Abstract
Weak antilocalization (WAL) and linear magnetoresistance (LMR) are two most commonly observed magnetoresistance (MR) phenomena in topological insulators (TIs) and often attributed to the Dirac topological surface states (TSS). However, ambiguities exist because these phenomena could also come from bulk states (often carrying significant conduction in many TIs) and are observable even in non-TI materials. Here, we demonstrate back-gated ambipolar TI field-effect transistors in (Bi0.04Sb0.96)2Te3 thin films grown by molecular beam epitaxy on SrTiO3(111), exhibiting a large carrier density tunability (by nearly 2 orders of magnitude) and a metal-insulator transition in the bulk (allowing switching off the bulk conduction). Tuning the Fermi level from bulk band to TSS strongly enhances both the WAL (increasing the number of quantum coherent channels from one to peak around two) and LMR (increasing its slope by up to 10 times). The SS-enhanced LMR is accompanied by a strongly nonlinear Hall effect, suggesting important roles of charge inhomogeneity (and a related classical LMR), although existing models of LMR cannot capture all aspects of our data. Our systematic gate and temperature dependent magnetotransport studies provide deeper insights into the nature of both MR phenomena and reveal differences between bulk and TSS transport in TI related materials.
Similar content being viewed by others
Introduction
Topological insulators (TIs) are an exotic state of quantum matter with nominally-insulating bulk and spin-momentum-locked Dirac fermion conducting surface states, promising potential applications in both nanoelectronics and spintronics1,2,3. Many interesting phenomena based on such topological surface states (TSS) have been proposed, such as Majorana fermions4,5, exciton condensation6, topological magnetoelectric effect7, etc. Bi2Se3, Bi2Te3 and Sb2Te3 have been proposed and identified as prototype 3D TIs, possessing TSS with a linear dispersion of energy vs momentum in the bulk band gap (BBG)8,9,10,11 However, most of these commonly studied TI materials inevitably have impurities or defects during their growth, resulting in a doped bulk which can account for a significant part of the conductance, making it difficult to study and utilize the novel electronic transport of the TSS. To access the surface transport properties of the 3D TIs, various strategies have been attempted to suppress the bulk conduction, for example by (compensation) doping, increasing the surface-to-volume ratio, or electric gating. A ternary compound (Bi1-xSbx)2Te3, an alloyed mixture of Bi2Te3 and Sb2Te3, has been shown as a promising group of 3D TIs with excellent tunability of the electronic properties by varying the composition x12,13. Recently, the quantum anomalous Hall effect14 has been successfully observed in Cr doped (BixSb1-x)2Te3, adding further interests to examine the underlying electronic transport properties of this ternary TI system.
Most transport studies of TIs have focused on magnetotransport15, particularly magnetoresistance (MR). In a few experiments, Shubnikov–de Haas oscillations11,16,17,18 with π Berry phase were observed and used as direct transport evidence for TSS Dirac fermions. However, the majority of TIs do not show such quantum oscillations because of disorder or inhomogeneity. Instead two other MR features have been commonly used in a large number of experiments to probe the transport signature of TSS: the weak antilocalization (WAL) at low magnetic (B) field19,20,21,22,23,24,25,26,27,28,29 and linear MR (LMR)30,31,32,33,34 at high B. However, given the parallel conducting surface and bulk channels often existing in TIs, ambiguities can arise when attributing WAL and LMR to TSS, as both phenomena could also arise from bulk states and have even been observed in many non-TI-based spin-orbit-coupled or narrow-gap semiconductors35,36. For example, it is often difficult to exactly determine the roles of TSS in earlier WAL studies in TIs with metallic bulk conduction, where the reported WAL from only one coherent channel likely reflects the strongly mixed contributions from bulk and surfaces coupled together19,24,25,26,27. More recent experiments utilizing gate tuning of the surface-bulk coupling and the number of phase coherent channels in Bi2Se3 thin films21,22 have pointed out a possibility to extract the transport signatures of the TSS through careful analysis. Despite these progresses, most experiments so far still dealt with significant bulk conduction and did not reach or clearly demonstrate the so-called “topological transport” regime, where bulk is truly insulating and surface dominates the conduction. In addition to the ambiguities associated with WAL, the nature of LMR13,30,31,32,33,34,36,37,38,39,40,41 itself has also been debated (with both classical38,39 and quantum models40,41) since its observation in silver chalcogenides and other narrow gap semiconductors36,37. The recent observations of LMR in TIs30,31,32,33,34 have been often interpreted in the framework of the quantum LMR30,32 due to the gapless energy spectrum of TSS, although it is not fully clear if the quantum model40,41 applies without a clean separation of bulk and TSS. A better understanding of the nature of LMR will benefit its many proposed applications in areas such as spintronics or magnetoelectric sensors32.
