Abstract
Vehicle electrification is a major strategy by China to reduce energy consumption and emissions. However, it is difficult to quantify the energy advantages of EVs, especially in cross-regional comparisons. Based on the 3-D markov chain and machine learning methods, this study proposes a framework to evaluate energy consumption benefits and validates it with data from two cities with distinct geographical features, Tianjin and Xining. The results show that EVs can achieve energy consumption benefits from 16.4% to 77.8%. While EVs have significant energy consumption benefits, there are regional differences. Compared to internal combustion engine vehicles, battery EVs showing greater benefits in Tianjin and plug-in hybrid EVs in Xining. The model interpretation indicates that the difference stems from Tianjin’s more frequent and intense deceleration and Xining’s more varied terrain. A standardized energy consumption evaluation framework that integrates regional and vehicle type differences is essential to the EVs’ promotion.
Similar content being viewed by others
Introduction
Promoting electric vehicles is an important approach to reduce air pollution and greenhouse gas emissions from motor vehicles, and to reduce energy consumption1. Over the past decade, the world’s light-duty electric vehicles, including battery electric vehicles (BEVs) and plug-in hybrid electric vehicles (PHEVs), increased from 0.4 million units in 2013 to 16.4 million units in 20222. It is expected that by 2030, the global electric vehicle population could potentially increase to tenfold its current quantity3. In the context of such widespread rollout, it is crucial to evaluate the real-world benefits of replacing conventional fuel vehicles with electric vehicles. Research on this topic primarily focuses on the reduction of pollutants4,5,6, greenhouse gas emissions7,8, and associated health benefits9,10. A critical and foundational factor that limits the rationality and accuracy of these studies is the absence of a standard frame for assessing vehicle energy consumption. Therefore, a standardized energy consumption evaluation framework that integrates regional and vehicle type differences is essential to help the public and policymakers recognize the potential energy benefits of EVs.
Standard driving cycles (DCs) represent a unified method for providing comparability in energy consumption across various vehicle types worldwide. Commonly used DCs include NEDC (New European Driving Cycle), WLTC (Worldwide Harmonized Light Vehicles Test Cycle), and CLTC(China light-duty vehicle test cycle)11. These cycles transform complex real-world traffic conditions into a simplified speed-time curve using techniques like slicing, weighting, and concatenation12,13, thus providing a uniform benchmark for evaluating energy consumption across different vehicle types. In a broad context, standard DCs play an outstanding role. However, when the focus shifts to specific regions or cities, these cycles often exhibit considerable deviations. Transient DCs like WLTC, despite including authentic driving data, still struggle to comprehensively encompass all operational characteristics of vehicle operation due to the diversity in road conditions, terrain, and traffic situations across different regions14. The study by Fontaras, G., et al., identified that carbon emissions measured using the WLTC exhibit a deviation of 15–22% compared to real road experiments15. For electric vehicles, Wang, H et al. observed that different standard DCs can result in energy consumption deviations of ~19–30%16. Additionally, due to the presence of energy recovery systems in electric vehicles and their relatively heavier weight compared to fuel vehicles, they are more sensitive to changes in gradient than fuel vehicles17,18. However, the generalized use of velocity-time curves fails to account for the differential impact of terrain on various vehicle types, leading to increased inaccuracies in comparing energy consumption across different vehicle types.
Due to the inability of standard DCs to accurately reflect the energy consumption characteristics of different regions, researchers have conducted numerous studies aimed at determining the energy consumption performance of vehicles in specific areas. A prevalent approach entails conducting statistical analysis on actual energy consumption data gathered from real-world scenarios. This approach is straightforward and effective, allowing for the direct identification of factors influencing energy consumption. Studies based on this method have been applied to investigate the impact of temperature on energy consumption19,20, as well as the relationship between driving distance and energy efficiency21. Nevertheless, the complexity of real-world traffic scenarios indicates that energy consumption in different regions is significantly influenced by variables such as terrain and traffic conditions22. This complexity requires thorough experimental efforts to establish credible patterns of energy consumption, which is undoubtedly time-consuming and laborious. With the rise of various new vehicle models in the current context of vehicle electrification, the task of conducting sufficient experiments to accurately evaluate real-world conditions becomes an almost insurmountable challenge23. An alternative to the aforementioned method is the driving cycle method. Similar to the concept of standard DCs, this approach transforms a region’s complex traffic conditions into fixed-duration local DCs through slicing, weighting, and other methods. Upon obtaining the DCs, researchers can ascertain the energy consumption characteristics of different regions using methods such as applying chassis dynamometer testing or utilizing energy consumption models. Currently, cutting real driving data and utilizing Markov chains are the two main methods for constructing DCs. The cut real driving data method encompasses micro-trip method24, trip segment method and driving fragmentation method25,26. Regardless of the method of cutting used, the segments obtained frequently surpass the required quantity for constructing a DC. It is necessary to conduct a cluster analysis and select segments so that a DC could be established27,28. However, the clustering method is constrained by its propensity to yield locally optimal solutions and the process of selecting segments risks omitting crucial real motion data29. This can result in DCs that do not sufficiently reflect real-world conditions. In addition to the cut real driving data method, Markov chain-based methods can also be used to construct DCs. During the vehicle’s traveling process, the probability distribution of its next state is solely determined by its current state. This aligns with the Markov chain’s “memorylessness assumption”, wherein each subsequent state is independent of the past states and relies only on the present state. State transition probability matrix constructed from the vehicle’s current and next motion states capture changes in velocity and acceleration. This enables a holistic consideration of the driving characteristics for the entire range of collected sample conditions, thereby enhancing the efficiency of utilizing the original data30,31. Additionally, the Markov chain method more accurately embodies the inherent randomness of speed compared to the cut real driving data method32.
