Abstract
African smallholder farming systems are complex, diverse and locally adapted, but guidance is lacking on how farmers can make informed choices of the type of organic inputs to suit their farm conditions. In this review we aimed to provide a synthesis of actionable information on ex situ and in situ organic resources and decision support tools to facilitate evidence-based choices by smallholders in cereal production systems in sub-Saharan Africa.
Similar content being viewed by others
Introduction
Most African smallholder farms are plagued by soil health constraints including soil acidity and associated toxicities, declining soil organic matter (SOM), and nutrient deficiencies and imbalances. Yields of staple crops such as maize have also stagnated in many parts of sub-Saharan Africa despite the large investments in crop breeding, availability of high-yielding varieties, and the increased use of synthetic fertilizers in some locations1,2,3. While the use of synthetic fertilizers has been a primary factor in yield gains, fertilizer rates used to achieve the ecological yield potential are not profitable in many cases4. Indeed, the ‘economic yield gap’ ‒ the difference between current yield and profit-maximizing yield ‒ is only about one-quarter of the ecological yield gap for rainfed maize4. The reported low profitability of mineral fertilizer for many farmers is emblematic of constrains including low organic matter leading to low fertilizer response, drought, limited spatial targeting of inputs, high fertilizer costs, and market failures among others4,5. Although the basic principles for agronomic practices and fertilizer rates are well-established, the applicability of such recommendations is highly context-dependent in sub-Saharan Africa. Market fluctuations, local demand, and resource heterogeneity are part of the complexity of African smallholder farming systems which requires hyper-local knowledge6.
In the case of synthetic fertilizers, decision support tools exist for optimization of nutrient use7,8,9,10. Such tools do not exist for organic inputs, which are heterogeneous in terms of their nutrient profiles and available quantity as they are often produced locally with highly variable and sub-optimal management. Efficient use of locally available organic resources requires appropriate, landscape-and knowledge-based targeting and management of individual inputs to increase soil organic matter and synchrony of crop nutrient demand with supply. Over the years, several organic inputs and crop diversification approaches have been tested and promoted to improve soil health and productivity. Yet uptake of these inputs by African smallholder farms have remained low due to a variety of constraints11,12,13,14,15. Although the broad outlines of policy rhetoric support sustainability and use of organic inputs, more policy emphasis and input subsidy programs are biased towards synthetic fertilisers. For example, the preponderance of subsidy programs that support synthetic fertilizers11,16 is emblematic of this bias. Although the soil health and productivity benefits of organic inputs have been well-established, their use at scale has faced significant barriers in Africa. Therefore, the key for increasing the uptake of organic inputs by farmers lies in understanding the benefits and trade-offs associated with each input, and how management practices can be tailored (hyper-localized) to the enormous diversity of farm conditions17,18.
A fundamental challenge is that the research system generates many “options”, but few are locally applicable, relevant, or economical to apply. Therefore, the efficient utilization of what researchers see as options requires hyper-localization to increase their adoptability17. That suggests a new approach to farmer capacitation through evidence-based guidance and decision support tools. In this review, our aim was to identify options for ex situ and in situ organic resources to facilitate evidence-based choices by smallholders, and decision support tools for localization and/or hyper-localization. Localization is the extrapolation of recommendations based on interpolated geospatial information alone. The defining characteristic of hyper-localization is the combined use of geospatially interpolated (space-to-place) information with farmer’s knowledge and field inputs.
Integrated organic and inorganic nutrient management is widely recognized as the basis for soil health for resilient productivity gains in Africa19. Inorganic input management through fertilizer use has been the primary focus of research synthesis in Africa10,19. Organic inputs on the other hand are less well understood in the smallholder farm context in Africa. While a few reviews and global meta-analyses have synthesized information on organic inputs and their benefits20,21, the information is either fragmented by discipline or not sufficiently site-specific. The overall goal of this work is to provide a synthesis of the scattered literature on organic inputs and glean actionable information from the various reviews and meta-analyses. The specific objective of this synthesis is to answer the following outstanding questions: (1) What organic options are available to African smallholder farmers? (2) What are the benefits and trade-offs associated with each options? (3) What are the farmers’ production constraints that could be addressed using each of the available inputs? (4) Under what circumstances and contexts are the soil health and productivity gains positive? (5) What are the farm conditions and farmer contexts that can drive the choice of each input? (6) What decision-support tools are needed to guide hyper-localization of inputs?
Based on the approaches and the location relative to the farm, organic resources used for soil health improvement can be divided into ex situ and in situ inputs. We limited the scope of this review to ex situ and in situ organic inputs used in cereal production systems in sub-Saharan Africa. In most of this review, we used maize as a case study because it is a strategic crop in 48 out of the 54 African countries22, and a source of livelihoods in at least 9 out of the 15 farming systems in Africa23. In addition, the largest number of studies (87) we found are on maize while the rest of the crops were reported in less than 30 studies (Table S1). We synthesized the state of knowledge on the ex situ and in situ options available to farmers by integrating quantitative and qualitative information from our own meta-analyses as well as reviews and meta-analyses already published separately on each input. Based on past reviews and/or meta-analyses2,20,23,24,25,26,27,28, we identified options (Table 1) that are in wide use, with information on their biophysical performance, economic viability and suitability. Wherever information is available, we provide evidence for improvements in crop yields and soil health indicators as defined by Lehmann and co-workers29. We did not include biochar and biomass from perennial lay crops in this review due to lack of data and information on their use by African smallholder farmers.
Results
Ex situ and in situ options available to smallholder farmers
The options available to farmers fall under two different categories, namely, ex situ and in situ approaches. Ex situ approaches consist of a set of practices that capture carbon and produce biomass outside the field, then the biomass is transported to fields to improve soil health and maintenance of soil organic matter. These include off-farm production of livestock manure, compost, and tree prunings from agroforestry systems (Table 1). Tree prunings and litter biomass produced in another farm or on farm boundaries can be used as ex situ inputs30. The in situ options available to farmers are crop residue retention, diversification with grain legumes, green manure legumes, ley rotations with perennials10, and fertilizer trees, i.e., N fixing perennials (trees or shrubs) managed on crop land in a variety of spatial and temporal arrangements30.
Livestock manure and compost
Every year, large quantities of livestock manure are produced across Africa, albeit with large differences among regions and countries. Over 730 million metric tons of cattle manure on dry matter basis are generated annually of which about 360, 156, 92, 87 and 34 million metric tons is generated in eastern, western, northern, middle and southern Africa, respectively31. Where livestock manure is readily available, much of it is not used for soil amendment by farmers due to either lack of labour, knowledge, cultural norms, and other competing uses of manure12,15,32. In addition, the bulky nature of manure, relative to its nutrient density, and the time and labour needed for transporting and applying it limits the area over which it can be economically applied32. Factors known to influence farm-level adoption of manure include household and farm characteristics (e.g., gender of household head, age, household size, and farm size), institutional factors (e.g., access to credit, social grants and extension services), geographic factors (e.g., proximity to markets and roads) and soil characteristics15,32. The trade-offs commonly associated with livestock manure (Table 1) are the proliferation of weeds in crop fields33,34,35 and greenhouse gas (GHG) emissions. The spread of weeds may be tackled by composting manure, which can kill weed seeds and reduce the total number of viable weeds by up to 85%33.
The availability and use of livestock manure also depends on the degree to which crop and livestock production is integrated in a farming system32. In the pastoral farming system, only a small proportion of the manure produced is used for soil amendment in crop production but is the major nutrient source for rangeland and pastures. In this farming system, some pastoral communities struggle with manure disposal12,36 or do not even use it at all due to cultural norms and beliefs12. In the pastoral and agro-pastoral farming systems, livestock mobility also makes the collection of manure more challenging because much of it is directly deposited on pastureland. In the maize mixed, cereal-root crop mixed and root and tuber crops farming systems, farmers have fewer cattle37, and therefore access to livestock manure is limited. However, manure from small ruminants (goats and sheep) or nonruminants (swine, poultry) can be easily available as these animals require less feed and space than cattle. Despite the availability of goat and chicken manure in large quantities, farmers rarely use them in some countries due to lack of knowledge or cultural beliefs33,36,38. In farming systems where livestock are managed intensively, farmers widely use manure collected from stall-fed cattle or procured from commercial farms to fertilize nearby crop fields35,38,39. Manure application rates varies from 1 to 38 t ha−1 with median values of 5-6 in both sole-applied manure and manure + NP(K) fertilizer (Table S2).