In this work, we perform a systematic transport study of (Bi0.04Sb0.96)2Te3 TI thin films (10 nm) grown by molecular beam epitaxy (MBE) on SrTiO3 (STO)(111) substrates (250 µm, Figs. 1a,b). Using STO (with its very high relative dielectric constant εr at low temperature) as a back gate, we demonstrate a large tunability of the carrier density (n, by nearly 2 orders of magnitude) and Fermi level (Ef) in our film, exhibiting an ambipolar field-effect (FE). This allows us to realize a gate-tuned metal-to-insulator transition in the bulk of our sample, thus tuning the transport from the bulk-dominated regime (where the Ef is in the bulk valence band, BVB) to the topological transport regime (where Ef is in the TSS) with surface-dominated conduction at low temperature. We also systematically map out the gate and temperature dependent WAL and LMR (along with Hall measurements), revealing differences between the bulk and TSS transport regimes and providing more insights on the nature of such MR phenomena.
(Bi0.04Sb0.96)2Te3 field effect device and its temperature and gate dependent transport.
(a) Schematic of MBE-grown (Bi0.04Sb0.96)2Te3 thin films (thickness = 10 nm) on SrTiO3 (STO, thickness = 250 µm, used as back gate); (b) Optical image of a fabricated Hall bar shaped device; (c) Temperature-dependent Rxx (left axis, with corresponding Rxx per square, R□, plotted on the right axis) curves at various different Vg. All the curves are measured at zero magnetic field (B) and during the cooling process. The upper and lower insets show the schematic band structure with different Fermi level (Ef) positions for Vg = 130 V and −60 V, respectively; (d) Rxx (left axis, with corresponding R□, plotted on the right axis) as a function of gate voltage (Vg) for different Vg sweeping histories (all measured at B = 0 T). The arrows label the Vg sweeping directions. The symbols (boxes with crosses inside) label the resistances extracted from (c) for each Vg at 1.4 K; (e) Rxx and Rxy as functions of Vg at B = −6 T and T = 1.4 K. The unshaded (shaded) areas mark the Vg ranges with p (n) type dominant carriers.
Results
Bulk metal-insulator transition and ambipolar field effect
The temperature dependence of the zero B field longitudinal resistance (Rxx vs T) measured at different gate voltages Vg are presented in Fig. 1c. The STO substrate, with its very high εr at low T13,42, gives a strong gate modulation to the sample's n. By increasing Vg, Ef can be tuned from the BVB to BBG (intercepting TSS, insets of Fig. 1c). For Vg = −60 V, where Ef is in the BVB, the corresponding Rxx decreases with decreasing T and saturates at low T, demonstrating a characteristic metallic bulk conduction. The temperature below which Rxx appears to saturate moves to a smaller value at Vg = −10 V, suggesting weakened metallic behavior. Further increasing Vg to −5 V, Rxx shows a clear upturn below ~30 K, indicating the appearance of an insulting behavior (attributed to freezing-out of thermally excited bulk carriers) in the film. Such a bulk insulating behavior can be significantly enhanced by further lifting Ef into the BBG (Vg = 0 V) and eventually, for Vg> 10 V the bulk insulating behavior onsets at a T as high as ~100 K, with Rxx approximately saturating with very weak T-dependence for T < 30 K. The bulk insulating behavior observed in Vg = 0 V is consistent with the ARPES observation of Ef located in the BBG in as-grown films12. The nearly saturated Rxx (terminating the insulating behavior) for Vg > 10 V indicates a remnant conduction that can be attributed to the TSS in the BBG11,16,17,18,43,44 dominating the charge transport at low T (see Fig. S1). Our observations demonstrate a striking transition from the metallic to insulating behavior in the bulk of such films, driven by Ef (tuned by Vg). This transition can also be regarded as that from a “topological metal” to a “topological insulator” and is foundational to our study to clarify the relative roles played by the bulk and TSS in MR features.
