Abstract
The integration of lighter materials with low intrinsic spin-orbit coupling (SOC) in spintronics devices has recently been proven to be noteworthy. Here we demonstrate the direct efficient spin-orbital pumping into the low SOC CuOx and C60 layers from amorphous CoFeB. Further, the C60 capping layer (CL) significantly enhances the magnetization relaxation process compared to the CuOx in β-W/CoFeB/CL heterostructures, while the static magnetic properties remain indifferent irrespective of the nature of CL. Interestingly, the spin-orbital to charge conversion phenomenon is found to be enhanced by 67% for β-W/CoFeB/CuOx stacking compared to β-W/CoFeB/C60 heterostructure, signifying the anti-correlation between the magnetic damping and spin-orbital to charge conversion. The results are interpreted by interfacial phenomena, like the orbital Rashba effect, two-magnon scattering, and interfacial spin memory loss. Our detailed experimental investigations shed light on the importance of low SOC materials in effectively tuning the magnetization dynamics for the development of future power-efficient spintronics devices.
Similar content being viewed by others
Introduction
The usage of conventional complementary metal-oxide semiconductor (CMOS)-technology-based microelectronics has shrunk in recent times due to the rise of big data-driven applications, like artificial intelligence (AI) and the Internet of Things (IoT). Subsequent development in the spintronics research domain has become pivotal at the dusk moment of Moore’s law. The spin transfer torque (STT) and spin-orbit torque (SOT) induced magnetization control forms the backbone of the spintronics technology which can overcome the shortcomings of the present microelectronics industry for advancement in the information technology sector1,2. The STT-magnetic random access memory (STT-MRAM) has already been commercialized, whereas the capacity per chip has to be pushed into the GB range for the industrial application of SOT-MRAMs. The proto-type SOT-MRAMs have already shown higher endurance and faster writing speed as compared to the STT-MRAMs. The material parameters, like magnetic Gilbert damping, magnetic anisotropy, and saturation magnetization of ferromagnet (FM) become important for STT-based applications. Whereas, the spin current generation in the non-magnetic (NM) heavy metal (HM), efficient spin angular momentum transfer across the interface, and subsequent, sizable charge-to-spin interconversion in HM/FM/capping layer (CL) are the key requirements for the SOT based spintronics applications along with the other material parameters of ferromagnets.
Especially the light materials (i.e. materials with low spin-orbit coupling (SOC)) are usually employed as CLs. However, the materials with low intrinsic SOC, like Ti, Cr, and Mn, have recently garnered significant attention thanks to the discovery of the orbital Hall effect (OHE) and orbital Rashba Edelstein effect (OREE)3,4,5,6. The Onsager reciprocal of this orbital angular momentum (OAM) mediated phenomena is known as the inverse orbital Hall effect (IOHE) and inverse orbital Rashba Edelstien effect (IOREE)3,6,7. The OHE/ORE can lead to non-equilibrium accumulation of OAM, and consequently, the orbital torque (OT) arising by virtue of OAM can alter the magnetization orientation of the adjacent FM layer7,8. The generation of OT is not only limited to bulk materials, but it can also arise at metal/oxide interface (like Cu/Al2O3) and naturally oxidized Cu (CuOx) surface7,9. In particular, the hybridization between Cu d states and O p states can induce a chiral OAM texture in k-space, which consequently results in gigantic ORE6. Although the SOC is weak in CuOx, it has also been reported to enhance the torque efficiency and spin Hall angle in a perpendicularly magnetized Pt/Co/Cu-CuOx multilayer10. On the other hand, the organic compounds also possess low SOC as they are composed of relatively lighter elements, like C, H, N, etc. Sun et al. have shown a generation of inverse spin Hall effect (ISHE) in C60 when they are stacked alongside NiFe via pulsed ISHE technique11. The presence of a low SOC C layer between Co and Ta reduces the perpendicular magnetic anisotropy (PMA) and facilitates achieving low magnetization switching current density in Pt/Co/C/Ta multilayer12. However, the experimental and theoretical research is limited when it comes to the exhibition of SHE, OHE, or ORE in these types of compounds.
Moreover, CuOx has proven to be one of the powerful candidates when it comes to the generation of OT7,8. At the same time, organic molecules can efficiently get hybridized with 3d metals (like Co, Fe) and 5d metals (like Pt, W)13,14,15,16. Nevertheless, the direct spin-orbital pumping into these low SOC materials and the effect of these materials on the magnetization dynamics of adjacent HM/amorphous FM bilayers are yet to be explored. The magnetization dynamics represented by phenomenological Gilbert damping parameter (αeff) is mainly contributed by intrinsic SOC of FM and extrinsic effects arising due to two-magnon scattering (TMS), spin-pumping, and interfacial spin memory loss (SML). The interfacial SML can arise due to the interfacial SOC (ISOC) that can act as an additional spin sink and enhance the magnetic damping17,18. At the same time, there can be various origins of TMS in HM/FM/CL systems. Especially, the magnetic defects or roughness at the interface can scatter the uniform magnon mode of a precessing macrospin due to the presence of non-uniform short wavelength magnons, leading to the TMS17,18. These additional extrinsic effects contribute to the magnetization relaxation rate and enhance the effective damping. The reduction of these effects is of primary importance when it comes to energy-efficient current-induced magnetization switching, magnetization oscillation, magnon propagation, current-induced skyrmion motion, etc. Further, the low SOC materials employed to protect the FM from oxidation in HM/FM bilayers can also significantly affect the magnetic damping due to additional FM/capping layer (low SOC materials) interface contribution to Rashba states, TMS, and SML19. Especially, the capping layer usually gets naturally oxidized in the ambient environment and can act like a sink for spin and/or orbital angular momentum20,21.