Currently, a variety of studies are concentrated exclusively on assessing the energy consumption of vehicles in single, distinct regions. Research by various scholars has revealed significant energy consumption differences across regions. For example, in cities such as Beijing, Xi’an, Tianjin, and Dublin, the kinematic characteristics of vehicles show considerable variation. This is reflected in their differing electric energy consumption rates, which are 0.1354 Wh/(kg·km), 0.1267 Wh/(kg·km), 0.1067 Wh/(kg·km), and 0.1404 Wh/(kg·km) respectively33,34,35,36. However, due to the lack of uniformity in DC construction methods in these studies, such energy differences are influenced by the varying methods used. Wang T et. al.‘s research demonstrates that using the same data to construct DCs with various clustering techniques can lead to notable differences in energy consumption, with outcomes of 18.52 kWh/100 km and 17.88 kWh/100 km, respectively37. Furthermore, the methods researchers use to establish the mapping relationship between DCs and energy consumption often vary, making it even more challenging to pinpoint the sources of vehicle energy consumption differences. Therefore, based on existing testing protocols and relevant studies, it remains challenging to accurately determine the energy consumption benefits when promoting electric vehicles in a specific location or city. To address these issues, this research proposes a framework designed to standardize the evaluation of energy consumption across different regions. The frame utilizes the Markov chain method with real driving data to generate a specific number of local DCs, forming a driving cycle (DC) database, which extracts the key driving and elevation features from local driving data. This approach maintains the randomness of individual DCs within the DC database, while simultaneously mitigating the potential for significant deviations in randomly generated cycles. This approach enhances the stability of the energy consumption values represented by the database. Moreover, to bypass the exhaustive and time-consuming multiple chassis dynamometer tests and to improve the precision of energy consumption estimates38, the study implements a high-precision energy consumption prediction model based on advanced machine learning techniques, replacing traditional prediction models, thereby providing more accurate and localized energy consumption forecasts. Finally, the framework quantifies the energy consumption differences between vehicle types across regions by integrating the energy consumption prediction model with the DC database. By applying this process to ICEVs, BEVs, and PHEVs, the energy consumption reduction benefits of promoting these vehicles can be scientifically compared. To demonstrate the usability of this framework, this study was corroborated using Tianjin and Xining as representative city examples. Tianjin, a plain city, has an average elevation of 3.5 m, with plains covering 93% of the city and a car ownership rate of 296 vehicles per thousand people39. Xining, a plateau city, has an average elevation of 2261 m, characterized by rugged terrain, narrower and longer roads40, and a car ownership rate of 362 vehicles per thousand people41. The development and validation of this framework provide a unified method to quantify the energy consumption differences between vehicle types across regions. This aids policymakers in comprehending the advantages of energy consumption when promoting electric vehicles in various regions, thus facilitating the development of specialized electric vehicle promotion strategies tailored to specific areas.
Methods
Data collection
In order to verify the applicability and accuracy of the framework, the study collected real driving data from Tianjin and Xining, two cities with distinct geographical and traffic characteristics. Supplementary Fig. 1 illustrates the specific geographic locations of Xining and Tianjin. The data collected in this study consists of two parts: real-world driving data and energy consumption data. The driving data were collected from the Global Positioning System (GPS) equipped in each vehicle, with a sampling rate of 1 Hz. In total, data was collected from 35 vehicles, including 20 from Tianjin and 15 from Xining, amounting to approximately 200 h and covering a distance of over 5637 km. The collected data primarily includes information like latitude, longitude, elevation, and vehicle speed. Supplementary Figs. 2 and 3 illustrate the specific driving routes in Xining and Tianjin, respectively.
Regarding energy consumption data, they were gathered using the VAGCOM Diagnostic System (VCDS) at a sampling rate of 1 Hz. The data include kinematic information such as speed and acceleration, as well as energy consumption indicators like instantaneous fuel consumption, instantaneous electric current, and battery voltage. They were sourced from a total of six vehicles, three each from Tianjin and Xining. In each city, the vehicles consisted of one BEV, one PHEV, and one ICEV. The driving routes are illustrated in Supplementary Figs. 4 and 5. Despite variations in certain specifications, the vehicles are equipped with the same type of power system, ensuring consistency in energy consumption patterns. The detailed parameters of the vehicles have been listed in Table 1.
Build regional driving cycle database
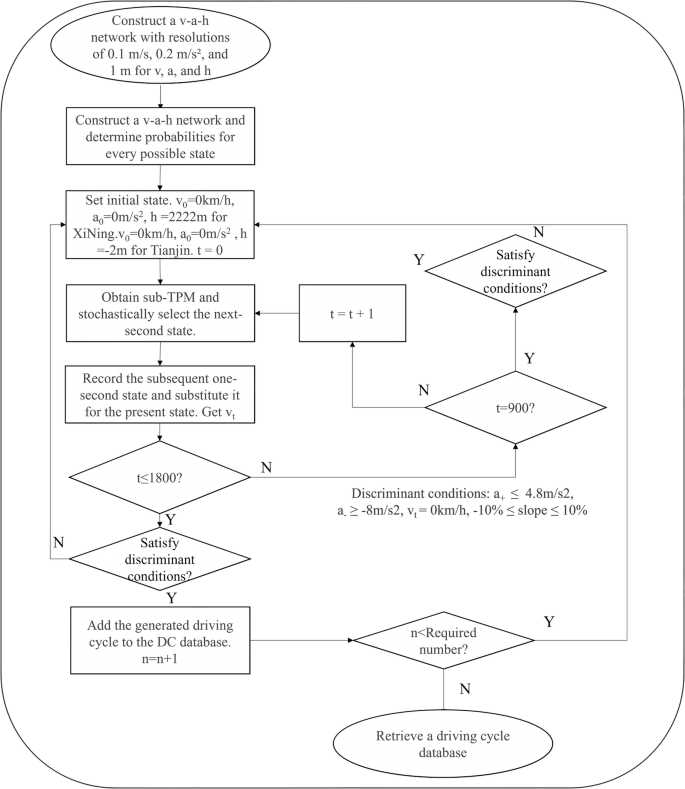
Due to the significant differences in terrain and driving characteristics between Xining and Tianjin, the study has chosen speed(v), acceleration (a), and elevation(h) as the input variables for the Markov chain. To mitigate potential bias in energy consumption estimation caused by the randomness of individual DCs, this paper constructed two DC databases for Tianjin and Xining. These databases effectively utilized the randomness of the Markov chain, significantly improving the utilization of driving data. While maintaining the randomness of individual conditions, they also ensured the stability and reliability of the final energy consumption results. The process for generating the DC database is as follows: (1) Discretize v, a, and h with resolutions of 0.1 m/s, 0.2 m/s², and 1 m, respectively. (2) Aggregate v, a, and h into a v-a-h network. For each specific v-a-h combination, calculate the frequency of transitioning to the next state. Use the maximum likelihood estimation method to estimate probabilities with frequencies, generating state transition matrix for each state. (3) Select a state with the longest vehicle idling time as the initial state (v0 = 0 km/h, a0 = 0 m/s², h0 = 2222 m for Xining; v0 = 0 km/h, a0 = 0 m/s², h0 = −2 m for Tianjin, where v0, a0, h0 represent the initial speed, acceleration, and elevation) and randomly choose the next state based on the state transition matrix. Continue this cycle, and at 900 s, check the maximum and minimum values of acceleration and slope. If amax ≤ 4.6 m/s², amin ≥ −8 m/s², slopemax < 10%, and slopemin > −10%, continue the calculation process until a 1800s DC is generated. Otherwise, stop the cycle to conserve computational resources. (4) If the following conditions are met: amax ≤ 4.6 m/s², amin ≥ −8 m/s², slopemax < 10%, slopemin > −10%, and the final speed is 0, then add the DC to the database. Repeat steps 2–4 until the database contains a specified number of DCs. Figure 1 details this process. It’s worth mentioning that due to the low precision of GPS data, instantaneous slopes are not directly calculated. Instead, a linear regression is performed on a 160 m running segment, and the regression slope is used as the slope, discarding cases where the slope is greater than 10% or less than −10%42.
