure of adolescent personality pathology: converging evidence from two approaches to measurement. J. Can. Acad. Child Adolesc. Psychiatry 22, 199–205 (2013).
Soto, C. J. & John, O. P. The next Big Five Inventory (BFI-2): developing and assessing a hierarchical model with 15 facets to enhance bandwidth, fidelity, and predictive power. J. Pers. Soc. Psychol. 113, 117–143 (2017).
Bedwell, J. S. et al. Latent factor modeling of four schizotypy dimensions with theory of mind and empathy. PLoS ONE 9, e113853 (2014).
Ragsdale, K. A., Mitchell, J. C., Cassisi, J. E. & Bedwell, J. S. Comorbidity of schizotypy and psychopathy: skin conductance to affective pictures. Psychiatry Res. 210, 1000–1007 (2013).
Ragsdale, K. A. & Bedwell, J. S. Relationships between dimensional factors of psychopathy and schizotypy. Front. Psychol. 4, 482 (2013).
Forbes, M. K. et al. Elemental psychopathology: distilling constituent symptoms and patterns of repetition in the diagnostic criteria of the DSM-5. Psychol. Med. 54, 886–894 (2024).
Dunn, E. C. et al. What life course theoretical models best explain the relationship between exposure to childhood adversity and psychopathology symptoms: recency, accumulation, or sensitive periods? Psychol. Med. 48, 2550–2561 (2018).
Fergusson, D. M., Lynskey, M. T. & Horwood, L. J. Childhood sexual abuse and psychiatric disorder in young adulthood: I. Prevalence of sexual abuse and factors associated with sexual abuse. J. Am. Acad. Child Adolesc. Psychiatry 35, 1355–1364 (1996).
Strange, D. & Takarangi, M. K. T. Memory distortion for traumatic events: the role of mental imagery. Front. Psychiatry 6, 27 (2015).
Brewin, C. R. in True and False Recovered Memories: Toward A Reconciliation of the Debate (ed. Belli, R.) 149–173 (Springer Science + Business Media, 2012); https://doi.org/10.1007/978-1-4614-1195-6_5
Casey, B. J. et al. The adolescent brain cognitive development (ABCD) study: imaging acquisition across 21 sites. Dev. Cogn. Neurosci. 32, 43–54 (2018).
Biedermann, S. V. et al. Childhood adversities are common among trans people and associated with adult depression and suicidality. J. Psychiatr. Res. 141, 318–324 (2021).
Sexual violence —victimisation. Australian Bureau of Statistics https://www.abs.gov.au/articles/sexual-violence-victimisation (2021).
Mathews, B. et al. The prevalence of child maltreatment in Australia: findings from a national survey. Med. J. Aust. 218, S13–S18 (2023).
Kotov, R. et al. The Hierarchical Taxonomy of Psychopathology (HiTOP) in psychiatric practice and research. Psychol. Med. 52, 1666–1678 (2022).
Ruggero, C. J. et al. Integrating the Hierarchical Taxonomy of Psychopathology (HiTOP) into clinical practice. J. Consult. Clin. Psychol. 87, 1069–1084 (2019).
GBD 2019 Mental Disorders Collaborators Global, regional, and national burden of 12 mental disorders in 204 countries and territories, 1990–2019: a systematic analysis for the Global Burden of Disease Study 2019. Lancet Psychiatry 9, 137–150 (2022).
Melo, A. P. S. et al. All-cause and cause-specific mortality among people with severe mental illness in Brazil’s public health system, 2000–15: a retrospective study. Lancet Psychiatry 9, 771–781 (2022).
Simms, L. J. et al. Computerized adaptive assessment of personality disorder: introducing the CAT-PD project. J. Pers. Assess. 93, 380–389 (2011).
Long, T. A., Reinhard, E., Sellbom, M. & Anderson, J. L. An examination of the reliability and validity of the Comprehensive Assessment of Traits Relevant to Personality Disorder–Static Form (CAT-PD-SF). Assessment 28, 1345–1357 (2021).
Hooper, L. M., Stockton, P., Krupnick, J. L. & Green, B. L. Development, use, and psychometric properties of the trauma history questionnaire. J. Loss Trauma 16, 258–283 (2011).
Bernstein, D. P. et al. Development and validation of a brief screening version of the Childhood Trauma Questionnaire. Child Abuse Negl. 27, 169–190 (2003).
Australian and New Zealand Standard Industrial Classification (ANZSIC), 2006 (Revision 2.0). Australian Bureau of Statistics https://www.abs.gov.au/statistics/classifications/australian-and-new-zealand-standard-industrial-classification-anzsic/latest-release (2013).
Australian Standard Classification of Education (ASCED), 2001. Australian Bureau of Statistics https://www.abs.gov.au/statistics/classifications/australian-standard-classification-education-asced/latest-release (2001).
Australian Qualifications Framework (Australian Qualifications Framework Council, 2011).
Galobardes, B., Lynch, J. & Smith, G. D. Measuring socioeconomic position in health research. Br. Med. Bull. 81–82, 21–37 (2007).
Lindberg, M. H., Chen, G., Olsen, J. A. & Abelsen, B. Combining education and income into a socioeconomic position score for use in studies of health inequalities. BMC Public Health 22, 969 (2022).