Fig. 1d shows the FE behavior measured at B = 0 T and T = 1.4 K. All the curves of Rxx vs Vg show ambipolar FE. For example, Rxx of curve “1” is weakly modulated by the gate as Vg < −20 V, but increases significantly and reaches a peak of ~12 kΩ when Vg is increased to ~12 V (the charge neutral point (CNP), VCNP, showing an on-off ratio of 600%) before decreasing again upon further increasing Vg. Furthermore, an appreciable hysteresis in Rxx vs Vg depending on the Vg sweeping history and direction is observed. This hysteresis is common for STO due to its nonlinear dielectric response close to ferroelectricity42 and may also relate to the interface charge traps (defects) between STO and TI film. Here, curve “1” (where VCNP ~ 12 V) represents the first Vg sweep from −60 V to 60 V after initial cooling down to 1.4 K. The corresponding Rxx in curve “1” is consistent with the Rxx values (shown as boxes with crosses in Fig. 1d) at each Vg extracted from Fig. 1c at 1.4 K. However, VCNP is shifted to 50 V (curve “2”) and 43 V (curve “3”) as Vg sweeps backward (from 60 V to −60 V) and forward again, respectively. Repeating the Vg sweeps from 60 V to −60 V (or −60 V to 60 V), the FE curve will stabilize and follow the curve “2” (or “3”), respectively. All the data presented later are taken after this stabilization and in a forward sweeping direction to minimize this hysteresis effect (also because of this hysteresis, one should not directly compare the Vg's in the following data with those in Fig. 1c, instead Vg-VCNP or low-T resistance values are better indicators of the sample state). The ambipolar FE in Fig. 1d suggests a sign change of dominant charge carrier from p-type to n-type as Vg crosses VCNP, confirmed by the corresponding gate-dependent Hall resistance Rxy (exhibiting a sign change) and Rxx measured at B = −6 T as shown in Fig. 1e. We note that the charge carriers are holes at Vg = 0 V, also consistent with the ARPES-measured Ef position in as-grown films12. We point out that the measured VCNP should be understood as an average global CNP for the whole sample, as the local CNP (Dirac point, DP, of the surface band) position in energy may differ between the top and bottom surfaces (as exemplified in Fig. 1c inset) and also further have spatial fluctuations (leading to electron and hole puddles). Such charge inhomogeneity (common in TI45 as well as in graphene46,47) can easily make the minimum sheet conductance (2D conductivity) observed near the global CNP (~6 e2/h combining both surfaces in our sample, Fig. 1d) notably higher than the theoretically expected minimum conductivity of Dirac fermions45,46,47.
Gate and temperature dependent magnetoresistance, Hall effect, carrier density and mobility
Figure 2 shows the gate-dependent ΔRxx and the corresponding Rxy (plotted as functions of B) at various temperatures (see also Fig. S2). Here, we define ΔRxx(B) = Rxx(B)-Rxx(B = 0 T). In Fig. 2(a), all curves of ΔRxx(B) obtained at different Vg at T = 1.4 K show a gate-dependent cusp at |B| < 1.5 T, a clear signature of the WAL. The amplitude of the cusp can be significantly enhanced by varying Vg from −60 V to 60 V to tune Ef from BVB to TSS and reaches a maximum at CNP. Another interesting observation is the LMR observed at higher B field in ΔRxx(B), which is also strongly enhanced by gating towards TSS and will be discussed in detail later. Meanwhile, the corresponding Rxy vs B also shows a strong gate dependence (lower panel of Fig. 2a) with two main observations with increasing Vg: 1) the slope of Rxy vs B initially increases and is followed by a drop as well as a sign change while Vg crosses the CNP, a direct manifestation of the sign change of charge carriers; 2) the corresponding shape of Rxy vs B changes from linear to non-linear, suggesting a change from one-band to two (or multiple) band transport (due to coexisting surface and bulk channels of opposite carriers, and/or electron and hole puddles). The ΔRxx and Rxy also show significant temperature dependences as shown in Figs. 2b–f. As T increases from 1.4 K, the WAL cusp gradually weakens and finally disappears at ~25 K, where the LMR becomes prominent and starts from very low B (<~0.2 T) for most of Vg's (Figs. 2c and S3). Further increasing T (>~40 K), ΔRxx(B) becomes parabolic at low B (<2 T), which becomes increasingly evident at further elevated T as shown in Figs. 2d–f, with LMR still clearly observable at higher B (>2 T). The ambipolar (sign change of slope) and nonlinearity (near CNP) behaviors observed in Rxy also become increasingly evident with increasing T up to ~25 K (Figs. 2a–c). However, for T > 40 K, the Rxy vs B is always linear and has no sign change (Figs. 2d–f), indicating one-band behavior with p-type carriers. We note that the gate becomes less effective as εr of STO becomes significantly reduced42,48 at elevated T (see also Fig. S4), rendering the ambipolar FE no longer achievable. Our results map out a systematic evolution of both Rxx(B, Vg, T) and Rxy(B, Vg, T), demonstrating the transport properties in such system are highly dependent on Ef (modulated by gating) and the temperature.