In this regard, we report the direct spin-orbital pumping into the low SOC CuOx and C60 layers from Co20Fe60B20 (CFB) and the significant modifications of magnetization dynamics and spin-orbital to charge conversion when the β-W/CFB bilayers are capped by the inorganic (CuOx) and organic (C60) capping layers. The C60 overlayer induces a faster magnetization relaxation; however, contrastingly, the spin-orbital pumping-induced charge current is found to be significantly enhanced for CuOx capping. The experimental results are explained by the anti-damping and ORE phenomena associated with CuOx and the possible TMS and SML induced at the CFB/C60 interface.
Results
Structural characterizations
Two different series of heterostructures with β-W (10 nm)/CFB (4, 6, 8,10 nm)/CuOx (3 nm) and β-W (10 nm)/CFB (4, 6, 8,10 nm)/C60 (25 nm) stackings have been fabricated on Si/SiO2 (300 nm) substrates (Fig. 1a, b). Along with that the CFB/CuOx and CFB/C60 bilayers were also prepared for the investigation of magnetization dynamics and spin-orbital pumping phenomena. The stacking and nomenclature of different heterostructures are mentioned in Table 1. The grazing incidence X-ray diffraction (GIXRD) measurements were performed for all the heterostructures. The GIXRD pattern of WCF1 heterostructure is shown in Fig. 1c. The presence of (200), (210), (211), and (321) Bragg peaks confirm the stabilization of β-phase of W. A similar type of GIXRD pattern is also observed for other heterostructures. The X-ray reflectivity (XRR) patterns of WCF1 and WCFO1 heterostructures are shown in Fig. 1d. The XRR data of all the heterostructures are fitted with GenX software, and the desired thickness of individual layers are confirmed from the XRR fittings. Further, the details of growth and structural characterizations of β-W, C60, and naturally oxidized Cu (CuOx) are mentioned elsewhere7,15. The nonlinear I–V characteristics along with the presence of Bragg peaks for CuOx in the GIXRD patterns of 10 and 20 nm Cu/CuOx films grown on Si/SiO2 (300 nm) confirm the presence of CuOx7.
Schematics of sample stacking for a WCF and b WCFO series of heterostructures. c GIXRD pattern of β-W (10 nm)/CFB (4 nm)/CuOx (3 nm) [WCF1] heterostructure and d XRR patterns and the corresponding fits with GenX software for β-W (10 nm)/CFB (4 nm)/CuOx (3 nm) [WCF1] and β-W (10 nm)/CFB (4 nm)/C60 (25 nm) [WCFO1] heterostructures.
The surface morphology of all the heterostructures imaged by atomic force microscopy (AFM) is presented in Fig. 2. The topography changes for different heterostructures in the WCF series capped with CuOx layers. The root mean square (RMS) roughness for WCF1, WCF2, WCF3, and WCF4 heterostructures are found to be ~3.68 nm, ~3.02 nm, ~1.5 nm, and ~4.2 nm, respectively. Although the thickness of CuOx capping layer is same for all the heterostructures in the WCF series, the roughness is found to be random. This might be due to the different nature of the natural oxidation of Cu as it is occurring in the ambient environment in an uncontrolled manner. Such type of oxidation can play an important role in governing the magnetization dynamics properties of these heterostructures. We have also performed the AFM imaging of 6 and 10 nm thick CFB films (Fig. S1 of supplementary information). The RMS roughness is found to be similar (~0.6 nm) for both the films, further inferring the change in roughness in the WCF series is due to the top CuOx layer. Whereas the topography of the heterostructures in the WCFO series, when capped by the organic C60 does not change much. The RMS roughness of all the heterostructures in the WCFO series is found to be similar (~0.8 to ~1 nm), in contrast to the heterostructures in the WCF series.