Using data from a total of 182 studies across Africa, we estimated that soil application of manure can add on average 277 kg C per ton of cattle or sheep manure and ~284 kg C per ton of poultry or swine manure on a dry matter basis (Table S3). One metric ton of cattle manure can also input to the soil on average (median) 12 kg of N, 3 kg of P and 12 kg of K. On the other hand, one ton of chicken manure can input to the soil 21 kg of N, 12 kg of P and 13 kg of K. In addition, livestock manure adds large quantities of Ca, Mg, S, Fe, Zn and Mn. Even where some of these nutrients are not yield-limiting, application of manure can play a critical role in increasing SOC stocks and buffering soil pH. However, the N concentration of all livestock manure is very low and varies with the state of decomposition. For example, the median N concentration was 1.7% in fresh manure, 1.3% in farmyard manure, and 1.4% in composted manure. In addition, only 7–22% of the N contained in manure is released in mineral form in the first season40, and the N fertilizer equivalency of cattle manure is only 10–35%41. This means that about 22% of the manure N is likely to be available for plant uptake in the current season. On the other hand, the P and K is largely available in mineral form in manure, and over 70% of it is plant-available in the first season40. The N to P ratio was also less than 6 (i.e., N-limited) in manure regardless of the livestock species (Table S3), the digestive physiology of livestock and the decomposition state of manure (Table S4). This indicates that all livestock manure needs to be supplemented with synthetic N fertilizer for the applied manure to be efficiently used for increasing SOC and crop yields42. Since N is a critical factor for carbon cycling and the storage of SOC43, adequate N needs to be combined with manure to facilitate the production of plant biomass (e.g., maize residues), which become sources of carbon input to the soil.
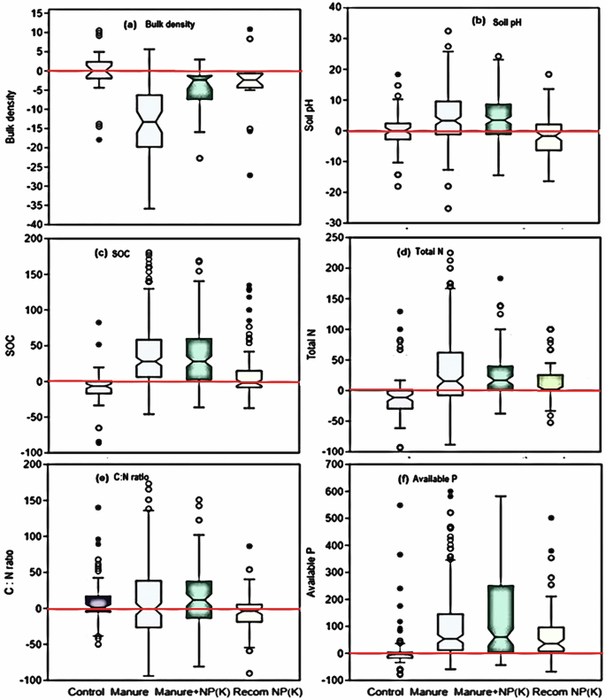
Our meta-analysis of data from 56 studies across Africa provided evidence for significant reductions in soil bulk density, increases in soil pH, SOC, total N, available P, and exchangeable cations following application of sole manure (at a rate of 0.3–30 t ha−1; median rate: 6 t ha−1) or manure + synthetic fertilizer relative to the baseline in 1–3 seasons (Fig. 1). The greatest reduction in soil bulk density was achieved following manure application relative to the baseline (Fig. 1a). This signifies improvements in soil physical properties were higher following manure applied alone than either manure + NP(K) fertilizer or fertilizer alone.
Percentage changes relative to the baseline in a bulk density, b soil pH, c soil organic carbon (SOC), d total nitrogen, e C to N ratios and f available P following 1–3 seasons of repeated application of sole manure (at a rate of 0.3-30 t ha−1; median rate: 6 t ha−1), manure + NP(K) fertilizer, the recommended synthetic fertilizer (Recom NP(K)) or the no-input control in our meta-analysis. Notches in the box plots represent the 95% confidence limits of the medians, while the whiskers represent the most extreme values defined as Q1–1.5×IQR and Q3 + 1.5×IQR. The red horizontal line represents no change with treatment relative to the baseline (% change = 0). When the horizontal red line falls within the 95% confidence limits, the soil health indicator is deemed to have not significantly changed relative to its baseline value following a particular treatment. Figures were created using the PAST (Paleontological Statistics) software Version 4.11.
Substantial increases in soil pH were achieved following application of sole manure on sites with medium rainfall, strongly acid soils and medium initial SOC levels (Table 2). The highest increases in SOC were achieved on sites with medium to high rainfall, soils with neutral reaction, low initial SOC levels and SOC to clay ratios <0.08% (Table 2). The greater increase in SOC on soils with initial SOC < 1% was consistent with earlier meta-analysis44. Greater increases in total N were achieved relative to the baseline following sole manure application on sites with high rainfall, sandy soils, soils with high SOC levels and SOC to clay ratios higher than 0.125. In the case of available P, greater increases were achieved on sites with high rainfall, acidic soils, soils with medium initial SOC levels and SOC to clay ratios less than 0.08 (Table 2). These observations highlight the need for a knowledge-based and hyper-localized use of livestock manure as a soil health management input (see discussion under Way Forward).
In our meta-analysis, exchangeable K, Ca, and Mg were substantially increased following manure application. On the other hand, no change or decreases in these cations were noted following application of the recommended synthetic fertilizer under the same conditions (Fig. 2). These observations are consistent with results from long-term studies45 where annual applications of the recommended fertilizer led to loss of exchangeable cations. Taken together, the results indicate that livestock manure is an important input for maintenance of SOC, base cations, and buffering soil pH in areas undergoing soil acidification in Africa.
Percentage changes relative to the baseline in a exchangeable potassium (K), b exchangeable calcium (Ca), c exchangeable magnesium (Mg) and d cation exchange capacity (CEC) following 1-3 seasons of repeated application of sole manure (at a rate of 0.3–30 t ha−1; median rate: 6 t ha−1), manure + NP(K) fertilizer, the recommended NP(K) fertilizer (Recom NP(K)) or the no-input control. Notches in the box plots represent the 95% confidence limits of the medians, while the whiskers represent the most extreme values defined as Q1–1.5×IQR and Q3 + 1.5×IQR. The red horizontal line represents no change with treatment relative to the baseline (% change = 0). When the horizontal red line falls within the 95% confidence limits (notches), the soil health indicator is deemed to have not significantly changed relative to its baseline value following a particular treatment. Figures were created using the PAST (Paleontological Statistics) software Version 4.11.
Meta-analysis of data from 85 primary studies across 14 African countries also provided evidence for significant increases in maize grain yield relative to the no-input control following application of livestock manure alone (median: 75%; CI: 64, 85%) or manure + NP(K) fertilizer (median: 129%; CI: 115, 146%). Application of manure + NP(K) fertilizer also consistently increased yields of most of the other crops over sole manure or NP(K) fertilizer alone (Table S1). Increases in maize grain yield following sole manure application were significantly higher in regions with low rainfall, on sandy soils, acidic soils, and soils with low-medium initial SOC levels (Table 2). Maize grain yield increases following application of manure + NP(K) fertilizer were significantly higher on sandy soils, strongly acidic soils, and high initial SOC levels (Table 2). Our meta-analysis (Table 2; Table S1) shows that the combined use of manure and synthetic fertilizers consistently achieves higher crop yields than the sole application of manure, thus reinforcing the findings of past meta-analyses46,47 and long-term trials48. Synergistic effects of combining manure and synthetic fertilizers were observed in 11 out of 40 studies. One common feature of those studies is that the soils at the study sites were strongly acidic (pH <5.5).