Magnetoresistance (ΔRxx= Rxx(B)-Rxx(B = 0T)) and Hall resistance Rxy vs B for different Vg at various temperatures.
(a) T = 1.4 K; (b) T = 15 K; (c) T = 25 K; (d) T = 40 K; (e) T = 70 K; (f) T = 200 K.
Further studies of the field and Hall effects as well as n and mobility are presented in Fig. 3. Figs. 3a,b show the temperature dependences of Rxx vs Vg (at B = 0 T) and Rxy vs Vg (at B = −6 T), respectively. Consistent with Fig. 2, for T up to ~25 K, we see again the ambipolar FE (Fig. 3a) while VCNP increases from 45 V (at 1.4 K) to 80 V (at 25 K), related to the decreased εr of STO substrate mentioned above42. The corresponding Rxy (Fig. 3b) also demonstrates the ambipolar behavior up to ~25 K, where Rxy (initially negative) decreases with increasing Vg, followed by an upturn and sign change as Vg crosses CNP. For T > 40 K, both Rxx and |Rxy| monotonously and weakly increase as Vg increases with no indication of ambipolar behavior. We extract n and Hall mobility (µ) from Rxy and Rxx (in Fig. 2) using the one-band model at different Vg and T in the regime of p-type carriers (mostly from BVB, see below) where a linear Rxy vs B is observed and plot the results in Figs. 3c,d. The carrier (holes) density (np) is ~1.8 × 1014 cm−2 at Vg = −60 V & T = 1.4 K. As Vg increases and approaches CNP, np decreases approximately linearly. The similar trend is also observed at higher T's up to 25 K, while the slope of np vs Vg decreases significantly with T > 25 K. An effective capacitance (C) per unit area of STO can be calculated from the slope and C decreases from ~290 nF/cm2 (εr ~ 82000) at 1.4 K down to ~5.3 nF/cm2 (εr ~ 1500) at 200 K (see Fig. S4), consistent with previously observed strongly T-dependent dielectric behavior of STO42,48. We also note that np at Vg = 0 V (Fig. 3c) decreases with increasing T. This is attributed to thermal excitation of n-type carriers and confirms that the increased VCNP at higher T (in Fig. 3a) is mainly due to the decreased STO capacitance. The temperature and gate-dependent µ is shown in Fig. 3d. The mobility at 1.4 K increases with increasing Vg from ~50 cm2/Vs at Vg = −60 V to ~140 cm2/Vs at Vg = 30 V. The similar behavior is observed up to 40 K, while for T > 70 K, µ becomes ~110 cm2/Vs and largely Vg independent. The inset of Fig. 3d shows a summary of µ (in log scale) vs np for all measured T's, where the data appear to collapse together and can be fitted to
with n0 = 6 × 1015 cm−2, µ0 = 133.4 cm2/Vs, suggesting that µ is mainly controlled by n but not T (up to ~200 K) in our system. The measured density-dependent mobility may provide valuable input for understanding carrier transport and scattering mechanism in TIs49,50,51,52, important for developing TI-based devices. In the case where Rxy is nonlinear with B (seen in Fig. 2) due to multiple conduction channels and coexisting holes and electrons, the one-band model will not yield accurate n (in Fig. S5, n calculated from such one-band fits starts to deviate from linear Vg-dependence close to CNP). While a multiple-band model11,17,43,53 can in principle be applied to fit the non-linear Rxy, we found however, such an analysis does not give unique fitting results (yielding significant uncertainties) in our case. Applying one-band model fitting (Fig. S5) for our data measured at T = 1.4 K, the lowest carrier (electron) density |n| achieved in our sample is ~5.5 × 1012 cm−2 (an overestimate for the actual density) at Vg = 60 V (where Rxy is n-type and only slightly non-linear). This