Static magnetic characterizations
The angle-dependent in-plane hysteresis loops were traced for all the heterostructures via magneto-optic Kerr effect (MOKE) microscopy. The magnetization reversals for WCF1 and WCFO1 heterostructures along the easy axis are presented in Fig. 3a, b. The easy axis denoted as 0∘ is the orientation of the magnetic field along the sample surface, where a sharp and squared magnetization reversal is observed. Whereas the hard axis, represented as 90∘, is associated with coherent magnetization reversal with the least squared loop. Both the heterostructures exhibit the presence of uniaxial magnetic anisotropy, which can be attributed to the oblique incident sputtered growth of the FM layer. A similar type of magnetization reversal has also been observed for other heterostructures capped with CuOx and C60. A significant change in the coercive field (Hc) is not evident when the capping layer is changed from CuOx to C60. The capping of organic C60 on 3d transition ferromagnetic metals usually enhances the magneto-crystalline anisotropy (MCA) energy and, consequently, the coercive field owing to interfacial hybridization13,14. However, the modification of magnetic anisotropy energy is highly dependent on the crystallinity, orbital orientation, exchange-correlation length, etc14. The as-deposited CFB is amorphous in nature and usually composed of nano-crystalline grains in the 1–10 nm range22. The presence of relatively smaller in size and large numbers of grains can statistically average out the magneto-crystalline anisotropy and reduce the effective anisotropy energy (Keff) in CFB22,23. The reduction in Keff can enhance the ferromagnetic exchange correlation length as per the following equation22.
Here, Aeff represents the effective exchange stiffness, and Lex represents the range of effective exchange interaction range. This is also evident as the hysteresis loops with high squareness along the easy axes for both the heterostructures (Fig. 3a, b). Further, a relatively larger magnetic domain is observed for CFB (Fig. 3d–g) in all the heterostructures compared to the previous report24. This also signifies the presence of a larger exchange correlation length. As the organic overlayer primarily modifies the MCA, the amorphous nature of CFB can explain the similar Hc for both inorganic and organic capping layers as well as the soft magnetic nature of WCF1 and WCFO1. The ferromagnets with low Hc are quite important from the spintronics application point-of-view. Interestingly, the Hc of the hysteresis loops measured along the easy axes for different heterostructures increases gradually with the increase in CFB thickness (Fig. 3c). The gradual increase of Hc with thickness is observed for both inorganic and organic capping layers. This reflects the systematic growth and nucleation of different layers in both the series of heterostructures considered for the present study. Previously, a similar type of thickness-dependent Hc has been observed for as-deposited amorphous CFB with higher thicknesses22,25. This has been attributed to the increase in grain size of the nano-crystallites of CFB. The larger grains with a reduction in a number of grains might not average out the local MCA. Hence, a larger Keff and, consequently, a larger Hc can be expected with the increase in CFB thickness.
Magnetization dynamics investigation
The magnetization dynamics of all the heterostructures in both the WCF and WCFO series were investigated by lock-in-based ferromagnetic resonance (FMR) technique. The heterostructures were placed in a flip-chip manner on top of the co-planner waveguide (CPW) and the FMR spectra were recorded in the 4–17 GHz range. The field-swept FMR spectra at different resonance frequencies for WCF1 and WCFO1 heterostructures are shown in Fig. S2 (supplementary information). A similar type of FMR spectra were recorded for all the heterostructures. Each spectrum was fitted by the derivative of symmetric and anti-symmetric components of the Lorentzian function15:
where K1 and K2 are the anti-symmetric and symmetric absorption coefficients, respectively. The resonance field (Hres) and linewidth (ΔH) extracted for various resonance frequencies from the Lorentzian fit of the field-dependent FMR absorption are shown in Fig. 4. The Hres-dependent f of different heterostructures are plotted in Fig. 4a, b. The f vs. Hres plots are fitted by using the Kittel’s equation15:
where
and HK, Ks, and tFM are the anisotropy field, interface magnetic anisotropy energy density, and the thickness of FM, respectively. Here, γ is the gyromagnetic ratio, and 4πMeff represents the effective magnetization. The 4πMeff extracted from the fitting gives similar values as compared with the saturation magnetization value (4πMs) calculated from the SQUID-VSM (see supplementary information). The magnetic Gilbert damping, which encompasses pivotal information regarding magnetization relaxation, spin wave propagation, and spin-pumping into the adjacent non-magnetic layers, is investigated from the resonance frequency-dependent FMR linewidth behavior (Fig. 4c, d). A linear dependency of ΔH on resonance frequency is evident for all the heterostructures in both the WCF and WCFO series. The small oscillations observed in ΔH vs. f curve at higher frequencies for the WCFO1 sample could be due to the presence of TMS, which can affect the linear behavior of ΔH vs. f curve26. The thickness of CFB is ~4 nm in WCFO1 heterostructure, which is smaller compared to the thickness of CFB of other heterostructures. When the thickness of the FM layer is lowered, the contribution of TMS and/or SML becomes relatively more prominent, which could lead to the non-linearity in ΔH vs. f curve17,18,26. The ΔH vs. f plots are fitted by the following equation to separate the intrinsic and extrinsic contribution to the precessional damping15:
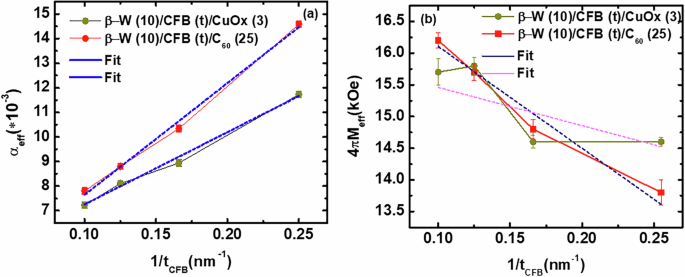
Here, ΔH0 is known as the linewidth broadening caused by the sample imperfections representing the extrinsic contribution. The αeff represents the intrinsic contribution to the damping and is also known as effective Gilbert damping. The αeff of different heterostructures were evaluated from the linear fits of ΔH vs. f plots using equation (4). The 1/tCFB dependent αeff of different heterostructures from both series are shown in Fig. 5a. Interestingly, the αeff for the WCFO series is found to be larger compared to that with the heterostructures in the WCF series. Especially, the enhancement is more prominent for the heterostructures with thinner CFB layers. This infers a significant modification in magnetization dynamics when the β-W/CFB bilayers are capped by inorganic and organic layers. The enhancement of Gilbert damping when the HM/FM bilayers are capped by C60 can have different origins. The additional spin-pumping into the organic layer, two-magnon scattering caused by the interfacial SOC and magnetic roughness at the CFB/C60 interface, or interfacial spin memory loss could be the reason for this significant enhancement17,18,27. Previously the enhancement in magnetic damping in Py/organic bilayer has been observed, which could be due to spin-pumping from Py28. Although the static magnetization properties of the heterostructures capped by C60 and CuOx remain similar, the magnetization relaxation phenomenon under microwave excitation presents a clear difference. The αeff for both the CuOx and C60 capping increases linearly with 1/tCFB and can be well fitted with the following equation19:
where αCFB is the intrinsic damping of the CFB layer. g, μB, and tCFB are the Landé g factor (2.1), Bohr magneton, and thickness of the CFB layer, respectively. The slopes of the linear fit for WCF and WCFO series are found to be significantly different and can influence the spin-orbital to charge interconversion phenomenon in β-W/CFB/CL heterostructures. The \({{\rm{g}}}_{eff}^{\uparrow \downarrow }\), which is the real part of spin mixing conductance, were calculated for WCF and WCFO series by considering the Ms value ~1200 emu/cc, measured by SQUID-VSM (see supplementary information (Fig. S3)). The \({{\rm{g}}}_{eff}^{\uparrow \downarrow }\) values for WCF and WCFO series are found to be 2.2 × 1019 m−2 and 3.5 × 1019 m−2, respectively. However, the hybrid heterojunction formed by the amorphous CoFeB with low SOC polycrystalline CuOx and organic C60 could facilitate the interfacial phenomena like TMS and SML, which in turn can modify the interfacial transparency and, consequently, the magnetic damping value and \({{\rm{g}}}_{eff}^{\uparrow \downarrow }\)29. Further, it is important to note that the heterostructures investigated in this work comprise CFB thickness in 4–10 nm range. The αeff vs. 1/tCFB behavior may deviate from the linear dependency for thinner CFB layers due to the contributions from TMS and SML30. However, the TMS and SML are not expected to play a significant role in thicker CFB as in our case. The organic CL could induce local orbital hybridization and, hence, the modification of interface electronic structure and local magnetic anisotropic energy. This could enhance the TMS as it is usually proportional to the square of \(\frac{2{K}_{s}}{{M}_{s}}\)30. The 4πMeff vs. 1/tCFB behavior for all the heterostructures is shown in Fig. 5b. The 4πMeff varies linearly with 1/tCFB for the WCFO series, whereas the linear behavior is absent for the WCF series. This indicates the Ks, which represents the interfacial magnetic anisotropy energy density for both types of interfaces on either side of the FM layer, may not be the same for all the heterostructures in the WCF series. The Cu capping in the WCF series gets naturally oxidized to form CuOx, and the oxidation level could be different in different heterostructures as it is not controlled experimentally. This behavior is also consistent with randomness in the surface topographic images observed for different heterostructures in the WCF series. Hence, the interfacial anisotropy in CFB/CuOx could be modulated for different heterostructures in the WCF series as the 3 nm Cu is expected to be completely oxidized7,8,31. Whereas the thicker 25 nm C60 capping presents a similar FM/C60 interface for all the heterostructures in the WCFO series and hence, the similar Ks for all the heterostructures with organic capping. Nevertheless, a rough estimation of slope from the linear fit of 4πMeff vs. 1/tCFB behavior in Fig. 5b can shed light on the possible origin of enhanced Gilbert damping for the WCFO series. As it can be seen in Fig. 5b, the slope (and hence the \(\frac{2{K}_{s}}{{M}_{s}}\) (from equation (3))) value is larger for the WCFO series compared to the WCF series. This infers a possible local short-range interfacial hybridization upon C60 capping, which could possibly modify the Ks and induce relatively faster magnetization precession via magnon-magnon scattering32. Further, the interfacial spin memory loss due to ISOC at the CFB/C60 interface could also enhance the magnetic damping as the C60 is predicted to possess curvature-induced SOC11.