The figure illustrates the complete process of constructing a driving cycle database based on a velocity-acceleration-elevation (v-a-h) network. First, the v-a-h network is established, and transition probabilities for all possible states are determined. An initial state is set, and subsequent states are stochastically selected using a sub-transition probability matrix (sub-TPM). The generated driving cycle is recorded and evaluated against predefined discriminant conditions. If the conditions are met, the cycle is added to the database. This process repeats until the required number of driving cycles is obtained, after which the final driving cycle database is retrieved.
The number of DCs in the DC database is determined based on the accumulative absolute error between the Speed-Acceleration-Height Frequency Distribution (SAHFD) of the DCs and real driving data (DiffSum). SAHFD reflects the driving and terrain characteristics of real driving data or DCs. The calculation method of SAHFD is as follows. Firstly, discretize v, a, and h with resolutions of 0.1 m/s, 0.2 m/s2, and 1 m respectively. Afterward, aggregate v-a-h and calculate the frequency corresponding to different states. The resulting three-dimensional matrix of frequency distribution is SAHFD. The difference between real driving data and DC database, termed DiffSum, is used to describe the disparity between the cycle and real driving data. The calculation formula is given by Eq. (1):
Where\(\,{\text{f}}_{{\text{DC}}\,{\text{database}}_{i,j,k}}\) represents the frequency corresponding to the state of the i-th layer, j-th column, and k-th row in the entire DC database, \({\text{f}}_{{\text{Driving}}\,{\text{data}}_{i,j,k}}\) represents the frequency corresponding to the state of the i-th layer, j-th column, and k-th row in the real driving data.
Increasing the number of DCs in the DC database can lead to a decrease in DiffSum. In other words, it makes the entire database closer to real driving data. However, this decreasing trend is not endless. When the number of DCs in the database reaches a certain point, further increasing the count leads to only a marginal decrease in DiffSum. The minimum number of DC database required to make DiffSum converge is selected as the number of DCs database. These DCs are then added to the database in the order of generation.
Energy consumption model construction
To enhance the precision of the model as much as possible, this article employs a data-driven machine learning approach to construct an energy consumption model. XGBoost, a gradient boosting tree algorithm proposed by Chen T et al.43, excels at adaptively learning non-linear relationships in data. It also employs regularization to avoid overfitting. The model inputs include 13 different features, such as vehicle speed (v), acceleration (a), Vehicle Specific Power (VSP), Relative Positive Acceleration10, vehicle jerk (J), average speed over the previous 5 s (avg.v), speed variance over the previous 5 s (var.v), average acceleration over the previous 5 s (avg.a), acceleration variance over the previous 5 s (var.a), elevation (H), the sum of elevation over the previous 5 s (sum.h), slope (s), and change of slope(Δs).
VSP (kw/ton), introduced in 1998 by Jimenez et al.44 considers variations in kinetic and potential energy, along with the energy expended against friction and air resistance during the operation of a vehicle. Although the VSP formula includes parameters calibrated based on the authors’ experiments, XGBOOST can still identify key features related to the target variable in the data, enabling accurate predictions under different driving conditions. The VSP formula is given by Eq. (2):
where VSP is the Vehicle Specific Power, v is instantaneous driving speed (m/s), a is instantaneous acceleration (m/s²), and θ is the angle between the road surface and the horizontal plane.
RPA, representing the vehicle’s driving dynamics (m/s²), is a time-averaged measure of the specific power, normalized by average driving speed. It indicates the intensity of driving. The formula for RPA is given by Eq. (3):
where T is a specific moment (T ≥ 5), vi is the speed at moment i (m/s), and ai+ is the positive acceleration at moment i (m/s²). When T ≤ 5, both speed and acceleration are essentially zero, so the RPA for the initial 5 seconds of each run is set to zero.
J, the vehicle jerk, reflects the bumpiness during driving and can be used to measure aggressive versus gentle driving. Aggressive driving may lead to higher energy consumption. The formula for J is given by Eq. (4):
where v is the vehicle’s instantaneous speed, and a is its acceleration.
Slope is the road gradient (%). Due to the inaccuracy of GPS devices in measuring elevation, the segments are first binned into 160 m distances. Then, linear regression is applied on the elevation and cumulative distance within each segment, and the regression slope is used as the gradient. The formula is as (5):
where slope is the estimated slope, X is the cumulative distance vector starting from 0, with a maximum not exceeding 160 m, and b is the intercept of the linear regression.
Other parameters such as avg.v, var.v, avg.a, var.a, sum.h, Δs, etc., can be found in Supplementary Table 1.
In addition to the model input parameters, additional parameters are required for the construction of energy consumption data, which are recorded by VCDS. For BEV, this includes battery voltage and intermediate circuit current. For ICEV, it’s fuel consumption. And for PHEV, it’s battery voltage, intermediate circuit current, and fuel consumption. The formulas are given by Eqs. (6), (7), and (8):
where PICEV (kWh/s), PBEV (kWh/s), PPHEV (kWh/s) are the instantaneous energy consumption of ICEV, BEV, PHEV, respectively. Ubi is the instantaneous battery voltage (V/s), Ibi is the instantaneous intermediate circuit current (A/s), Δt(s) is the time interval, and Cf is the unit conversion factor from J/s to kWh/s, which is 1/3600,000 in this study. FE is the fuel consumption coefficient, which for the 92-gasoline used in this experiment is 0.1161 (L/(kWh)).