value is smaller than the estimated maximum electron density (>1.2 × 1013 cm−2, see Fig. S5 caption for more details) that can be accommodated in the TSS before populating BCB, demonstrating that Ef is already located in the upper part (above DP) of the TSS at Vg = 60 V, T = 1.4 K. This also demonstrates that we can reach a regime where the charge carriers are mostly from the TSS and band bending near the surface is not significant to populate the bulk carriers (otherwise such a low n will not be reached). The corresponding n vs Vg at low T (Fig. S5) demonstrates that we have successfully tuned Ef from the BVB, to the lower and the upper parts of TSS (through DP), as the Vg is increased from −60 V to 60 V.
Field effect and gate-dependent carrier density (np) and mobility (µ) at various temperatures.
Temperature dependences of (a) longitudinal resistance Rxx vs Vg measured at B = 0 T and (b) Hall resistance Rxy vs Vg measured at B = −6 T; (c) The carrier (hole) density np and; (d) mobility µ extracted using a 1-band model from Fig. 2 at gate voltages where a linear Hall effect is observed. Inset is µ (in log scale) vs np at different temperatures. Dashed line is an exponential fit (
) to all data points with n = 6 × 1015 cm−2, µ0 = 133.4 cm2/Vs.
Gate and temperature dependent WAL and its enhancement near CNP with two decoupled coherent surfaces
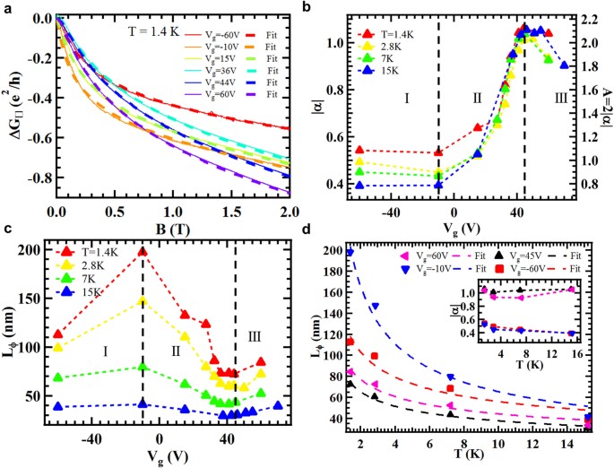
Now we present the gate and temperature effects on the WAL, which is a manifestation of quantum coherent transport in the low-B MR and observed in our sample below 15 K. Figure 4a shows the sheet conductance correction ΔG□(B) = G□(B)-G□(B = 0T) vs B at various Vg's measured at 1.4 K, where G□= (L/W)/Rxx with W and L being the width and length of the channel (between voltage probes) respectively. While both the bulk and TSS of TI possess strong spin-orbit coupling and can give rise to WAL, we have observed that WAL is significantly enhanced as Ef is tuned into the BBG to suppress the bulk conduction and decouple the top and bottom surfaces. The Hikami-Larkin-Nagaoka (HLN)54equation (1) has been widely applied to analyze ΔG□(B) due to WAL:

where α is a prefactor expected to be -1/2 for a single coherent channel, ψ is the digamma function and
is a characteristic field (with
, the phase coherence length and τϕ phase-coherence time, D the diffusion constant). It is found22 that even with parallel conducting channels (such as bulk and surfaces), the total ΔG□ may still be fitted using Eq. (1) in terms of an effective α that reflects the inter-channel coupling (with A = 2|α| representing the effective number of coherent channels). Our data in Fig. 4a agrees well (up to 2 T) with the HLN fittings (see Fig. S6). The extracted values of |α| (α < 0) and Lϕ at various Vg's and temperatures are shown in Figs. 4b–c, respectively. We find that |α| is strongly gate-tunable and exhibits an “ambipolar” behavior (peaks ~ 1 at CNP) for all T's where WAL is observed, revealing three regimes of behavior as the number of coherent channels and degree of inter-channel coupling are tuned by the gate: (I) Vg < −10 V, where Ef is in the BVB, |α| ~ 0.5 indicates the surface and bulk are fully coupled into one coherent conduction channel (A ~ 1); (II) As Vg is increased (−10 V < Vg < +45 V) to lift Ef toward the BBG (TSS), |α| (and A) increases, indicating the top and bottom surfaces start to decouple from the bulk and each other, toward forming two channels; when Vg reaches ~45 V, where the Ef is