In order to further understand the magnetization dynamics of the heterostructures, the spin-orbital to charge conversion phenomenon of all the samples in the WCF and WCFO series was investigated. The measurements were performed from ϕ ~ 0∘ to ϕ ~ 360∘, where ϕ represents the angle between the measured voltage direction and perpendicular direction to the applied magnetic field during ferromagnetic resonance. The field-swept FMR and corresponding measured DC current across the WCF1 sample is shown in Fig. 6a. The sign of the measured DC current (IDC ~ VMEAS/R:VMEAS is the measured DC voltage and R is the device resistance) gets reversed for opposite external field direction, inferring the spin-orbital pumping mechanism. A similar type of IDC vs. H pattern is observed for all the heterostructures in the WCF and WCFO series. The IDC vs. H plots are fitted by the following Lorentzian function to separate the symmetric (ISYM) and asymmetric (IASYM) components of the measured DC currents15:
The ISYM around the resonance frequency extracted for ϕ ~ 0∘ also reverses the sign for ϕ ~ 180∘ (Fig. 6b), as expected for typical ISHE measurements. The symmetric voltage component (VSYM) comprises the spin-pumping induced DC voltage VSP along with spin rectification effects arising due to anisotropic magnetoresistance (AMR) and anomalous Hall effect (AHE). Further, the β-W has a negative spin Hall angle, whereas the spin/orbital Hall angle of C60 and CuOx are found to be positive7,8,11,20. Hence, the IDC at the β-W/CFB interface and CFB/CL interface are expected to be added up according to the symmetry. The angle-dependent ISYM plots for WCF1, WCFO1, WCF2, and WCFO2 heterostructures are shown in Fig. 7a–d. The data are fitted with the following equation to exclude the spin rectification effects and evaluate the spin-orbital pumping current, ISP15:
Here, θ is the phase between the RF electric field and the magnetic field in the medium. IAHE, \({I}_{SYM}^{AMR\perp }\), \({I}_{SYM}^{AMR\parallel }\) is the charge current arising due to AHE, perpendicular component of current arising due to AMR and parallel component of current arising due to AMR, respectively. A similar type of fitting of ISYM vs. ϕ plots has also been performed for other heterostructures to evaluate the ISP (\({I}_{SP}\, \sim \,\frac{{V}_{SP}}{R}\), where R is the device resistance).
The ISP for all the heterostructures in the WCF and WCFO series are plotted in Fig. 8a. Interestingly, the ISP values for the heterostructures with CuOx capping are found to be larger compared to that with organic C60 capping. This trend is of the opposite nature to that of αeff, where the magnetization relaxation is found to be faster for the organic C60 capping. To further understand this anti-correlation effect, we measured the spin-orbital to charge conversion of CFB (7 nm)/CuOx (3 nm) and CFB (7 nm)/C60 (25 nm) heterostructures. The ISYM for both the heterostructures reverses sign when the ϕ is changed from 0∘ to 180∘ (Fig. 8b), confirming the spin-orbital pumping in both the bilayers with non-magnetic low SOC over layers.
Discussion
The evolution of charge to spin-orbital current conversion in FM/CuOx bilayer has been attributed previously to the orbital Rashba effect33,34. However, in those cases, different FMs, like NiFe, Co were employed, and the direct spin-orbital pumping into the CuOx layer has not yet been reported. Our experiments show that the amorphous CFB layer can also act as an orbital angular momentum source for orbital pumping. The enhancement in torque efficiency via CuOx in the PMA system has been reported previously10. Our results shed light on direct spin-orbital pumping into CuOx from technologically important amorphous CFB without much enhancing the damping value and hence, provide a suitable alternative for the development of power-efficient spin-orbitronics devices. At the same time, the realization of DC current in CFB (7 nm)/C60 (25 nm) bilayer under continuous microwave resonance conditions is quite interesting. Previously, it could have been only detected by the pulsed microwave excitation technique with NiFe/C60 bilayer owing to weak signal strength and is attributed to the curvature- induced SOC in C6011. However, a detailed theoretical investigation is required to unravel the exact origin of spin-orbital pumping-induced charge current in these low Z materials (in comparison with heavy elements like Pt and W). Further, the measured charged current for CFB/CuOx bilayer is found to be quite larger compared to that with CFB/C60 bilayer (Fig. 8b). This can explain the larger ISP observed for heterostructures capped with CuOx in the WCF series compared to the heterostructures in WCFO series (Fig. 8a). The ISP exhibits an anomalous behavior with increase in CFB thickness (Fig. 8a). As discussed earlier, the natural oxidation of Cu could affect the interface magnetic anisotropy at CFB/CuOx interface in an irregular manner, and hence, the Ks can change accordingly. This could modify the CFB/CuOx interface transparency for injection of orbital current and, consequently, can tune the ISP17,18. The spin-orbital to charge conversion results also unravel the fact that the organic C60 capping only enhances the magnetic damping without increasing the DC current in the stack compared to inorganic CuOx capping. This infers the relatively faster magnon relaxation in the WCFO series could be facilitated by the magnon-magnon scattering rather than the spin-orbital pumping. In addition, the SML at the CFB/C60 interface can also play a role in