Upon formulating the feature and target values, the energy consumption datasets for different vehicle types (BEV, ICEV, PHEV) in Tianjin and Xining are combined into three new datasets. Although the vehicles in each type are of different models and have slightly different energy consumption, they use the same powertrain. Considering this, before merging datasets, a special correction method was employed to process the energy consumption data of different vehicles. This method is based on the ratio of test values obtained under the WLTC test. For example, for ICEVs, the WLTC energy consumption test conducted in Xining revealed a value of 55.1 kWh/km, while in Tianjin, the corresponding result was 53.8 kWh/km, resulting in a ratio of 0.976. Consequently, the study adjusted the energy consumption data for Xining by multiplying it with 0.976. For PHEVs, the Xining data was multiplied by 0.988. For BEVs, the Tianjin data was multiplied by 0.979. This correction ensured data consistency and enhanced the accuracy of our analysis.
Three separate machine learning models were established for the three different types of vehicles. Each dataset was randomly divided into 70% training set and 30% test set. During the model training process, a 10-fold cross-validation method was used to evaluate the model’s performance. This method effectively utilizes limited data and enhances the reliability of the model’s generalization ability. Moreover, to optimize the model’s performance, a cross-grid search was conducted to find the best combination of model parameters within a predefined range. The specific range of hyperparameters is shown in Supplementary Table 2.
Model evaluation and coupled result analysis
To assess the predictive accuracy of the XGBOOST models, two metrics, Root Mean Square Error (RMSE) and Coefficient of Determination (R²), were employed for evaluating the three machine learning models. Their formulas are given by Eqs. (9) and (10):
where N is the total number of samples being evaluated, yn and \(\hat{{y}_{n}}\) represent the actual and predicted values for the nth sample, respectively. To demystify the prediction behavior of XGBOOST during the modeling process and break the “black box” nature of machine learning models, the Shapley Additive exPlanations (SHAP) method, based on Shapley values, is utilized. SHAP employs the concept of Shapley value from game theory to explain machine learning models by determining the overall contribution of each feature to the model’s prediction. Additionally, marginal contribution plots based on Shapley values can also delineate contributions of different features to energy consumption.
The methodology used for processing energy consumption data is also applied to handle the DC database, specifically in the calculation of the 13 feature values. Subsequently, the processed DC databases are coupled with different machine learning models to predict vehicle energy consumption. To better understand the influence of different features on the model outputs and thereby discern the differences in DC databases that lead to discrepancies in energy consumption, the SHAP method is also applied to interpret the outputs of the three distinct models. Overall, the framework can be summarized into four main parts: acquiring real data, constructing DC databases, building energy consumption models, and coupling energy consumption models with DC databases. Figure 2 illustrates the specific process of this framework.
The figure illustrates the complete process of the energy consumption framework. First, energy consumption data and driving data are collected. The driving data is fed into a three-dimensional Markov chain to establish a regional DC database. The energy consumption data is used to develop a machine learning model, which is interpreted using the SHAP model interpretation framework. Finally, the DC database and the machine learning model are coupled, and the SHAP framework is applied again to interpret the coupling results.
Results
Construction of the driving cycle databases
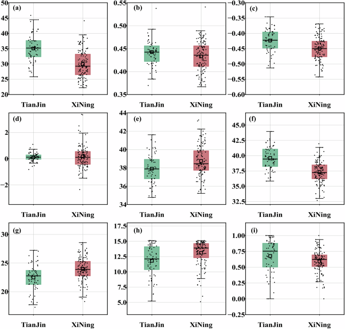
Based on the 3-D MARKOV method, DC databases for Tianjin and Xining were established. The DC database in Tianjin contains 60 DCs, and the DC database in Xining contains 115 DCs. Figure 3 illustrates partial DCs in the databases of Tianjin and Xining, along with the descent process of the databases’ DiffSum as the number of DCs in the database increases. Compared to a single DC, a DC database with elevation data better reflects regional differences in driving characteristics. Nine different metrics were employed to quantify differences between the Tianjin and Xining DC databases, including average speed, average acceleration, average deceleration, average slope, accelerated time ratio, deceleration time ratio, constant speed time ratio, idle time ratio and standardized elevation (Fig. 3). The calculation formulas are provided in Supplementary Table 3. To facilitate comparison of average elevations between Tianjin and Xining, elevation values for both cities were scaled to a 0–1 range using a min-max scaler.
a Tianjin’s DC database. b The trend of DiffSum variation in Tianjin. c Xining’s DC database. d The trend of DiffSum variation in Xining. Tianjin’s database converges in 60. Xining’s database converges in 115. In each DC, the horizontal axis represents time, totaling 1800 s. The vertical axis represents speed (km/h), and the color mapping represents elevation (m) Detailed DC databases for each region are depicted in Supplementary Figure 6.
Compared to Xining, Tianjin displays significantly higher average speed, smaller average deceleration, longer average deceleration time ratio, and shorter average idle and constant speed time ratio. Furthermore, while average slope is similar in both cities, Xining has a significantly higher slope variance, indicating more significant terrain variability. Additionally, all nine metrics fluctuated within a certain range with few outliers. Box plots demonstrated that the Markov chain method retains realistic driving characteristics while introducing randomness.
Statistical methods further confirmed the significance of these differences. Firstly, the distribution of 18 groups of data across nine metrics for Tianjin and Xining underwent a Shapiro-Wilk normality test. Results indicated that Tianjin’s average acceleration, standardized elevation, and Xining’s average slope and idle time ratio did not follow a Gaussian distribution. Then, a Levene’s test for homogeneity of variances was conducted between the two cities for the same metrics, revealing differences in variance for idle time ratio. Two-sample t-tests were conducted on groups that satisfied the conditions of homogeneity of variance and normal distribution, revealing significant differences among the groups. For the remaining groups, the Wilcoxon Rank-Sum test was employed, revealing a significant difference in idle time ratio between the two cities. Supplementary Table 4 provides a detailed overview of the results and their significance Fig. 4.
a Average Speed (km/h). b Average Acceleration (m/s²). c Average Deceleration (m/s²). d Average Slope (%). e Accelerated Time Ratio (%). f Deceleration Time Ratio (%). g Constant Speed Time Ratio (%). h Idle Time Ratio (%). i Standardized Elevation. Green represents Tianjin, red represents Xining, with the vertical axis of the squares indicating the corresponding means.