close to CNP, |α| reaches a maximum ~1 = |−(1/2 + 1/2)|) with A ~ 2, corresponding to two fully separated phase coherent channels (surrounding the bottom and top surfaces); (III) Further increasing Vg > 45 V to increase the Ef above the CNP in TSS and towards BCB, |α| starts to decrease from 1, indicating the top and bottom surfaces start to be coupled again. Our analysis also suggests that care must be taken when attributing WAL to TSS (especially for α ~ −0.5)19,24,25,26,27 in a TI material with both bulk and surface conduction. In addition, we find that the phase coherent length Lϕ also shows interesting gate dependence (Fig. 4c). In regime I, in contrast to the weak gate dependence of |α|, Lϕ at low T (1.4 and 2.8 K) notably increases with increasing Vg and peaks at Vg = −10 V. Between regimes II and III, Lϕ reaches a local minimum when Vg is near CNP, where |α| reaches a peak.
Gate and temperature dependent weak antilocalization (WAL) effect.
(a) Gate dependence of sheet conductance (ΔG□= G□(B)-G□(B = 0T)) at 1.4 K for various Vg's. The dashed curves are fits to the data using the HLN model (Eq. 1); Gate dependent (b) prefactor |α| = −α (A = 2|α|, right axis, is the number of coherent conducting channels) and (c) phase coherence length Lφ extracted from Eq. (1) at various temperatures; (d) Temperature dependence of Lφ and (inset) |α| measured at four representative Vg = 60 V, 45 V, −10 V and −60 V. Dashed lines in the main panel (for Lφ) are power law fittings (see text).
Figs. 4b–c also demonstrate the temperature dependence of |α| and Lϕ in different regimes of Vg. We see that in regimes II and III, |α| is relatively insensitive to T. In regime I, |α| moderately decreases below 0.5 with increasing T when the TSS is coupled to the bulk at Vg = −60 V and −10 V, similar to the behavior previously found in samples with bulk-dominated conduction and explained as the suppression of WAL at high T22. Fig. 4d shows the temperature dependences of Lϕ at 4 representative Vg's. Previous studies have commonly fitted Lϕ(T) to a power-law, with the expectation that electron-electron scattering would give Lϕ proportional to T−0.5 (or T−0.75) in a 2D (or 3D) system44,55,56. In Fig. 4d, such power-law fittings give Lϕ proportional to T−0.38, T−0.57, T−0.34 and T−0.34 for Vg = −60 V, −10 V, +45 V and +60 V. We note that the fitted power-law T-dependences of Lϕ in previous experiments range from T−0.24 (Ref. 57), T−0.5 (Refs. 44, 58) to T−0.75 (Ref. 22) for different TI thin films and ~T−0.37 (Refs. 59, 60) or T−0.5 (Refs. 61, 62) for TI nanowires, suggesting that the observed power-law can depend on detailed material or electronic properties, possibly related to other dephasing processes (not just electron-electron scattering), therefore a gate-dependence as we see may not be unexpected. In our case, only at Vg = −10 V (where Lϕ is also the largest, Fig. 4c) we observe Lϕ ~ T−0.5, close to the predicted behavior of electron dephasing due to electron-electron scattering in 2D. However, strong deviation from this behavior is observed for other Vg's, where Lϕ is also shorter (for Vg = −60 V, Lϕ ~ T−0.38, where only one coupled 2D conduction channel exists; for Vg = 45 V, where there are 2 decoupled conduction channels and 60 V, both giving Lϕ ~ T−0.34), suggesting existence of additional dephasing processes at these Vg's (such processes may be related to other carrier pockets in the valence band for Vg = −60 V; and electron-hole puddles near CNP for Vg = 45 and 60 V).