enhancing the damping value as the C60 layer offers the curvature-induced SOC leading the metal/organic interface to act as an additional spin sink11. Here, it is also important to note that the Rashba-like states at the CFB/CuOx interface could lead to the non-equilibrium orbital angular momentum (OAM) accumulation near the interface in the WCF series. The accumulated OAM could be converted to charge current via IOREE and could also induce anti-damping like torque on magnetization resulting in a reduction in effective damping value. A similar type of anti-damping- like torque and, hence the reduced damping value has been previously reported in NiFe/TaOx bilayer35. Thus, the anti-damping effect at the CFB/CuOx interface cannot be completely ignored while comparing the effective Gilbert damping of heterostructures in the WCF and WCFO series. The static magnetic properties are similar for both the organic C60 and inorganic CuOx capping as shown in Fig. 3 and Fig. S3. However, the magnetization dynamic properties like magnetic damping and FMR-mediated spin-orbital to charge conversion are significantly different for these two different low SOC capping layers. Our detailed experiments show that the CL can act as an additional source for effective damping control as well as the generation of spin-orbital pumping-induced charge current. It also sheds light on the important contribution of the Rashba interface, TMS, and SML in the evaluation of the technologically important Gilbert damping parameter and the necessity of spin-orbital to charge interconversion study to interpret magnetization relaxation results even for thicker FM films rather than merely investigating the magnetic damping from FMR. Especially, the CuOx overlayer can serve the purpose of achieving efficient spin-orbital to charge interconversion without much of increasing the magnetic Gilbert damping and, hence, provides a suitable alternative for the development of power-efficient spin-orbitronics devices.
In summary, we have experimentally investigated the spin-orbital pumping into the low SOC CuOx and C60 layers and the effect of organic C60 and inorganic CuOx capping layers on the magnetization dynamics in HM/FM/CL heterostructures. A direct spin-orbital to charge conversion has been observed for CFB/CuOx and CFB/C60 bilayers. Further, the static magnetic properties measured by the magnetometry techniques reveal a similar behavior for both the capping layers in β-W/CoFeB/CL heterostructures. However, the magnetization relaxation process is found to be faster in the heterostructures with C60 capping compared to the CuOx overlayer. On the contrary, the spin-orbital to charge conversion phenomenon gets enhanced with top CuOx layer in β-W/CoFeB/CL heterostructures. The results are ascribed to the possible interfacial phenomenon, like the orbital Rashba effect, magnon-magnon scattering, and spin memory loss at the CoFeB/CL interface. Our findings unravel the importance of low SOC materials in controlling the critical magnetization dynamics parameters for efficient spin-orbitronics applications. Moreover, the surface oxidized Cu can facilitate an efficient spin-orbital to charge conversion without much enhancing the magnetic damping, inferring the harnessing of OAM could be a path forward for the fabrication of low-power spin-orbitronics devices.
Methods
The CFB, β-W, and Cu layers were grown by DC magnetron sputtering, and the C60 layer was deposited in situ via effusion cells (Manufactured by EXCEL Instruments, India) at room temperature. The top thin Cu layer oxidizes naturally to form the CuOx capping for the heterostructures in the WCF series. We have also fabricated 10 and 20 nm Cu thin films on Si/SiO2 to investigate the formation of the natural oxidation of Cu. Before the fabrication of heterostructures, individual thin films of CFB, W, C60, and Cu were prepared for thickness calibration and study of magnetic and electrical properties. The base pressure of the sputtering chamber was maintained at ~4 × 10−8 mbar prior to the deposition. All the sputtering targets are at an angle of 45∘ with respect to the substrate normal due to the in-built geometry of the deposition system. Such an oblique-angle deposition induces uniaxial anisotropy in the system, as reported earlier7,15. To reduce the anisotropy as well as to maintain the homogeneity we have rotated the substrate at 20 rpm during the deposition. The structural characterizations of individual thin films and heterostructures were performed by X-ray diffraction (XRD), X-ray reflectivity (XRR) techniques, and Raman spectroscopy. The surface topography was imaged by atomic force microscopy (AFM). The superconducting quantum interference device-based vibrating sample magnetometer (SQUID-VSM) and magneto-optic Kerr effect (MOKE) based microscope were employed for the static magnetization characterization. The magnetization dynamics were investigated by a lock-in-based ferromagnetic resonance (FMR) spectrometer manufactured by NanOsc. The heterostructures were kept in a flip-chip manner on the co-planner waveguide (CPW) and the FMR spectra in 4–17 GHz range were recorded for all the samples. The FMR spectrometer set-up is also equipped with an additional nano voltmeter using which spin-orbital to charge conversion phenomena of all the devices were measured via inverse spin Hall effect (ISHE) with 15 dBm RF power. The contacts were given at the two opposite ends of 3mm × 2 mm devices using a silver paste to measure the ISHE/IOHE/IOREE-induced voltage drop across the samples.