Grain yield responses did not significantly increase with increasing N or P inputs either from manure or manure + NP(K) fertilizers (Fig. 3a & b). Yet the agronomic use efficiency of N (AEN) decreased with increasing N inputs either from manure or manure + NP(K) fertilizer (Fig. 3c). Increasing the N rates beyond 100 kg ha−1 tended to reduce AEN in both sole manure and manure + NP(K) fertilizer. This is probably because of the low yield potential of maize cultivars used by farmers and the lack of optimal N fertilizer management. The agronomic use efficiency of P (AEP) did not follow a clear trend with increasing N input rates (Fig. 3d). However, the analyses provided clear evidence of increases in AEN and AEP with increasing N to P ratio in manure + NP(K) fertilizer. In sole manure, AEN and AEP were lower when the N to P ratios are <6:1 or >10:1; the optimal ratio was around 6-8 N to1 P (Fig. 3e & f). The low N to P ratios (Table S3) and the trends in AEN and AEP (Fig. 3e) emphasize that considerable N deficit exists in all livestock manures. This is consistent with a recent recommendation40 for supplementation of the N added as manure with synthetic N fertilizer to achieve P:N ratios of 1:7. The available evidence also suggests that current application rates of livestock manure supply adequate P and K inputs to the soil (Table S2 and S3). For example, using the median application rate of 5 t ha−1 (Table S2) and the median value of P (3.3 kg) and K (12.8 kg) per ton of manure (Table S3), we estimated P and K inputs at 16.5 and 64 kg ha−1, respectively. Therefore, we recommend that combining livestock manure with P and K fertilizers should be discontinued at least where large quantities of manure (>10 t ha-1)are applied.
a, b present the variations in grain yield with N and P application rates, respectively. c, d present the variations in AEN and AEP with N application rates, respectively. The smooth trend lines represent polynomial fit to the data. All trends were generated assuming quadratic response as it fits data better than linear functions. The figures were created using MS Excel.
Biomass transfer
Biomass transfer involves moving tree/shrub biomass produced in one part of the farm such as fallow fields, farm boundaries or fodder banks for soil application in crop fields30. This is like the cut-and-carry system, where the biomass is used as livestock fodder and the manure generated is used for soil application. The species commonly used include Calliandra calothyrsus, Gliricidia sepium, Leucaena leucocephala, and Tithonia diversifolia49,50. The yield and soil improvement benefits of biomass transfer are greater when combined with synthetic fertilizers49,50. A major limitation of biomass transfer is the time and labour required for harvesting tree prunings and subsequent incorporation into the soil49. However, in no-till systems, the biomass can be used as mulch to cover the soil, which is important for temperature regulation and increasing biological activities. Compared to other agroforestry practices, biomass transfer does not require a large farm size, and it is therefore suited to households with smaller land holding but with larger family sizes50. However, its adoption by households with very small landholdings may be limited due to the less space available for tree planting
Crop residue retention
Every year, large quantities of crop residues are produced across Africa31. For example, over 109 million metric tons of maize residues on dry weight basis are produced annually of which about 43, 11, 8, 14 and 32 million metric tons are generated in eastern, middle, northern, southern, and western Africa, respectively31. However, less than 45% of the residues generated are retained on the field51 or used as soil amendment31. The availability of crop residues for soil application depends on the farming system and crop/livestock interactions in the landscape52. In the agro-pastoral farming system, open grazing competes with crop residue retention, while in the pastoral, cereal-root crop mixed and highland-mixed farming systems, farmers often remove crop residues either to feed livestock, for use as a source of energy or as construction materials. The trade-offs commonly associated with crop residue retention are the use for livestock feed53,54, reduction in maize yields due to N immobilization (Table 3) particularly when cereal residues are incorporated in the soil, mechanisation for uniform planting, and GHG emissions. Crop residue retention is essential in conservation agriculture, defined as the application of minimum or no tillage, permanent soil cover and crop rotation. However, residue retention is challenging in areas where free grazing by livestock is practiced55. Due to lack of primary studies and meta-analysis in the African context, we were unable to present information on the circumstances and contexts under which retention of crop residues achieves greater soil health and productivity gains relative residue removal. Therefore, we strongly recommend future meta-analysis on these aspects to fill this knowledge gap.
Cereal-legume diversification
Various legume technologies have been promoted in African smallholder farms for their high nutritional value, drought tolerance, and soil fertility enhancing qualities18,56,57,58,59. We limited this review to diversification of cereal cropping systems with grain legumes, forage legumes, herbaceous green manure legumes and fertilizer trees through either intercropping, crop rotation, or other agroforestry arrangements. Generally, the uptake of these technologies by smallholders has been low relative to their social and ecological benefits and the efforts made in promoting them. According to a meta-analysis14 of studies across sub-Saharan Africa, the adoption rate, defined as the proportion of households who have taken up grain legume technologies, was about 41% on average; 15 out of the 25 studies reported adoption rates below 40%. The same meta-analysis identified extension contact, farm size, livestock holding per household and distance to markets as the main determinants of farmers’ adoption decisions14. Other factors cited as determinants of farmers adoption include knowledge, attitudes, perceptions, belief systems or cultural norms13,60.
Existing meta-analyses and reviews have provided evidence on the yield benefits of diversifying with legumes globally20, but synthesis of the benefits in terms of soil health indicators are lacking in the context of African smallholder farms. The benefits documented in primary studies in African farming systems include carbon and nutrient inputs into the soil61,62,63, increased crop productivity24,27,58,64,65,66, suppression of weeds30,67, and protein and mineral sources supplementing the cereal-based diets of households57,68. Diversification with perennial legumes particularly offers African smallholders on marginal and degraded lands greater opportunities for carbon sequestration and restoring soil fertility61,63, increased resilience6,69,70,71, and greater gross margins and nutritional value59. However, these benefits are context-specific, and those contexts are discussed below under the different diversification options.
Intercropping with grain legumes
Here we consider various forms of intercropping with grain legumes57, green manure, and forage legumes including those used in the push-pull technology56. In the push-pull technology, labour requirement for trimming of Desmodium shoots and incorporation of the biomass into the soil is the key constraint56. Perennial food legumes such as long-duration pigeon pea can also be managed by ratooning, supporting a multiyear doubled up intercropping with a short duration groundnut in year one, followed by pigeon pea intercropped with maize in year two71,72. In addition to diversifying income sources and household nutrition, intercropping also carries reduced risks of production and financial failure10,59,73. According to a meta-analysis24 of studies from Africa, intercropping of various crops increased yields of the intercrop on average by 23% and gross income by US$ 172 ha−1 across crops relative to the corresponding monocrop.
The benefits from intercropping vary with the design (replacement vs additive), spatial arrangement and row configuration (mixed, row and strip cropping), temporal overlap between components (relay vs simultaneous planting), relative plant population density, characteristics of the cereal genotypes (e.g., early vs late maturing) and the growth habit of legumes (e.g., spreading vs erect), synthetic fertilizer inputs and rhizobial inoculation18,66,74,75,76. According to a global meta-analysis of intercropping studies, the replacement design provided significantly higher yield stability than the additive design of cereal-legume intercropping77. Another meta-analysis found late maturing maize varieties to be more competitive, and therefore resulted in reduction in the legume yields in maize intercropping with cowpea75. In that meta-analysis erect and early maturing cowpea varieties were found to out-yield spreading varieties in intercropping75.
The choice of synthetic fertilizer type and application rates can either dampen or increase intercropping advantages. According to a recent global meta-analysis, high N, P and K fertilizer inputs significantly decreased the productivity and nutrient uptake in intercropping relative to the corresponding monocrop78. But this effect is often context specific. For example, while N fertilizer inhibits the N-fixation capacity of legumes, it can reduce competition for N between maize and the legume crops where N is limiting75.