Gate and temperature tunable LMR and its enhancement near CNP
We now discuss the pronounced LMR observed. In contrast to the standard quadratic MR41, the observed LMR does not seem to saturate in high fields. Figs. 5a–d show the temperature-dependent LMR and corresponding Rxy at two representative Vg's. The LMR (at 6 T) in terms of relative MR (ΔRxx(B)/Rxx(B = 0T)) varies from a few percent to ~30% depending on Vg and T. We note the high-B (>2T) MR to be slightly sub-linear (super-linear) for T < 25 K (T > 25 K) with the 25 K MR being closest to strictly linear (Figs. 5a,c and Fig. 2). Figure 5e shows the slope (k) of LMR (extracted between 3 T and 6 T) vs Vg at different temperatures. When Ef is in BVB (Vg < 0 V), k has very little T-dependence and weakly increases with increasing Vg, whereas k is dramatically enhanced (by as much as 10 times and becomes much more T-dependent) and approaches a maximum near CNP as Ef is tuned into BBG (TSS) at low T. Such an observation is confirmed by the temperature dependence of k at five Vg's plotted in Fig. 5f. For Vg = −60 V and −10 V, where Ef's are located in the BVB, k has little temperature dependence in the measured T range. As Ef is tuned into the BBG (TSS), k dramatically increases with the decreasing T and reaches the highest value near CNP at T = 1.4 K. Interestingly, as plotted in the inset of Fig. 5f, we find that k vs np (in log-log scale, only including data points with one-band np for holes as those included in Fig. 3c) at different temperatures follow a similar trend with k approximately proportional to np−1 (except for the data at 200 K), suggesting that the carrier density is important to control k, which is significantly enhanced as Ef approaches TSS (see Fig. S8). We note that, at a fixed np, k shows little T dependence up to 25 K, while k notably decreases with increasing T for T > 25 K (Fig. S8). In the n-type regime (close to CNP), the large LMR is accompanied by prominent nonlinearity in Rxy (Fig. 5d and Fig. 2c). This observation suggests that charge inhomogeneity may play an important role in the enhanced LMR, as discussed further below.
Gate and temperature tunable linear magnetoresistance (LMR).
The LMR, ΔRxx/Rxx(B = 0T) and the corresponding Rxy as functions of magnetic field B at (a,b) Vg = −60 V and (c,d) Vg = 60 V measured at various temperatures (ranging from 1.4 K to 200 K), respectively; (e) The gate voltage dependence of the extracted LMR slope (k, extracted between 3 T and 6 T) at different temperatures; (f) The LMR slope (k) vs T for different gate voltages. Inset shows k vs np (in log-log scale) at different temperatures for np values shown in Fig. 3c (one band p-type carriers). Gray band indicates a power law with exponent −1 (k ~ np−1). The data for T = 200 K can be fitted by ~np−2.
Discussion
Further understanding of gate-tuned WAL
Our gate tunable WAL can also be understood22 in terms of a competition between the phase coherence time (τφ, which does not vary strongly with the Vg, Fig. S7) and the surface-to-bulk scattering time22 (τSB, which decreases with increasing n63), where the effective |α| generally increases with increasing τSB/τφ22 as Vg is tuned towards CNP. When the Ef is in the BVB, τφ (~hundreds of ps, Fig. S7) is much larger than τSB (≪1ps63), resulting in a single phase coherent channel. As Ef is tuned into the TSS, τSB significantly increases due to the reduced n and bulk conduction and ultimately can become larger than τφ, realizing two-decoupled channels. The weak increase of |α| at higher T in regimes II and III seen in the inset of Fig. 4d may be attributed to a decrease in τφ/τSB, which increases the inter-channel decoupling, given that both Lϕ and τφ ~
decreases as T increases (Fig. S7) while the τSB should be relatively constant as both R and n (Figs. 1c & 3c) change little up to ~15 K. However, in regime I, |α| moderately decreases below 0.5 at higher T, where τSB is expected to be much shorter than τφ in the measured temperature range22. Such a decrease of |α| below 0.5 in presence of strong bulk conduction has been attributed to WAL getting suppressed when τφ decreases and becomes comparable to the spin-orbit scattering time τSO at higher T22.