Data availability
The datasets used and/or analyzed during the current study are available from the corresponding author upon reasonable request.
References
Han, X.-F. et al. From microelectronics to spintronics and magnonics. Chin. Phys. B 31, 117504 (2022).
Guo, Z. et al. Spintronics for energy-efficient computing: an overview and outlook. Proc. IEEE 109, 1398–1417 (2021).
Wang, P. et al. Inverse orbital Hall effect and orbitronic terahertz emission observed in the materials with weak spin-orbit coupling. npj Quant. Mater. 8, 28 (2023).
Lyalin, I., Alikhah, S., Berritta, M., Oppeneer, P. M. & Kawakami, R. K. Magneto-optical detection of the orbital Hall effect in Chromium. Phys. Rev. Lett. 131, 156702 (2023).
Sala, G., Wang, H., Legrand, W. & Gambardella, P. Orbital Hanle magnetoresistance in a 3d transition metal. Phys. Rev. Lett. 131, 156703 (2023).
Go, D. et al. Orbital Rashba effect in a surface-oxidized Cu film. Phys. Rev. B 103, L121113 (2021).
Sahoo, A. et al. Efficient control of magnetization dynamics via W/CuOx interface. Appl. Phys. Lett. 125, 132407 (2024).
Santos, E. et al. Exploring orbital-charge conversion mediated by interfaces with CuOx through spin-orbital pumping. Phys. Rev. B 109, 014420 (2024).
Kim, J. et al. Nontrivial torque generation by orbital angular momentum injection in ferromagnetic-metal/Cu/Al2O3 trilayers. Phys. Rev. B 103, L020407 (2021).
Xiao, Z.-Y. et al. Enhancement of torque efficiency and spin Hall angle driven collaboratively by orbital torque and spin–orbit torque. Appl. Phys. Lett. 121, 072404 (2022).
Sun, D. et al. Inverse spin Hall effect from pulsed spin current in organic semiconductors with tunable spin-orbit coupling. Nat. Mater. 15, 863–869 (2016).
Li, D. et al. Effect of inserting a non-metal C layer on the spin-orbit torque induced magnetization switching in Pt/Co/Ta structures with perpendicular magnetic anisotropy. Appl. Phys. Lett. 110, 132407 (2017).
Mallik, S. et al. Enhanced anisotropy and study of magnetization reversal in bilayer thin film. Appl. Phys. Lett. 115, 242405 (2019).
Pandey, E. et al. A perspective on multifunctional ferromagnet/organic molecule spinterface. Appl. Phys. Lett. 123, 040501 (2023).
Sahoo, A., Mukhopadhyaya, A., Mahanta, S. P., Ali, M. E. & Bedanta, S. Molecular-hybridization-induced antidamping and sizeable enhanced spin-to-charge conversion in Co20Fe60B20/β-W/C60 heterostructures. Phys. Rev. Appl. 21, 054001 (2024).
Alotibi, S. et al. Enhanced spin–orbit coupling in heavy metals via molecular coupling. ACS Appl. Mater. Interfaces 13, 5228–5234 (2021).
Zhu, L., Ralph, D. C. & Buhrman, R. A. Effective spin-mixing conductance of heavy-metal–ferromagnet interfaces. Phys. Rev. Lett. 123, 057203 (2019).
Zhu, L., Zhu, L., Ralph, D. & Buhrman, R. Origin of strong two-magnon scattering in heavy-metal/ferromagnet/oxide heterostructures. Phys. Rev. Appl. 13, 034038 (2020).
Behera, N., Guha, P., Pandya, D. K. & Chaudhary, S. Capping layer (Cl) induced antidamping in Cl/Py/β-W system (Cl: Al, β-Ta, Cu, β-W). ACS Appl. Mater. Interfaces 9, 31005–31017 (2017).
Santos, E. et al. Inverse orbital torque via spin-orbital intertwined states. Phys. Rev. Appl. 19, 014069 (2023).
Zheng, K. et al. Enhanced torque efficiency in ferromagnetic multilayers by introducing naturally oxidized Cu. Appl. Phys. Lett. 124, 192408 (2024).
Chen, Y.-T. & Chang, C. Effect of grain size on magnetic and nanomechanical properties of Co60Fe20B20 thin films. J. Alloy. Compd. 498, 113–117 (2010).