When appropriately designed and managed, intercropping generally increases land productivity relative to a monocrop72,75,79, which is indexed by the land equivalent ratio (LER) exceeding 1. However, the size of the LER often depends on temporal niche differentiation between the component species, growth habits of the legume species, climate, soil, and external fertilizer inputs76. According to recent meta-analyses75,79,80, greater LERs were achieved with maize-pigeon pea (LER = 1.57) and maize-groundnut (LER = 1.50–1.52) than maize-common bean (LER = 1.31–1.34), maize-soybean (LER = 1.30–1.35) or maize-cowpea (LER = 1.26–1.42) intercrops. The higher LER obtained with pigeon pea is likely because pigeon pea has deeper roots than the maize crop81 thus achieving greater niche differentiation than other grain legumes.
The main trade-offs (Table 1) often associated with intercropping maize with grain legumes are nutrient mining through grain harvest with edible seeds, competition with the companion crop, and labour constraints to manage the involved crops59,73,74,82. For example, in maize-pigeon pea intercropping, annual net removal of N was estimated at 31–49 kg ha−1 in Malawi and 35–68 kg ha−1 in Tanzania. Annual net removal of P was 9–17 kg ha-1 in Malawi and 6–25 kg ha−1 in Tanzania in maize-pigeon pea intercropping82. Competition by maize in the intercrops suppressed biomass of pigeon pea by up to 60% and grain yields by 33% in Tanzania74. At the same time, N input to the soil can be substantial from maize-pigeon pea intercrops (30–100 kg N ha−1 annually) and there is evidence of soil organic matter accrual under pigeon pea83. Perennial and long-lived growth habit forms of legumes are the primary means of ensuring high biological nitrogen fixation, phosphorus solubilization and soil organic matter gains as these ecosystem services require sufficient biomass and time to accrue69,84. Trade-offs such as competition can be mitigated through informed choice of rotation cycles with cereals, intercropping designs, component crops, and synthetic fertilizer inputs.
Rotation with grain legumes
The choice of legume and cereal crop species, the intended use of the legumes (i.e., grain, forage, green manure) and management affect the quantity and quality of organic inputs and the potential benefits to the cereal crop in the rotation27,57,58. Rotation with grain legumes may involve single species or doubled-up legume rotations57,58,72. The doubled-up legume rotation involves two legumes with complementary phenology (e.g., groundnut/pigeon pea or soybean/pigeon pea) grown in rotation with maize57,72.
A growing body of evidence from meta-analyses exist on yield benefits with maize-grain legumes rotations under the right conditions. According to a global meta-analysis66, the overall yield increase was 20%, with greater yield advantages (32%) in low-yielding environments such as those in Africa than in high-input environments (7%). Yield advantages were also greater in low N input conditions64, but the benefits declined with increasing N fertilizer applied to the main crop66. Yield benefits of rotation were also greater with conservation tillage than conventional tillage66. Our re-analysis of the data from Africa (reported in Zhao et al., 2022)66 revealed that yield gains were higher in maize rotation with pigeon pea (33%; CI 12–43%) and groundnut (31%; CI 19–40%) than common beans (19%: CI 14–39%) and cowpea (16%: CI 12–20%). Yield benefits with maize-grain legume rotations were generally higher on acidic soils, high initial SOC and total N contents exceeding 0.15 (Table 4).
Rotation with green manure legumes
Green manure legumes include species that are grown to be turned under as soil amendment and sources of nutrients for subsequent crops. The species widely tested in maize growing areas in Africa belong to the genera Aeschynomene, Canavalia, Calpogonium, Vicia, Centrosema, Chaemacrista, Clitoria, Crotalaria, Desmodium, Glycine, Lablab, Macroptilium, Mucuna and various Stylosanthes species27,65,85. Earlier meta-analyses27,65 have shown that improvements in maize grain yields following green manure legumes significantly differ with soil type, soil clay content, elevation and mean annual precipitation. Our re-analysis of data from Chivenge et al. (2011)46 and Zhao et al. (2022)66 shows that yield benefits following green manure legumes are higher in areas with high rainfall, on clayey and medium textured soils, soils with medium initial SOC and high total N (Table 4). Yield benefits were also higher with green manure legumes than grain legumes in any given context (Table 4). The main trade-off with green manure legumes is that they occupy land for at least a year, which could be used for growing crops (Table 1) and adoption by farmers has been very low partly because they do not produce edible or sellable products.
Agroforestry practices
Agroforestry is an umbrella term that covers a wide variety of practices involving the deliberate integration of trees, crops and/or livestock. Agroforestry practices may vary widely in species composition and tree density and management depending on farmers’ needs and preferences. In this review, we focus only on those practices that have been well-documented in maize cropping systems in Africa. These include intercropping, alley cropping (or hedgerow intercropping) and rotations with fertilizer trees belonging to the genera Acacia, Alnus, Calliandra, Casuarina, Erythrina, Faidherbia, Gliricidia, Parkia, Sesbania, Tephrosia, Senegalia and Vachelia etc30. Typical examples of the intercropping with trees include the Gliricidia-maize intercropping predominantly practiced in the maize-mixed farming system in southern Africa and planting maize between stands of Faidherbia in the agro-pastoral farming system in the Sahel, East Africa and southern Africa30,61,81,86,87. Gliricidia-maize intercropping is suited to farmers with small landholding sizes. In this system, nutrient mining and competition are minimal because tree seeds or biomass are not exported and the overlap between the root systems of maize and Gliricidia is highly limited81. However, Gliricidia requires regular trimming, and therefore the labour requirement is the main constraint86. Alley cropping involves growing perennials in rows and cultivating arable crops or pasture grasses in the alleys between tree rows61. This is typically practiced in the cereal-root crop mixed farming system in West Africa61.
The rotational system often takes three forms; (1) improved fallows where fast growing fertilizer trees are grown for 2-3 year and maize is planted after fallow clearance for 2-3 years, and the same rotation can be repeated indefinitely; (2) rotational woodlots combining intercropping maize with trees during the first year, then leaving the land as a tree fallow, and finally intercropping maize after clear-felling the trees30,61,86 and (3) taungya, where young trees are intercropped with crops during tree establishment and then left to grow afterwards. The improved fallow rotation may involve single species or a mixture of grain legumes (e.g., pigeon pea), shrubs (e.g., Tephrosia) and trees (e.g., Sesbania) planted together to achieve greater synergies in resource acquisition and use efficiency88.
Evidence from past reviews and meta-analyses have firmly established the soil health and productivity benefits of both the intercropping and rotation options with fertilizer trees30,63,65,87,89. According to a recent meta-analysis63, fertilizer trees increased SOC by 21%, available N by 46%, available P by 11%, and reduced erosion rates by 60–80% depending on the soil texture in humid and subhumid regions. Greater increases in SOC concentrations were achieved on strongly acidic soils than on neutral soils63. Deep-rooted perennials in this system create a more closed nutrient cycling via deep nutrient capture, increased supply of N through biological N-fixation, increased litter inputs and soil biological activity61,86,88. Deep capture involves retrieval of nutrients leached beyond the reach of maize crops such as P, K, Mg, Ca, thereby increasing nutrient cycling and buffering soil pH61. These systems also significantly improve soil physical properties30 and achieve greater maize yields than rotations with green manure legumes27,65. The main trade-offs in rotational systems are that the trees occupy land for 2-3 year without food crops (Table 1), and tree management is knowledge- and labour-intensive than monoculture maize11.
Discussion
From the foregoing sections it is evident that targeting of in situ and ex situ approaches needs different sets of farmer decisions. Although farmers often have access to a few options, they may have difficulties in targeting the options available in a more resource-efficient way. Therefore, decision support tools and systems are needed to facilitate knowledge-based choices by farmers operating in differing agro-ecological and socioeconomic conditions. In the following passages, we will briefly review the systems that can be used to facilitate choice of organic inputs, digital advisory tools, and spatial targeting tools for hyper-localization of advice.
