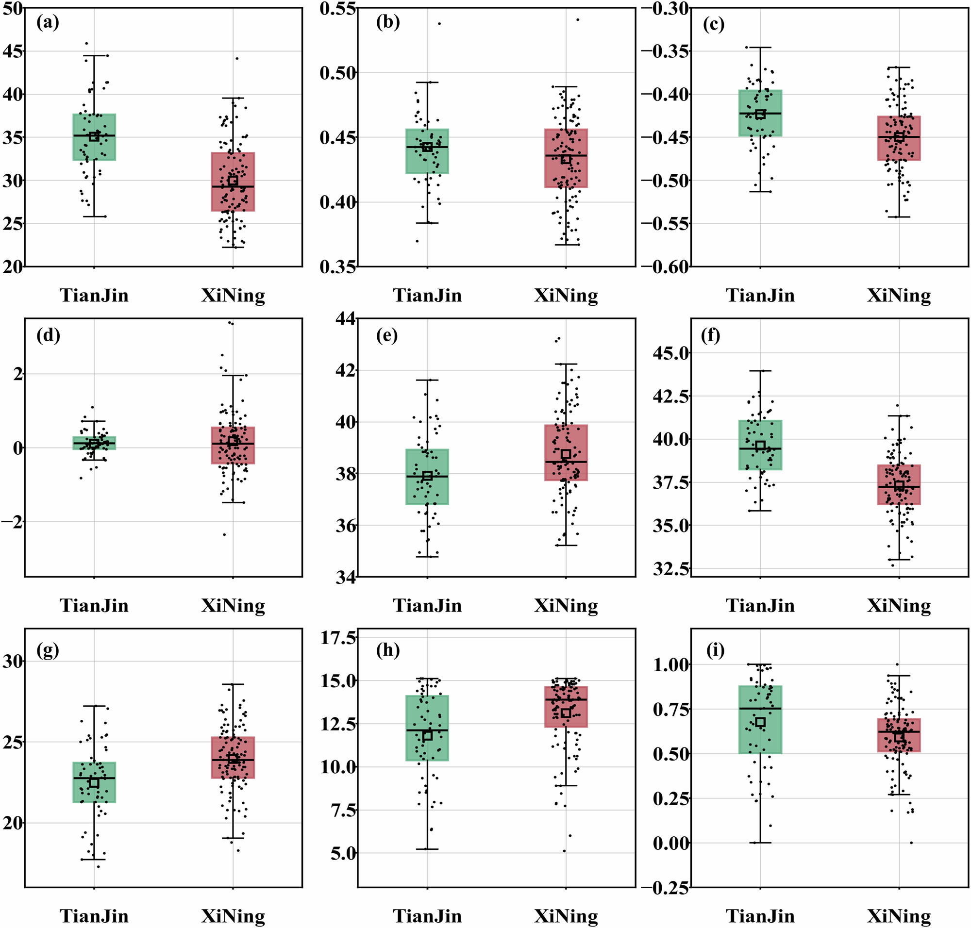
Fig. 4: The distribution of 9 metrics in Fig. 4, including both average and ratio indicators.

a Average Speed (km/h). b Average Acceleration (m/s²). c Average Deceleration (m/s²). d Average Slope (%). e Accelerated Time Ratio (%). f Deceleration Time Ratio (%). g Constant Speed Time Ratio (%). h Idle Time Ratio (%). i Standardized Elevation. Green represents Tianjin, red represents Xining, with the vertical axis of the squares indicating the corresponding means.