Gupta, N. et al. Role of Nb content in tailoring the microstructure and magnetic anisotropy of soft magnetic W/CoFeB alloy thin films prepared with varying the substrate temperature. J. Alloy. Compd. 910, 164930 (2022).
Sharangi, P., Pandey, E., Mohanty, S., Nayak, S. & Bedanta, S. Spinterface-induced modification in magnetic properties in Co40Fe40B20/fullerene bilayers. J. Phys. Chem. C. 125, 25350–25355 (2021).
Chen, Y.-T. & Xie, S. Magnetic and electric properties of amorphous Co40Fe40B20 thin films. J. Nanomater. 2012, 486284 (2012).
Lenz, K. et al. Two-magnon scattering and viscous gilbert damping in ultrathin ferromagnets. Phys. Rev. B-Condens. Matter Mater. Phys. 73, 144424 (2006).
Conca, A. et al. Study of fully epitaxial Fe/Pt bilayers for spin pumping by ferromagnetic resonance spectroscopy. Phys. Rev. B 93, 134405 (2016).
Han, L. et al. Lead-free hybrid perovskite: An efficient room-temperature spin generator via large interfacial Rashba effect. ACS Nano 18, 30616–30625 (2024).
Han, L. et al. Spin homojunction with high interfacial transparency for efficient spin-charge conversion. Sci. Adv. 8, eabq2742 (2022).
Yoshii, S. et al. Significant suppression of two-magnon scattering in ultrathin Co by controlling the surface magnetic anisotropy at the Co/nonmagnet interfaces. Phys. Rev. B 106, 174414 (2022).
Ding, S., Wang, H., Legrand, W., Noël, P. & Gambardella, P. Mitigation of gilbert damping in the CoFe/CuOx orbital torque system. Nano Lett. 24, 10251–10257 (2024).
Behera, N., Kumar, A., Chaudhary, S. & Pandya, D. K. Two magnon scattering and anti-damping behavior in a two-dimensional epitaxial TiN/Py(tpy)/β-Ta(tTa) system. RSC Adv. 7, 8106–8117 (2017).
Ding, S. et al. Observation of the orbital Rashba-Edelstein magnetoresistance. Phys. Rev. Lett. 128, 067201 (2022).
Kim, J. et al. Oxide layer dependent orbital torque efficiency in ferromagnet/Cu/oxide heterostructures. Phys. Rev. Mater. 7, L111401 (2023).
Behera, N., Chaudhary, S. & Pandya, D. K. Anomalous anti-damping in sputtered β-Ta/Py bilayer system. Sci. Rep. 6, 19488 (2016).
Acknowledgements
We acknowledge the Department of Atomic Energy (DAE) (No. 0803/2/2020/NISER/R&D-II/8149), the Department of Science and Technology (DST) of the Government of India, and the SERB project CRG/2021/001245. A.S. acknowledges the DST-National Postdoctoral Fellowship in Nano Science and Technology. We are also thankful to the Center for Interdisciplinary Sciences, NISER, for providing the Raman spectroscopy measurement facility.
Author information
Authors and Affiliations
Contributions
S.B. coordinated the project. A.S. and S.B. conceived the project. A.S. fabricated the heterostructures. A.S. performed the XRD, XRR, I–V, SQUID-VSM, ferromagnetic resonance, and inverse spin Hall effect experiments. S.P.M. performed the Raman, AFM, and Kerr Microscopy experiments. A.S. wrote the original draft of the manuscript. All authors contributed to the discussions and the writing of the paper.
Corresponding author
Ethics declarations
Competing interests
The authors declare no competing interests.
Additional information
Publisher’s note Springer Nature remains neutral with regard to jurisdictional claims in published maps and institutional affiliations.
Supplementary information
Rights and permissions
Open Access This article is licensed under a Creative Commons Attribution-NonCommercial-NoDerivatives 4.0 International License, which permits any non-commercial use, sharing, distribution and reproduction in any medium or format, as long as you give appropriate credit to the original author(s) and the source, provide a link to the Creative Commons licence, and indicate if you modified the licensed material. You do not have permission under this licence to share adapted material derived from this article or parts of it. The images or other third party material in this article are included in the article’s Creative Commons licence, unless indicated otherwise in a credit line to the material. If material is not included in the article’s Creative Commons licence and your intended use is not permitted by statutory regulation or exceeds the permitted use, you will need to obtain permission directly from the copyright holder. To view a copy of this licence, visit http://creativecommons.org/licenses/by-nc-nd/4.0/.
About this article
Cite this article
Sahoo, A., Mahanta, S.P. & Bedanta, S. Significant influence of low SOC materials on magnetization dynamics and spin-orbital to charge conversion. npj Spintronics 3, 20 (2025). https://doi.org/10.1038/s44306-025-00080-5
Received:
Accepted:
Published:
Version of record:
DOI: https://doi.org/10.1038/s44306-025-00080-5