Over the years, decision support systems (DSS) have been tested and developed to facilitate the choice of organic inputs for use on smallholder farms. Palm et al. (2001)90 developed a DSS with four classes of organic resources based on their nitrogen (N), lignin, and soluble polyphenol contents. After evaluation of the original criteria used in earlier DSS, Vanlauwe et al. (2005)91 concluded that three classes, mainly distinguished by the N and polyphenol contents of the inputs are adequate. Organic residues such as leaves and straw of nitrogen fixing legumes mostly fall in Class A or B, while cereal straw falls in class C91. Accordingly, the DSS recommends class A inputs (i.e., N > 2.5% and polyphenol <4%) to be incorporated directly into the soil, but class B inputs to be applied in combination with either synthetic N fertilizer, class A inputs or compost to alleviate the low N and slow nutrient release constraints. The DSS recommends Class C resources to be applied as mulch due to their low N content. Field studies and meta-analysis46,92,93 have validated the adequacy of this system for practical application. However, the system is not widely used, and therefore we strongly recommend its use in decision-making on the application of organic resources.
Unlike crop residues, livestock manure is highly variable in its N, lignin and polyphenol contents, and thus could not be easily placed in any of the classes based on the criteria used in the DSS90,91,93. In addition, no clear relationship was found between the fertilizer equivalency and N content of livestock manure41,93. This implies that indicators other than those used in the DSS are needed for quantitative evaluation of livestock manure. Our meta-analyses of data from 180 studies conducted across 21 African countries revealed that most of the livestock manure has total N < 2.5% regardless of the species (Table 5). Our analysis of the N to P ratios also indicate that livestock manure is N-limited compared to biomass from grain legumes, green manure legumes or woody perennial legumes (Table 5). The C to N and N to P ratios in manure are more important than the N and P concentrations of the manure application rates in determining maize yield response28. Therefore, we propose the C to N and N to P ratios as key indicators of manure quality to guide the choice of the livestock species as the source manure to be used in crop fields. In our analysis (Table 5), on average straws of grain legumes have higher N to P ratios (N: P = 18) than cereal straw (N: P = 9) and livestock manure (N: P < 6). As such, our findings reinforce the DSS recommendation that (1) legume straw should be incorporated into the soil because it is a high-quality residue, but cereal straw should be applied as a surface mulch since it is of low-quality. An additional recommendation emerging from our analysis is that livestock manure should be combined with synthetic N fertilizer and incorporated into the soil because most livestock manure is N-deficient but rich in the other nutrients.
The findings from the review and meta-analysis have also highlighted that organic inputs provide greater nutrient supply and crop productivity enhancing benefits within specific environmental contexts than blanket recommendations over a large area or across a region. Therefore, knowledge of soil, environmental and socio-economic conditions are necessary to inform which combinations of organic amendments can be recommended for a given site. Providing hyper-localized diagnostics and advice is often challenging due to weaknesses in local extension systems, particularly the thin presence of human resources on the ground. Digital advisory services have shown potential to help address this gap in communicating agricultural information to smallholders in some African countries. For example, ICT tools have played a significant role in driving agroforestry adoption in Malawi94. Similarly, a mobile app-based digital decision support tool developed for landscape-specific fertilizer applications in Ethiopia has led to substantial increases in crop productivity8. We believe similar tools and systems may be used to provide bundled information to farmers and monitor changes in soil health indicators following application of in-situ and ex-situ organic inputs/approaches. So far these tools have focussed on delivering extension messages, without linking the information with soil health indicators. Therefore, we recommend emphasis on the use of modern tool s for monitoring changes in the soil health indicators discussed above and tailoring the extension messages accordingly.
Emerging diagnostic capabilities such as soil sensors and wireless technologies, and internet of things (IoT)-based monitoring systems78,95,96,97,98,99 are making it possible to rapidly and cheaply identify soil health constraints, and guide farm- and plot-level decision-making. Soil health information is also becoming available on android smartphones, such as the land potential knowledge system97. Advances in soil sensors and wireless technologies are also poised to replace physical sampling and offline measurement with in-situ soil health monitoring98. For example, affordable, fine-scale estimates of SOC can be obtained at farm level using hand-held reflectometers98. These developments provide opportunities for hyper-localized advice on targeting in-situ and ex-situ organic inputs and monitoring changes in soil health indicators to achieve more efficient soil management at the level of individual farms. Towards that end, we recommend the design of an information system based on the infological99 approach to monitor the soil health indicators discussed above and guide the choice of a specific type of organic input.
In conclusion, we have provide a synthesis of information to facilitate a shift from blanket recommendations of organic inputs to knowledge-based advisory on soil health management inputs tailored to specific socio-ecological conditions of African smallholders. We also highlight the need for leveraging emerging decision support systems, soil health diagnostics, and advisory tools to guide hyper-localization of advice on these inputs. We have identified various options and choices available to farmers and highlight that the quality of organic inputs plays a critical role in the build-up of soil organic matter, availability of nutrients, and the productivity of maize. Since combinations of ex situ and/or in situ inputs with synthetic fertilizers appear to outperform either input, we recommend that these inputs should be treated as complementary approaches for soil health management. The magnitude of improvements in soil health indicators and maize yields are dependent on-site characteristics. Taken together, these findings highlight the broad range of decision points that farmers face to optimize organic resources to align with their economic goals, availability, and agronomic expertise. A process of enabling the application of targeting tools either in the hands of extension workers or farmers themselves is vital. A process of farmer capacity building and training for hyper-localization of advice is also urgently needed to facilitate evidence-informed choice by smallholder farmers. The task might be complex, but technological advances make this a feasible, if challenging, goal.
Methods
In-depth synthesis of the evidence on the effects of livestock manure and compost on soil health indicators and crop yields does not exist for Africa-based research. Therefore, we undertook a meta-analysis of manure effects on crop yields and indicators of soil health. To save space, we have provided Supplementary Notes containing detailed information on the search terms, inclusion and exclusion criteria and the statistical analysis applied in the meta-analysis. The studies included in the meta-analysis represented a gradient from dry (semi-arid tropical) to wet (humid tropical) regions, covering the major maize production areas of SSA (Fig. 4). The meta-analysis quantified changes in soil health indicators focusing on soil bulk density, pH, soil organic carbon (SOC), total nitrogen (N), available phosphorus (P), exchangeable potassium (K), calcium (Ca) and magnesium (Mg), and maize grain yield and agronomic use efficiencies of N and P following application of livestock manure and compost, manure plus synthetic fertilizers, and the recommended synthetic fertilizer. Figure 4 shows the sites covered by the primary studies. We calculated the percentage change in each soil health indicator relative to the baseline as follows:
where B is the baseline value of the indicator measured at the commencement of the study, and E is the value of the same indicator measured at the end of the study. For brevity, we used the shorthand “NP(K) fertilizer” to represent synthetic NP fertilizer with or without K fertilizer, because K is variable in how it is addressed in fertilizer recommendations across Africa, which is beyond the scope of this study.
The map was generated by the authors of this paper using QGIS version 3.36.1, a free and open-source GIS system (http://qgis.org).
We also undertook a meta-analysis of changes in maize yield following application of manure, biomass transfer, crop residues, and green manure. For each input, we calculated the percentage change in maize yield relative to the no-input control as:
where RR is the response ratio calculated as the ratio of the grain yield in the specific treatment (e.g., manure, NPK fertilizer, etc.) and the no-input control, i.e., \({RR}=\frac{{Treatment\; yield}}{{Control\; yield}}\). For all soil health indicators and crop yields, we limited the analyses to data collected for 1-3 seasons. We have presented the quantities of N, P and K fertilizers applied in Table S2. We also estimated the agronomic use efficiency of N and P from manure, manure + NPK fertilizers and synthetic fertilizers with details provided in the Supplementary Tables.
In addition, we undertook a review of published meta-analyses of the effects of crop residues, intercropping, rotations and agroforestry on crop yields and soil health indicators. We identified the relevant meta-analyses and reviews using Google Scholar and ISI Web of Science. We used keywords representing the response variables associated with crop productivity, pH, SOC, nutrient availability. Since the description of the methods used in the various meta-analyses and reviews is very long, we have provided detailed information in the Supplementary Notes.
Data availability
No primary datasets were generated, but meta-analyses were conducted using data compiled from primary studues. The full dataset will be made available upon reasonable request. Requests for data should be addressed to G.W.S.