Construction and interpretation of the energy consumption model
Using XGBoost, energy consumption models for ICEV, BEV, and PHEV were constructed. The R2 values for these models on the test set were 0.83, 0.92, and 0.74, respectively, while the RMSE values were 0.0017, 0.0018, and 0.0036. High R2 and low RMSE on the test set indicate good generalization ability of the models. Figure 5 shows the models’ performance on training and test sets, with similar trends on both datasets suggesting no overfitting. The PHEV model had the lowest R2, possibly due to its complex powertrain structure. Yet, a coefficient of 0.74 is still higher than most conventional models, providing robust estimates for future predictions.
a The model performance for ICEV. ICEV model’s R² is 0.92, and the RMSE is 0.0018. b The model performance for BEV. BEV model’s R² is 0.83, and the RMSE is 0.0017. c The model performance for PHEV. PHEV model’s R² is 0.74, and the RMSE is 0.0036. The solid line represents a slope of 1, while the dashed lines represent ±RMSE. Red represents the points in the test set, while blue represents the points in the training set.
For machine learning models, particularly ‘black box’ models, overreliance on their outputs can lead to critical errors. These models may sometimes erroneously capture patterns inconsistent with reality, yielding seemingly accurate results. In order to ensure accuracy in subsequent coupling with the DC database and to better understand the internal mechanisms of the models, Shapley Additive exPlanations (SHAP) were introduced. Figure 6 displays the average absolute Shapley values based on the training set, indicating the importance of features in the model’s output. To further understand different features’ impact on energy consumption predictions, Shap marginal contribution plots were drawn. Figure 7 shows the marginal contribution of VSP, with other features’ contributions detailed in Supplementary Figs. 7–9. On these plots, the x-axis represents the actual feature values of samples, and the y-axis represents the contribution of these feature values to the model output at that point. The color mapping reflects the model’s predicted values for corresponding samples, with redder colors indicating higher energy consumption and bluer colors indicating lower consumption.
a ICEV’s mean absolute SHAP contribution. b BEV’s mean absolute SHAP contribution. c PHEV’s mean absolute SHAP contribution.
a The marginal contribution of VSP for ICEV. b The marginal contribution of VSP for BEV. c The marginal contribution of VSP for PHEV.
For ICEVs, VSP and acceleration (a) are key features. As a and VSP gradually increase from 0, their contribution to ICEV energy consumption noticeably increases, with corresponding real energy consumption also rising. However, as a and VSP decrease from 0, their impact on predicted energy consumption remains largely unchanged. In fact, when a and VSP are positive, they reflect the power demand during ICEV operation, with higher values indicating increased engine output power and energy consumption. During deceleration, the braking system operates independently of the engine, thus having minimal impact on energy consumption. Additionally, the impact of vehicle speed on energy consumption in the characteristics exhibits a trend of initially increasing and then decreasing, consistent with the pattern of the engine having an optimal efficiency range45.
For BEVs, VSP still holds the most crucial position, but the importance of other features changes significantly. Features like avg.v and speed see considerable increases in their contributions., while a and J see significant decreases. Moreover, features related to terrain, such as sum.h, H, and slope, gain considerable importance (indicated by a decrease in average absolute contribution). Specifically, as VSP decreases from zero, its contribution also decreases. The contribution of speed correlates positively with its value, while the contribution of avg.v inversely correlates with speed — higher avg.v values contribute less. This phenomenon is likely related to BEVs’ operational mode. Firstly, BEVs can recover energy during deceleration or downhill driving, thus responding better to changes in energy consumption and terrain across the entire speed range. In contrast, ICEVs primarily exhibit noticeable energy consumption changes during acceleration. Hence, in BEVs, speed and avg.v have a greater impact on energy consumption compared to ICEVs. Secondly, BEVs and ICEVs have different energy consumption strategies. Most of BEVs’ energy consumption is used to maintain speed, with less energy allocated for acceleration, making them less sensitive to changes in a and j. Unlike ICEVs, BEVs have a larger body weight and lower energy consumption, with changes in gravitational potential energy more directly reflected in energy consumption. Additionally, energy savings from downhill driving further enhance the impact of terrain on energy consumption. These factors are reflected in the increased importance of terrain-related features (sum.h, H, and slope).
For PHEVs, the importance of features other than VSP is relatively similar. Additionally, the importance of sum.h, H, and slope remains substantial. Unlike ICEVs and BEVs, the powertrain of PHEVs includes both an engine and an electric motor, and the energy consumption patterns of these two systems are different. During operation, changes in PHEV power demand usually coincide with changes in powertrain conditions, making it more challenging for the model to identify contributions from the vehicle’s motion state. Consequently, the importance of features that directly describe changes in the vehicle’s motion state, such as acceleration a and J, is significantly reduced, displaying a more uniform importance. Conversely, features that directly reflect the vehicle’s energy or changes directly related to it, such as VSP, sum.h, H, and slope, are more important. Moreover, PHEVs also have some characteristics of BEVs, such as heavier body weight and energy recovery capabilities, further enhancing the importance of sum.h, H, and slope.
Model coupling results and interpretation of model outputs
By integrating the DC databases from both cities with the energy models for ICEVs, BEVs, and PHEVs, box plots were plotted to illustrate the variations in energy consumption across different cities and vehicle types (Fig. 8). The precise findings were as follows: for Tianjin, ICEV consumed 0.554 kWh/km, BEV 0.123 kWh/km, and PHEV 0.463 kWh/km; for Xining, ICEV consumed 0.534 kWh/km, BEV 0.138 kWh/km, and PHEV 0.401 kWh/km (represented by the medians of the box plots).
The black scatter points represent the energy consumption predictions for each DC, while the box plot represents the overall distribution of these predictions.
Supplementary Table 5 presents the 95% confidence intervals for these estimates for both Tianjin and Xining. It was evident that using the same vehicle type in different cities resulted in significant energy consumption differences. Compared to Xining, the energy consumption of Tianjin ICEV was higher by 3.7%, PHEV by 11.3%, and BEV lower by 10.9%. In Tianjin, PHEV energy consumption was 83.6% of ICEV, and BEV consumption was 26.5% of PHEV and 22.2% of ICEV. In Xining, PHEV consumption was 76.4% of ICEV, and BEV consumption was 33.8% of PHEV and 25.8% of ICEV. In summary, promoting PHEVs and BEVs demonstrates energy consumption advantages in both cities. In Tianjin, the energy consumption benefits for promoting BEVs surpass those in Xining; meanwhile, in Xining, promoting PHEVs shows higher energy consumption benefits compared to Tianjin.