First, M. B. & Williams, J. B. Structured Clinical Interview for DSM-5: Research Version (SCID-5-RV): Reference Interview: ‘Anxious Decorator’ (Biometrics Research, Psychiatry, Columbia Univ., 2017).
Maniaci, M. R. & Rogge, R. D. Caring about carelessness: participant inattention and its effects on research. J. Res. Personal. 48, 61–83 (2014).
R Core Team R: A Language and Enuironment/or Statistical Computing (R Foundation for Statistical Computing, 2013).
Honaker, J., King, G. & Blackwell, M. Amelia II: a program for missing data. J. Stat. Softw. 45, 1–47 (2011).
Revelle, W. Psych: Procedures for Psychological, Psychometric, and Personality Research (Northwestern Univ. 2024).
Greenacre, M. et al. Principal component analysis. Nat. Rev. Methods Primer 2, 1–21 (2022).
Cooperman, A. W. & Waller, N. G. Heywood you go away! Examining causes, effects, and treatments for Heywood cases in exploratory factor analysis. Psychol. Methods 27, 156–176 (2022).
Braeken, J. & van Assen, M. A. L. M. An empirical Kaiser criterion. Psychol. Methods 22, 450–466 (2017).
Josse, J. & Husson, F. Selecting the number of components in principal component analysis using cross-validation approximations. Comput. Stat. Data Anal. 56, 1869–1879 (2012).
Goretzko, D. & Bühner, M. Robustness of factor solutions in exploratory factor analysis. Behaviormetrika 49, 131–148 (2022).
Kline, R. B. Principles and Practice of Structural Equation Modeling (Guilford Publications, 2023).
Joreskog, K. G. Simultaneous factor analysis in several populations. Psychometrika 36, 409–426 (1971).
Sörbom, D. A general method for studying differences in factor means and factor structure between groups. Br. J. Math. Stat. Psychol. 27, 229–239 (1974).
Benjamini, Y. & Hochberg, Y. Controlling the false discovery rate: a practical and powerful approach to multiple testing. J. R. Stat. Soc. Ser. B 57, 289–300 (1995).
Brambor, T., Clark, W. R. & Golder, M. Understanding interaction models: improving empirical analyses. Polit. Anal. 14, 63–82 (2006).
Esarey, J. & Sumner, J. L. Marginal effects in interaction models: determining and controlling the false positive rate. Comp. Polit. Stud. 51, 1144–1176 (2018).
Nelson, K. & Fivush, R. The emergence of autobiographical memory: a social cultural developmental theory. Psychol. Rev. 111, 486–511 (2004).
Diamantidis, N. A., Karlis, D. & Giakoumakis, E. A. Unsupervised stratification of cross-validation for accuracy estimation. Artif. Intell. 116, 1–16 (2000).
Cohen, J. Statistical Power Analysis for the Behavioral Sciences (Routledge, 2013).
Costello, A. & Osborne, J. Best practices in exploratory factor analysis: four recommendations for getting the most from your analysis. Pract. Assess. Res. Eval. 10, 1–9 (2005).
Tabachnick, B. G. & Fidell, L. S. Using Multivariate Statistics (Pearson Education, 2013).
Acknowledgements
A.F. is supported by the Australian Research Council (ID FL220100184) and National Health and Medical Research Council (NHMRC; ID 1197431). M.A.B. is supported by the NHMRC (ID 2025415). J.T. is supported by the NHMRC (ID 2033976).
Author information
Authors and Affiliations
Contributions
T.C., J.T. and A.F. conceptualized the study and interpreted the results. T.C. prepared and analyzed the data and wrote the paper. K.P. reviewed the R code for data analysis, and J.T., M.A.B., R.K. and A.F. revised the paper. J.T., N.O.T., B.H., J.K., K.F., K.T., S.B., R.O., J.M., M.A.B., M.E., R.K. and A.F. contributed to data acquisition.
Corresponding author
Ethics declarations
Competing interests
The authors declare no competing interests.
Peer review
Peer review information
Nature Mental Health thanks Chantal Michel and the other, anonymous, reviewer(s) for their contribution to the peer review of this work.
Additional information
Publisher’s note Springer Nature remains neutral with regard to jurisdictional claims in published maps and institutional affiliations.
Supplementary information
Supplementary Information (download PDF )
Supplementary Information, including additional sample and recruitment information, sensitivity analysis results and additional complementary information concerning the analyses described in the main text.
Supplementary Table 1 (download CSV )
A report containing all model parameters.
Supplementary Code 1 (download PDF )
Code for the lavaan models and repeated stratified k-fold.
Rights and permissions
Springer Nature or its licensor (e.g. a society or other partner) holds exclusive rights to this article under a publishing agreement with the author(s) or other rightsholder(s); author self-archiving of the accepted manuscript version of this article is solely governed by the terms of such publishing agreement and applicable law.
About this article
Cite this article
Constable, T., Tiego, J., Pavlovich, K. et al. The effects of trauma type, age of onset and sex on transdiagnostic psychopathological traits. Nat. Mental Health 4, 439–450 (2026). https://doi.org/10.1038/s44220-026-00589-6
Received:
Accepted:
Published:
Version of record:
Issue date:
DOI: https://doi.org/10.1038/s44220-026-00589-6