Code availability
Not applicable.
References
Grassini, P., Eskridge, K. M. & Cassman, K. G. Distinguishing between yield advances and yield plateaus in historical crop production trends. Nat. Commun. 4, 2918 (2013).
Kuyah, S. et al. Innovative agronomic practices for sustainable intensification in sub-Saharan Africa. A review. Agron. Sust. Dev. 41, 16 (2021).
Ray, D.K., Mueller, N.D., West, P.C. & Foley, J.A. Yield trends are insufficient to double global crop production by 2050. PLoS One 8, e66428 (2013).
Bonilla-Cedrez, C., Chamberlin, J. & Hijmans, R.J. Fertilizer and grain prices constrain food production in sub-Saharan Africa. Nature. Food 2, 766–772 (2021).
Chivenge, P. et al. Progress in research on site-specific nutrient management for smallholder farmers in sub-Saharan Africa. Field Crops Res. 281, 108503 (2022).
Isgren, E., Andersson, E. & Carton, W. New perennial grains in African smallholder agriculture from a farming systems perspective. A review. Agron. Sust. Dev. 40, 6 (2020).
Amede, T. et al. Landscape positions dictating crop fertilizer responses in wheat-based farming systems of East African Highlands. Renew. Agric. Food Syst. 37, S4–S16 (2022).
Desta, G. et al. Landscape-based nutrient application in wheat and teff mixed farming systems of Ethiopia: farmer and extension agent demand driven approach. Front. Sustain. Food Syst. 7, 1241850 (2023).
Sida, T.S. et al. Failure to scale in digital agronomy: An analysis of site-specific nutrient management decision-support tools in developing countries. Comput. Electron. Agric. 212, 108060 (2023).
Wortmann, C.S. & Stewart, Z. Nutrient management for sustainable food crop intensification in African tropical savannas. Agron. J. 113, 4605–4615 (2021).
Ajayi, O.C., Akinnifesi, F.K., Sileshi, G. & Kanjipite, W. Labor input and financial profitability of conventional and agroforestry-based soil fertility management practices in Zambia. Agrekon 48, 276–292 (2009).
Jagisso, Y., Aune, J. & Angassa, A. Unlocking the agricultural potential of manure in agropastoral systems: traditional beliefs hindering its use in southern Ethiopia. Agriculture 9, 45 (2019).
Meijer, S.S., Catacutan, D., Ajayi, O.C., Sileshi, G.W. & Nieuwenhuis, M The role of knowledge, attitudes and perceptions in the uptake of sustainable agricultural innovations among smallholder farmers in Africa: the case of agroforestry adoption. Int. J. Agric. Sust. 13, 40–54 (2015).
Mulder, R. Factors influencing grain legume technology adoption across sub-Saharan Africa: A meta-analysis. MSc thesis, Wageningen University, The Netherlands (2018).
Zondo, B.S. Determinants of adoption and use intensity of organic fertilizer. A case of smallholder potato farmers in KwaZulu-Natal, South Africa. SA-TIED Working Paper #135 (2020).
Ajayi, O.C., Akinnifesi, F.K., Sileshi, G. & Chakeredza, S. Adoption of renewable soil fertility replenishment technologies in southern African region: lessons learnt and way forward. Nat. Res. Forum 31, 306–317 (2007).
Snapp, S. Embracing variability in soils on smallholder farms: New tools and better science. Agric. Syst. 195, 103310 (2022).
Vanlauwe, B., Hungria, M., Kanampiu, F. & Giller, K.E. The role of legumes in the sustainable intensification of African smallholder agriculture: Lessons learnt and challenges for the future. Agric. Ecosyst. Environ. 284, 106583 (2019).
Snapp, S.S., Mafongoya, P.L. & Waddington, S. Organic matter technologies for integrated nutrient management in smallholder cropping systems of southern Africa. Agric. Ecosyst. Environ. 71, 185–200 (1998).
Beillouin, D., Ben-Ari, T. & Makowski, D. Evidence map of crop diversification strategies at the global scale. Environ. Res. Lett. 14, 123001 (2019).
Beillouin, D. et al. A global overview of studies about land management, land-use change, and climate change effects on soil organic carbon. Glob. Change Biol. 28, 1690–1702 (2022).
Abate, T. et al. Characteristics of maize cultivars in Africa: how modern are they and how many do smallholder farmers grow? Agric. Food Secur. 6, 30 (2017).
Blackie, M. et al. Maize mixed farming system: An engine for rural growth and poverty reduction. In: Dixon J. et al. (Eds), Farming Systems and Food Security in Africa, 67–104 (2019).
Himmelstein, J., Ares, A., Gallagher, D. & Myers, J. A meta-analysis of intercropping in Africa: impacts on crop yield, farmer income, and integrated pest management effects. Int. J. Agric. Sust. 15, 1–10 (2017).
Kamau, H., Roman, S. & Biber-Freudenberger, L. Nearly half of the world is suitable for diversified farming for sustainable intensification. Commun. Earth Environ. 4, 446 (2023).
Sánchez, A.C., Kamau, H.N., Grazioli, F. & Jones, S.K. Financial profitability of diversified farming systems: a global meta-analysis. Ecol. Econ. 201, 107595 (2022).
Sileshi, G. et al. Variation in maize yield gaps with plant nutrient inputs, soil type and climate across sub-Saharan Africa. Field Crops Res. 116, 1–13 (2010).
Sileshi, G.W., Nhamo, N., Mafongoya, P.L. & Tanimu, J. The stoichiometry of animal manure and its implications for nutrient cycling and agriculture in sub-Saharan Africa. Nutr. Cycl. Agroecosyst. 107, 91–105 (2017).
Lehmann, J., Bossio, D.A., Kögel-Knabner, I. & Rillig, M.C. The concept and future prospects of soil health. Nat. Rev. Earth Environ. 1, 544–553 (2020).
Sileshi, G. W. et al. Fertilizer Trees. Encyclopedia of Agriculture and Food Systems, Vol. 1, San Diego: Elsevier; pp. 222–234 (2014).
Sileshi, G.W., Barrios, E., Lehmann, J. & Tubiello, F.N. An Organic Matter Database (OMD): Consolidating global residue data from agriculture, fisheries, forestry and related industries. Earth Syst. Sci. Data 17, 369–391 (2025).
Adem, M., Azadi, H., Spalevic, V., Pietrzykowski, V. & Scheffran, J. Impact of integrated soil fertility management practices on maize yield in Ethiopia. Soil. Res. 227, 105595 (2023).
Kasirivu, J.B.K., Materechera, S.A. & Dire, M.M. Composting ruminant animal manure reduces emergence and species diversity of weed seedlings in a semi-arid environment of South Africa. South Afr. J. Plant Soil 28, 228–235 (2011). https://hdl.handle.net/10520/EJC119560.
Materechera, S.A. & Modiakgotla, L.N. Cattle manure increases soil weed population and species diversity in a semi-arid environment. South Afr. J. Plant Soil 23, 21–28 (2006).
Mkhabela, T. & Materechera, S. Factors influencing the utilization of cattle and chicken manure for soil fertility management by emergent farmers in the moist Midlands of KwaZulu-Natal Province, South Africa. Nutr. Cycl. Agroecosyst. 65, 151–162 (2003).
Washaya, S. & Washaya, D.D. Benefits, concerns and prospects of using goat manure in sub-Saharan Africa. Pastoralism 13, (2023).
Dixon, J. et al. (eds). Farming Systems and Food Security in Africa: Priorities for Science and Policy under Global Change. Routledge, London and New York (2020).
Materechera, S.A. Utilization and management practices of animal manure for replenishing soil fertility among smallscale crop farmers in semi-arid farming districts of the North West Province, South Africa. Nutr. Cycl. Agroecosyst. 87, 415–428 (2010).
Ayal, D. & Mamo, B. Smallholder farmers adoption of climate smart livestock production: practices, status and determinants in Hidebu Abote Woreda, Central Ethiopia. Res. Sq. https://doi.org/10.21203/rs.3.rs-2587412/v1 (2023).