To identify the sources of energy consumption differences among different vehicle types in each database, a typical DC was selected from each of the Tianjin and Xining databases. Energy consumption curves for the three vehicle types and the changes in a, v, J, and slope over time were plotted (Fig. 9). Generally, the vehicle types exhibited similar characteristics in terms of energy consumption peaks and lows. High speeds and accelerations led to energy consumption peaks. Conversely, during deceleration, ICEVs showed lower energy consumption, while BEVs and PHEVs demonstrated negative energy consumption, indicating energy recovery. Specifically, ICEVs exhibited higher peak values and did earlier compared to the other two types. Both BEVs and PHEVs could recover energy, but BEVs recovered more. The lower energy conversion efficiency of internal combustion engines primarily causes higher instantaneous energy consumption. Additionally, during acceleration, a rapid increase in torque is often needed within a short time. Electric motors can provide maximum torque instantly upon starting, whereas the torque increase in internal combustion engines is linear. To rapidly increase torque, internal combustion engines inject more fuel to increase speed, resulting in higher and earlier peaks. Compared to BEVs, PHEVs’ less efficient drivetrain results in relatively higher energy consumption, and their smaller electric motors mean less energy recovery; this leads to greater instantaneous and total energy consumption.
a Velocity. b Acceleration. c Jerk. d Slope. e ICEV Energy Consumption. f Energy Consumption. g Energy Consumption.
To identify the specific features responsible for the differences in model outputs between the two cities, the Shapley method was applied to analyze the output of the three models in both cities, with Supplementary Fig. 10 showing the average absolute contributions. The energy consumption of Tianjin’s ICEVs is close to Xining’s. Two factors synergistically contributed to this outcome. On the one hand, there is a certain disparity in the positive VSP between Tianjin and Xining, with mean values of 5.20 kW/ton and 4.21 kW/ton, respectively. On the other hand, the different terrains of the two cities also have varying impacts on the fuel consumption of ICEVs. Compared to Tianjin, Xining has higher contributions in terms of H, sum.h, and slope, which to some extent, increase the fuel consumption of internal combustion vehicles in Xining. Overall, the influence of terrain is slightly less than that of VSP, resulting in slightly higher energy consumption in Tianjin compared to Xining. Similarly, for PHEVs, variables describing terrain features showed higher importance in the output for Xining than for Tianjin, yet this difference was less than the impact caused by VSP, avg.a, and speed. The final energy consumption results showed Tianjin has higher consumption than Xining. However, for BEVs, energy consumption in Xining was actually higher than in Tianjin. Although Tianjin’s higher average speed had a negative effect on BEV energy consumption, Tianjin’s more frequent and severe deceleration behaviors were more conducive to energy recovery in BEVs, resulting in lower overall energy consumption. Additionally, Xining’s greater slopes had a more significant impact on the heavier BEVs, increasing their energy consumption and further widening the energy consumption gap between the two cities.
Discussion
In this section, we provide a review of the methods used in this study. The Markov Chain method was selected to extract driving and elevation features for different regions. This method is computationally efficient, simple yet effective, and can handle three-dimensional input data. In this study, besides speed and acceleration, elevation data is also incorporated. This makes the method particularly suitable for characterizing driving and terrain features across different regions, and for comparing terrain differences. Furthermore, unlike traditional two-dimensional speed-time driving cycle curves, the driving cycle database in this study is a three-dimensional curve that includes elevation, speed, and time. Therefore, a longer duration is required to adequately capture the driving characteristics of a region, and the complexity of information varies by region, necessitating different sample sizes.
XGBoost was chosen for training the machine learning models. This method offers low training costs and has a strong research foundation, particularly in the context of PHEV energy consumption modeling. Additionally, the SHAP model was used to explain the behavior of the machine learning models within the proposed framework. This approach is computationally efficient, cost-effective, and allows for a macro-level understanding of the impact of a specific variable on model performance. It also supports various models, meaning that in the future, smaller computational models could be used in large-scale implementations while still coupling with the current framework.
The study innovatively proposes an energy consumption evaluation framework that can unify the energy consumption evaluation scales between different vehicle types, thereby quantifying the feasibility of promoting electric vehicles in different regions. The framework standardizes the energy consumption evaluation scales across different vehicle types, addressing the current inconsistencies in vehicle evaluation standards and scales across regions. Its excellent generalizability allows for seamless adaptation and expansion to various regions, enabling precise energy consumption assessments for vehicles.
Using the established regional DC databases and instantaneous energy consumption models, the levels of EVs energy consumption in Tianjin and Xining were quantified. Compared to Xining, the energy consumption of Tianjin ICEV was higher by 3.7%, PHEV by 11.3%, and BEV lower by 10.9%. In Tianjin, PHEV energy consumption was 83.6% of ICEV, and BEV consumption was 26.5% of PHEV and 22.2% of ICEV. In Xining, PHEV consumption was 76.4% of ICEV, and BEV consumption was 33.8% of PHEV and 25.8% of ICEV. Nowadays, electrification has gradually become one of the main policies for vehicle energy saving and emission reduction. Our framework is universal and can be directly used to evaluate the energy consumption benefits when promoting electric vehicles in new regions. By collecting relevant data and using the approach based on Markov chain databases and high-precision prediction models, robust regional energy consumption benefits can be provided, thereby offering a scientific basis for policymakers when formulating related policies. Our research shows that the electrification of transportation plays an important role in reducing urban air pollution and alleviating road traffic energy demand. Promoting different vehicle types in different regions will also yield different energy benefits.