Van Averbeke, W. Animal Manure and Soil Fertility Management on Smallholdings in South Africa. In: Fanadzo, M., Dunjana, N., Mupambwa, H. A., Dube, E. (eds) Towards Sustainable Food Production in Africa. Sustainability Sciences in Asia and Africa, Springer, Singapore, pp. 3-19 (2023).
Murwira, H. K. et al. Fertilizer equivalency values of organic materials of differing quality. Pp 113-122, In: Integrated Plant Nutrient Management in Sub-Saharan Africa, eds B. Vanlauwe, J. Diels, N. Sanginga and R. Merckx, CAB International (2002).
Stewart, Z.P., Pierzynski, G.M., Middendorf, B.J. & Prasad, P.V.V. Approaches to improve soil fertility in sub-Saharan. Afr., J. Expl. Bot. 71, 632–641 (2020).
Tang, B., Rocci, K.S., Lehmann, A. & Rillig, M.C. Nitrogen increases soil organic carbon accrual and alters its functionality. Glob. Chang. Biol. 29, 1971–1983 (2023).
Gross, A. & Glaser, B. Meta-analysis on how manure application changes soil organic carbon storage. Sci. Rep. 11, 5516. (2021).
Mtangadura, T.J., Mtambanengwe, F., Nezomba, H., Rurinda, J. & Mapfumo, P. Why organic resources and current fertilizer formulations in Southern Africa cannot sustain maize productivity: Evidence from a long-term experiment in Zimbabwe. PLoS ONE 12, e0182840 (2017).
Chivenge, P., Vanlauwe, B. & Six, J. Does the combined application of organic and mineral nutrient sources influence maize productivity? A meta-analysis. Plant Soil 342, 1–30 (2011).
Sileshi, G.W., Jama, B., Vanlauwe, B., Negassa, W. & Harawa, R. Nutrient use efficiency and crop yield response to the combined application of cattle manure and inorganic fertilizer in sub-Saharan Africa. Nutr. Cycl. Agroecosyst. 113, 181–199 (2019).
Laub, M. et al. Combining manure with mineral N fertilizer maintains maize yields: Evidence from four long-term experiments in Kenya. Field Crops Res. 291, 108788 (2023).
Kuntashula, E., Mafongoya, P.L., Sileshi, G. & Lungu, S. Potential of biomass transfer technologies in sustaining vegetable production in the wetlands (dambos) of eastern Zambia. Expl. Agric. 40, 37–51 (2004).
Mugwe, K.J.N. An evaluation of integrated soil fertility management practices in Meru south district. PhD dissertation, Kenyatta University, Nairobi, Kenya (2007).
Smerald, A., Rahimi, J. & Scheer, C.A. global dataset for the production and usage of cereal residues in the period 1997–2021. Sci. Data 10, 685 (2023).
Valbuena, D. et al. Conservation agriculture in mixed crop–livestock systems: Scoping crop residue trade-offs in Sub-Saharan Africa and South Asia. Field Crop Res. 132, 175–184 (2012).
Nyamasoka-Magonziwa, B., Vanek, S.J., Paustian, K., Ojiem, J.O. & Fonte, S.J. Evaluating nutrient balances, soil carbon trends, and management options to support long-term soil productivity in smallholder crop-livestock systems. Nutr. Cycl. Agroecosyst. 127, 409–427 (2023).
Rusinamhodzi, L., van Wijk, M.T., Corbeels, M., Rufino, M.C. & Giller, K.E. Maize crop residue uses and tradeoffs on smallholder crop-livestock farms in Zimbabwe: Economic implications of intensification. Agric. Ecosyst. Environ. 214, 31–45 (2015).
Thierfelder, C. et al. Complementary practices supporting conservation agriculture in southern Africa. A review. Agron. Sust. Dev. 38, 16 (2018).
Khan, Z.R., Pittchar, JO, Midega, C.A.O. & Pickett, J.A. Push-pull farming system controls fall armyworm: lessons from Africa. Outlooks Pest Manag. 29, 220–224 (2018).
Snapp, S.S., Blackie, M.J., Gilbert, R.A., Bezner-Kerr, R. & Kanyama-Phiri, G.Y. Biodiversity can support a greener revolution in Africa. Proc. Natl. Acad. Sci. USA 107, 20840–20845 (2010).
Snapp, S.S., Cox, C.M. & Peter, B.G. Multipurpose legumes for smallholders in sub-Saharan Africa: identification of promising ‘scale out’ options. Glob. Food Secur. 23, 22–32 (2019).
Thierfelder, C. et al. Two crops are better than one for nutritional and economic outcomes of Zambian smallholder farms, but require more labour. Agric. Ecosyst. Environ. 361, 108819 (2024).
Forsythe, L., Nyamanda, M., Mbachi Mwangwela, A. & Bennet, B. Belief, taboos and minor crop value chains: The case of Bambara groundnut in Malawi. Food, Cult. Soc. 18, 501–517 (2015).
Sileshi, G. W. et al. Agroforestry systems for improving nutrient recycling and soil fertility on degraded lands. In: Agroforestry for Degraded Landscapes: Recent Advances and Emerging Challenges, Dagar, JC et al. (Eds), Vol. 1, pp 225–254 (2020a). Springer Nature, Singapore.
Kuyah, K. et al. Grain legumes and dryland cereals contribute to carbon sequestration in the drylands of Africa and South Asia. Agric. Ecosyst. Environ. 355, 108583 (2023).
Muchane, M.N. et al. Agroforestry boosts soil health in the humid and sub-humid tropics: A meta-analysis. Agric. Ecosyst. Environ. 295, 106899 (2020).
Cernay, C., Makowski, D. & Pelzer, E. Preceding cultivation of grain legumes increases cereal yields under low nitrogen input conditions. Environ. Chem. Lett. 16, 631–636 (2018).
Sileshi, G., Akinnifesi, F.K., Ajayi, O.C. & Place, F Meta-analysis of maize yield response to planted fallow and green manure legumes in sub-Saharan Africa. Plant Soil 307, 1–19 (2008).
Zhao, J. et al. Global systematic review with meta-analysis reveals yield advantage of legume-based rotations and its drivers. Nat. Commun. 13, 1 (2022).
Silberg, T.R., Chimonyo, V.G.P., Richardson, R.B., Snapp, S.S. & Renner, K. Legume diversification and weed management in African cereal-based systems. Agric. Syst. 174, 83–94 (2019).
Chimonyo, V.G.P. et al. Can cereal-legume intercrop systems contribute to household nutrition in semi-arid environments: A systematic review and meta-analysis. Front. Nutr. 10, 1060246 (2023).
Glover, J.D., Reganold, J.P. & Cox, C.M. Agriculture: plant perennials to save Africa’s soils. Nature 489, 359–361 (2012).
Peter, B.G., Mungai, L.M., Messina, J.P. & Snapp, S.S. Nature-based agricultural solutions: scaling perennial grains across Africa. Environ. Res. 159, 283–290 (2017).
Snapp, S. et al. Perennial grains for Africa: possibility or pipedream? Expl. Agric. 55, 251–272 (2018).
Mwila, M., Mhlanga, B. & Thierfelder, C. Intensifying cropping systems through doubled-up legumes in Eastern Zambia. Sci. Rep. 11, 1–13 (2021).
Kiwia, A., Kimani, D., Harawa, R., Jama, B. & Sileshi, G.W. Sustainable intensification with cereal-legume intercropping in eastern and southern Africa. Sustainability 11, 2891 (2019).
Kimaro, A.A., Timmer, V.R., Chamshama, S.O.A., Ngaga, Y.N. & Kimaro, D.A. Competition between maize and pigeonpea in semi-arid Tanzania: Effect on yields and nutrition of crops. Agric. Ecosyst. Environ. 134, 115–125 (2009).
Namatsheve, T., Cardinael, R., Corbeels, M. & Chikowo, R. Productivity and biological N2-fixation in cereal-cowpea intercropping systems in sub-Saharan Africa. A review. Agron. Sust. Dev. 40, 30 (2020).
Yu, Y., Stomph, T.J., Makowski, D. & van der Werf, W. Temporal niche differentiation increases the land equivalent ratio of annual intercrops: A meta-analysis. Field Crops Res. 184, 133–144 (2015).
Raseduzzaman, M. & Jensen, E.S. Does intercropping enhance yield stability in arable crop production? A meta-analysis. Eur. J. Agron. 91, 25–33 (2017).
Zhu, S.G. et al. Intercrop overyielding weakened by high inputs: Global meta-analysis with experimental validation. Agric. Ecosyst. Environ. 342, 108239 (2023).
Daryanto, S. et al. Ecosystem service provision of grain legume and cereal intercropping in Africa. Agric.l Syst. 178, 102761 (2020).
Mudare,. et al. Yield and fertilizer benefits of maize/grain legume intercropping in China and Africa: A meta-analysis. Agron. Sust. Dev. 42, 81 (2022).
Makumba, W., Akinnifesi, F.K. & Janssen, B.H. Spatial rooting patterns of gliricidia, pigeon pea and maize intercrops and effect on profile soil N and P distribution in southern Malawi. Afr. J. Agric. Res. 4, 278–288 (2009).
Adu-Gyamfi, J.J. et al. Biological nitrogen fixation and nitrogen and phosphorus budgets in farmer-managed intercrops of maize–pigeonpea in semi-arid southern and eastern Africa. Plant Soil 95, 127–136 (2007).
Witcombe, A.M., Tiemann, L.K., Chikowo, R. & Snapp, S.S. Diversifying with grain legumes amplifies carbon in management-sensitive soil organic carbon pools on smallholder farms. Agric. Ecosyst. Environ. 356, 108611 (2023).
Drinkwater, L.E. & Snapp, S.S. Advancing the science and practice of ecological nutrient management for smallholder farmers. Front. Sust. Food Syst. 6, 921216 (2022).
Mhlanga, B., Cheesman, S., Maasdorp, B., Mupangwa, W. & Thierfelder, C. Contribution of cover crops to the productivity of maize-based conservation agriculture systems in Zimbabwe. Crop Sci. 55, 1791 (2015).
Sileshi, G. W. et al. Potential of Gliricidia-based agroforestry systems for resource limited agro-ecosystems. In: Agroforestry for Degraded Landscapes: Recent Advances and Emerging Challenges, Dagar, JC et al. (Eds), Vol. 1, pp 255–281 (2020b). Springer Nature, Singapore.
Sileshi, G.W. The magnitude and spatial extent of Faidherbia albida influence on soil properties and primary productivity in drylands. J. Arid Environ. 132, 1–14 (2016).
Sileshi, G., Mafongoya, P.L., Chintu, R. & Akinnifesi, F.K. Mixed-species legume fallows affect faunal abundance and richness and N cycling compared to single species in maize-fallow rotations. Soil Biol. Biochem. 40, 3065–3075 (2008).
Baier, C., Gross, A., Thevs, N. & Glaser, B. Effects of agroforestry on grain yield of maize (Zea mays L.)—A global meta-analysis. Front. Sustain. Food Syst. 7, 1167686 (2023).
Palm, C.A., Gachengo, C.N., Delve, R.J., Cadisch, G. & Giller, K.E. Organic inputs for soil fertility management in tropical agroecosystems: application of an organic resource database. Agric. Ecosyst. Environ. 83, 27–42 (2001).
Vanlauwe, B. et al. Laboratory validation of a resource quality-based conceptual framework for organic matter management. Soil Sci. Soc. Am. J. 69, 1135–1145 (2005).
Chivenge, P. et al. Organic and mineral input management to enhance crop productivity in Central Kenya. Agron. J. 101, 1266–1275 (2009).
Vanlauwe, B., Palm, C.A., Murwira, H.K. & Merckx, R. Organic resource management in Sub-Saharan Africa: Validation of a quality driven decision support system. Agronomie 22, 1–8 (2002).
Haswell, C. & Khataza, R. Can ICT-enabled knowledge acquisition bridge the gap in enhancing the adoption of multipurpose agroforestry tree species (MPTS) in Malawi? Res. Square https://doi.org/10.21203/rs.3.rs-3592405/v1 (2023).
Bhatnagar, V. & Chandra R. IoT-based soil health monitoring and recommendation system. In: Pattnaik P., Kumar R., Pal S. (eds) Internet of Things and Analytics for Agriculture, Volume 2 (2020). Springer, Singapore. https://doi.org/10.1007/978-981-15-0663-5_1.
Kachouei, M.A., Kaushik, A. & Ali, M.A. Internet of Things-Enabled Food and Plant Sensors to Empower Sustainability. Adv. Intell. Syst. 5, 2300321 (2023).
Maynard, J.J. et al. LandPKS Toolbox: Open-source mobile app tools for sustainable land management. J. Soil Wat. Conserv. 77, 91A–97A (2022.
Ewing, P.M, TerAvest, D., Tu, X. & Snapp, S.S. Accessible, affordable, fine-scale estimates of soil carbon for sustainable management in sub-Saharan Africa. Soil Sci. Soc. Am. J. 85, 1–13 (2021).
Cesco, S. et al. Smart agriculture and digital twins: Applications and challenges in a vision of sustainability. Eur. J. Agron. 146, 126809 (2023).
Acknowledgements
The work was supported by the United States Agency for International Development (USAID) through the USAID RFS-SOILS-Space to Place Project, award number AID-BFS-IO-15-00001.
Author information
Authors and Affiliations
Contributions
S.S., G.W.S., P.M., Z.P.S., J.O. and B.M. conceived and developed the concept. G.W.S., collected the literature and data to validate the concept. G.W.S., S.S., Z.P.S., J.O., B.M., T.A., E.A., C.T., P.M., K.M.D., K.T.A., R.C., M.C. and H.N. carried out the literature review. All authors wrote and revised the manuscript and approved publication.
Corresponding author
Ethics declarations
Competing interests
Tilahun Amede and Sieglinde Snapp are affiliated with this journal as Associate Editors and Editorial Board Members, respectively. These authors were not part of the peer review process or decision making on the manuscript. The other authors declare no conflict of interest.
Additional information
Publisher’s note Springer Nature remains neutral with regard to jurisdictional claims in published maps and institutional affiliations.
Supplementary information
Rights and permissions
Open Access This article is licensed under a Creative Commons Attribution-NonCommercial-NoDerivatives 4.0 International License, which permits any non-commercial use, sharing, distribution and reproduction in any medium or format, as long as you give appropriate credit to the original author(s) and the source, provide a link to the Creative Commons licence, and indicate if you modified the licensed material. You do not have permission under this licence to share adapted material derived from this article or parts of it. The images or other third party material in this article are included in the article’s Creative Commons licence, unless indicated otherwise in a credit line to the material. If material is not included in the article’s Creative Commons licence and your intended use is not permitted by statutory regulation or exceeds the permitted use, you will need to obtain permission directly from the copyright holder. To view a copy of this licence, visit http://creativecommons.org/licenses/by-nc-nd/4.0/.
About this article
Cite this article
Sileshi, G.W., Stewart, Z.P., Odhong, J. et al. A review of organic inputs to inform soil health advice for African smallholder farmers: localization matters. npj Sustain. Agric. 3, 20 (2025). https://doi.org/10.1038/s44264-025-00063-3
Received:
Accepted:
Published:
Version of record:
DOI: https://doi.org/10.1038/s44264-025-00063-3
This article is cited by
-
Optimizing maize productivity in the Sahel region through the incorporation of exotic shrub species and reduced mineral fertilization
Agroforestry Systems (2026)
-
Optimized Economic Returns of Potato Cultivated under Inorganic Fertilizer Coupled with Organic Soil Amendments: An Impetus for Resource-Constrained Smallholder Farmers
Potato Research (2026)
-
Agroforestry and integrated nutrient management as climate-smart agro-technologies for soil health and climate change mitigation: a review on African and Asian regions
Discover Agriculture (2025)
-
Maize yield responses to soil organic carbon under integrated soil fertility management in tropical environments
Agronomy for Sustainable Development (2025)