However, we recommend that the method used in this study should only be applied in cases where the extraction of elevation information is necessary. If elevation is not a relevant factor, the 3D Markov Chain method employed in this study may not be required, and alternative modeling methods could be used to better suit different scenarios. Besides, the current framework still has certain issues that need to be improved in future research: (1) The variety of models chosen within each vehicle type is limited, and it does not encompass vehicles with diverse engine models. The current study only selected a few representative vehicles and cannot cover all vehicle types and engine models available in the market. Different vehicle models and engine types may have significantly different energy consumption characteristics, and the existing model cannot fully represent this diversity. Using a generalized energy consumption model may smooth out the differences between different models. Future research should consider including a wider range of vehicle models and engine data to explore the performance of more models in different regions. Additionally, how to address the impact of different engine models on the model output results (the fusion of datasets with different patterns may lead to data mixing, thereby affecting the accuracy of the model output results) requires further study. (2) The number of DCs in the DC database needs mathematical proof. In this study, the convergence of DiffSum was indeed observed; however, the exact number of DC entries in the operating condition database required for convergence, as well as the manner of convergence, needs to be rigorously proven mathematically. The lack of a clear mathematical proof may lead to a shallow understanding of the model’s convergence behavior, potentially affecting its stability and applicability in real-world scenarios. If the number of DC entries in the operating condition database varies significantly, it may impact the reliability and consistency of the model results. Future research should delve deeper into the theoretical conditions for DiffSum convergence, particularly the relationship between the number of DCs and convergence, and provide a mathematical proof. Furthermore, experiments or simulations could be considered to explore the impact of varying the number of DCs on model convergence and result stability. How to better save computational resources while ensuring the robustness of results is an important issue to be resolved in the future.
Data Availability
No datasets were generated or analysed during the current study.
Code availability
The code used in the analysis was developed in Python version 3.8.2 and is not publicly available for legal/ethical reasons. However, it can be made available upon reasonable request from the corresponding author.
References
Jia, Z. et al. Regional vehicle energy consumption evaluation framework to quantify the benefits of vehicle electrification in plateau city: A case study of Xining, China. Appl. Energy 377, 124626 (2025).
IEA. Global electric car stock, https://www.iea.org/data-and-statistics/charts/global-electric-car-stock-2010-2022 (2010-2022).
IEA. World Energy Outlook 2022, https://www.iea.org/reports/world-energy-outlook-2022 (2022).
Requia, W. J., Mohamed, M., Higgins, C. D., Arain, A. & Ferguson, M. How clean are electric vehicles? Evidence-based review of the effects of electric mobility on air pollutants, greenhouse gas emissions and human health. Atmos. Environ. 185, 64–77 (2018).
Hu, X., Chen, N., Wu, N. & Yin, B. The potential impacts of electric vehicles on urban air quality in Shanghai City. Sustainability 13, 496 (2021).
Yu, A., Wei, Y., Chen, W., Peng, N. & Peng, L. Life cycle environmental impacts and carbon emissions: A case study of electric and gasoline vehicles in China. Transp. Res. Part D Transp. Environ. 65, 409–420 (2018).
Guo, X., Sun, Y. & Ren, D. Life cycle carbon emission and cost-effectiveness analysis of electric vehicles in China. Energy Sustain. Dev. 72, 1–10 (2023).
Buberger, J. et al. Total CO2-equivalent life-cycle emissions from commercially available passenger cars. Renew. Sustain. Energy Rev. 159, 112158 (2022).
Buekers, J., Van Holderbeke, M., Bierkens, J. & Int Panis, L. Health and environmental benefits related to electric vehicle introduction in EU countries. Transp. Res. Part D: Transp. Environ. 33, 26–38 (2014).
Tobollik, M. et al. Health impact assessment of transport policies in Rotterdam: Decrease of total traffic and increase of electric car use. Environ. Res. 146, 350–358 (2016).
Liu, Y. et al. Development of China light-duty vehicle test cycle. Int. J. Automot. Technol. 21, 1233–1246 (2020).
Yu, L., Zhi-xin, W. & Meng-liang, L. Development of China Light-duty Passenger Car Test Cycle. J. Transp. Syst. Eng. Inf. Technol. 20, 233 (2020).
Tutuianu, M. et al. Development of the World-wide harmonized Light duty Test Cycle (WLTC) and a possible pathway for its introduction in the European legislation. Transp. Res. Part D: Transp. Environ. 40, 61–75 (2015).
Nyberg, P., Frisk, E. & Nielsen, L. Driving cycle equivalence and transformation. IEEE Trans. Vehicular Technol. 66, 1963–1974 (2016).
Mafi, S. et al. Developing local driving cycle for accurate vehicular CO2 monitoring: a case study of Tehran. J. Clean. Prod. 336, 130176 (2022).
Wang, H., Zhang, X. & Ouyang, M. Energy consumption of electric vehicles based on real-world driving patterns: a case study of Beijing. Appl. energy 157, 710–719 (2015).
Travesset-Baro, O., Rosas-Casals, M. & Jover, E. Transport energy consumption in mountainous roads. A comparative case study for internal combustion engines and electric vehicles in Andorra. Transp. Res. Part D:Transp. Environ. 34, 16–26 (2015).
Al-Wreikat, Y., Serrano, C. & Sodré, J. R. Driving behaviour and trip condition effects on the energy consumption of an electric vehicle under real-world driving. Appl. Energy 297, 117096 (2021).
Yang, D., Liu, H., Li, M. & Xu, H. Data-driven analysis of battery electric vehicle energy consumption under real-world temperature conditions. J. Energy Storage 72, 108590 (2023).
Hao, X., Wang, H., Lin, Z. & Ouyang, M. Seasonal effects on electric vehicle energy consumption and driving range: a case study on personal, taxi, and ridesharing vehicles. J. Clean. Prod. 249, 119403 (2020).
Zou, Y., Wei, S., Sun, F., Hu, X. & Shiao, Y. Large-scale deployment of electric taxis in Beijing: A real-world analysis. Energy 100, 25–39 (2016).
Wu, X., Freese, D., Cabrera, A. & Kitch, W. A. Electric vehicles’ energy consumption measurement and estimation. Transp. Res. Part D Transp. Environ. 34, 52–67 (2015).
Jia, Z. et al. Energy saving and emission reduction effects from the application of green light optimized speed advisory on plug-in hybrid vehicle. J. Clean. Prod. 412, 137452 (2023).
Lin, J. & Niemeier, D. A. An exploratory analysis comparing a stochastic driving cycle to California’s regulatory cycle. Atmos. Environ. 36, 5759–5770 (2002).
Kamble, S. H., Mathew, T. V. & Sharma, G. K. Development of real-world driving cycle: Case study of Pune, India. Transp. Res. Part D Transp. Environ. 14, 132–140 (2009).
Mayakuntla, S. K. & Verma, A. A novel methodology for construction of driving cycles for Indian cities. Transp. Res. Part D Transp. Environ. 65, 725–735 (2018).
Yuhui, P., Yuan, Z. & Huibao, Y. Development of a representative driving cycle for urban buses based on the K-means cluster method. Clust. Comput. 22, 6871–6880 (2019).
Tao, S., Ding, K., Li, Z. & Zhang, H. Development of a representative driving cycle for evaluating exhaust emission and fuel consumption for Chinese switcher locomotives. Appl. Energy 322, 119499 (2022).
Sisodia, D., Singh, L., Sisodia, S. & Saxena, K. Clustering techniques: a brief survey of different clustering algorithms. Int. J. Latest Trends Eng. Technol. 1, 82–87 (2012).
Peng, J., Pan, D. & He, H. In 2015 International Conference on Intelligent Systems Research and Mechatronics Engineering. 1491–1497 (Atlantis Press).
Qin, S., Qiu, D. & Zhou, J. Driving cycle construction and accuracy analysis based on combined clustering technique. Automot. Eng. 34, 164–169 (2012).
Wei, N. et al. Standard environmental evaluation framework reveals environmental benefits of green light optimized speed advisory: a case study on plug-in hybrid electric vehicles. J. Clean. Prod. 404, 136937 (2023).
Gong, H. et al. Generation of a driving cycle for battery electric vehicles: a case study of Beijing. Energy 150, 901–912 (2018).
Zhao, X., Ye, Y., Ma, J., Shi, P. & Chen, H. Construction of electric vehicle driving cycle for studying electric vehicle energy consumption and equivalent emissions. Environ. Sci. Pollut. Res. 27, 37395–37409 (2020).
Jing, Z., Wang, G., Zhang, S. & Qiu, C. Building Tianjin driving cycle based on linear discriminant analysis. Transp. Res. Part D Transp. Environ. 53, 78–87 (2017).
Brady, J. & O’Mahony, M. Development of a driving cycle to evaluate the energy economy of electric vehicles in urban areas. Appl. Energy 177, 165–178 (2016).
Wang, T., Jing, Z., Zhang, S. & Qiu, C. Utilizing principal component analysis and hierarchical clustering to develop driving cycles: a case study in Zhenjiang. Sustainability 15, 4845 (2023).
Ho, C. S. et al. Optical properties of vehicular brown carbon emissions: road tunnel and chassis dynamometer tests. Environ. Pollut. 320, 121037 (2023).
Statistics, T. M. B. O. Statistical Bulletin on the National Economic and Social Development of Tianjin Municipality in 2020, https://stats.tj.gov.cn/tjsj_52032/tjgb/202103/t20210317_5386752.html (2021).
Prieto-Curiel, R., Patino, J. E. & Anderson, B. Scaling of the morphology of African cities. Proc. Natl. Acad. Sci. USA 120, e2214254120 (2023).
Province, T. p. s. G. o. Q. Xining City’s motor vehicle ownership is approaching the one-million mark, with nearly one out of every three individuals possessing a motor vehicle and a corresponding driver’s license., http://www.qinghai.gov.cn/zwgk/system/2023/10/12/030027217.shtml (2023).
Boroujeni Behdad, Y., Frey, H. C. & Sandhu Gurdas, S. Road Grade Measurement Using In-Vehicle, Stand-Alone GPS with Barometric Altimeter. J. Transp. Eng. 139, 605–611 (2013).
Chen, T. & Guestrin, C. XGBoost: a scalable tree boosting system. In Proc. 22nd ACM SIGKDD International Conference on Knowledge Discovery and Data Mining 785–794 (ACM, 2016).
Jimenez-Palacios, J.L. Understanding and Quantifying Motor Vehicle Emissions with Vehicle Specific Power and TILDAS Remote Sensing (Ph.D. Thesis). (Massachusetts Institute of Technology, 1999).
Bao, F. B. Research on calculation method of fuel consumption rate base on engine universal characteristics. Adv. Mater. Res. 239, 1490–1494 (2011).
Acknowledgements
This work was supported by the National Key Research and Development Program of China (2023YFC3705405, 2024YFE0112100), the National Natural Science Foundation of China (42107114, 42177084) and the Fundamental Research Funds for the Central Universities of China (63241318, 63241322).
Author information
Authors and Affiliations
Contributions
Zeping Cao and Zhenyu Jia contributed equally to this work. Zhenyu Jia: Writing – review & editing, Writing – original draft, Visualization, Validation, Supervision, Software, Resources, Project administration, Methodology, Investigation, Formal analysis, Data curation, Conceptualization. Zeping Cao: Writing – review & editing, Writing – original draft, Visualization, Validation, Supervision, Software, Resources, Project administration, Methodology, Investigation, Formal analysis, Data curation, Conceptualization. Jiawei Yin: Project administration, Formal analysis. Lin Wu: Investigation, Formal analysis. Ning Wei: Methodology. Yanjie Zhang: Formal analysis. Zhiwen Jiang: Software.Qijun Zhang: Writing – review & editing. Hongjun Mao: Supervision, Resources, Methodology.
Corresponding authors
Ethics declarations
Competing interests
The authors declare no competing interests.
Additional information
Publisher’s note Springer Nature remains neutral with regard to jurisdictional claims in published maps and institutional affiliations.
Supplementary information
Rights and permissions
Open Access This article is licensed under a Creative Commons Attribution-NonCommercial-NoDerivatives 4.0 International License, which permits any non-commercial use, sharing, distribution and reproduction in any medium or format, as long as you give appropriate credit to the original author(s) and the source, provide a link to the Creative Commons licence, and indicate if you modified the licensed material. You do not have permission under this licence to share adapted material derived from this article or parts of it. The images or other third party material in this article are included in the article’s Creative Commons licence, unless indicated otherwise in a credit line to the material. If material is not included in the article’s Creative Commons licence and your intended use is not permitted by statutory regulation or exceeds the permitted use, you will need to obtain permission directly from the copyright holder. To view a copy of this licence, visit http://creativecommons.org/licenses/by-nc-nd/4.0/.
About this article
Cite this article
Jia, Z., Cao, Z., Yin, J. et al. A transferable vehicle energy consumption evaluation framework for quantifying vehicle electrification energy benefits. npj. Sustain. Mobil. Transp. 2, 21 (2025). https://doi.org/10.1038/s44333-025-00040-w
Received:
Accepted:
Published:
Version of record:
DOI: https://doi.org/10.1038/s44333-025-00040-w