Understanding LMR
There have been two common models proposed for the LMR, the classical model by Parish-Littlewood (PL)38,39 and the quantum model by Abrikosov40,41. According to the quantum model40,41, a LMR would occur at the quantum limit where the applied magnetic field is so large that only one40,41 or few36 Landau levels (LLs) are populated. This condition is more easily satisfied in a gapless semiconductor with linear energy-momentum dispersion40,41. The theory also predicts that ΔRxx (magnitude of LMR) is proportional to 1/n2 and has no direct dependence on T (as long as T remains lower than the energy gap between LLs and the Ef). More recently, another model by Wang & Lei, based on the TSS and assuming uniform n, relaxes the requirement of extreme quantum limit (instead assuming many LLs are filled and smeared by disorder) and predicts a LMR with ΔRxx ∝ 1/n64. On the other hand, Parish and Littlewood proposed a classical mechanism for the LMR, as a consequence of potential and mobility fluctuations in an inhomogeneous electronic system, resulting in admixture of Hall resistance into Rxx on a microscopic level and a LMR38,39. The classical model predicts that the relative MR = ΔRxx/Rxx(B = 0T) (thus slope k) should be proportional to a mobility scale µS = max(|µ|,|Δµ|), where µ is mobility and Δµ is the mobility fluctuation and the cross over field BC (the magnetic field at which the MR curve changes from parabolic to linear) is proportional to 1/µS. The previously reported LMR in TIs have been often interpreted in terms of the quantum model40,41 based on the linear dispersion of the TSS30,32. However, the studies reported so far have not systematically measured the dependence of LMR on n, µ and T, while such information is important to unambiguously identify and distinguish different mechanisms for LMR as discussed above. It also remains unclear whether bulk and surface carriers may contribute differently to LMR. We find that none of the existing models can fully explain our observed LMR. For example, in the p-type one-band carrier regime (inset of Fig. 5f), where Ef is in the BVB (because the lowest np (1.7 × 1013 cm−2) extracted here is higher than the estimated maximum hole density (1.2 × 1013 cm−2) that can be accommodated in the TSS before populating BVB), we are far from the extreme quantum limit (with LMR observable at very high LL filling factor, eg. >8,000) assumed in Abrikosov's quantum model and the assumptions of linear band dispersion or TSS as invoked by Abrikosov41 or used in Wang-Lei model also do not apply. We have plotted the LMR amplitude (by δRxx= Rxx(6T)-Rxx(3T), focusing on the B > 3T regime where LMR is fully developed) vs np (Fig. S9) and found it cannot be fitted to a single power-law (either 1/np2 (Abrikosov) or 1/np (Wang-Lei)) over this density range, but rather appears to cross over from a ~1/np behavior for np > 4 × 1013 cm−2 to ~1/np2 behavior for np < 4 × 1013 cm−2 (except for the data at 200K). As Ef is tuned into the TSS or CNP, the LMR is enhanced and shows strong T-dependence (see Figs. 5e,f and S9a,b), while concurrently Rxy(B) becomes strongly non-linear (Fig. 5d, also Fig. 2c) and exhibits a sign-change (carrier type inversion), indicating charge inhomogeneity (such as coexisting electron and hole puddles) is significant in this ambipolar regime. This is at odds with the T-independent LMR predicted in both Abrikosov's quantum model and the Wang-Lei model (which also assumes uniformly distributed charge carriers), but instead suggests that charge inhomegeity (as highlighted in the classical mechanism) may play important roles in the LMR. To address the question whether the classical model can describe our observed LMR (in both BVB and TSS regimes), it is important to examine the correlation between k, BC and µ (Figs. S10–S12). In the BVB regime (where p-type carrier µ can be extracted from one-band model), we find that k appears to be approximately proportional to µ (consistent with PL model prediction if µs ~ µ) up to µ ~ 100 cm2/Vs, but becomes poorly correlated with µ for higher µ (Fig. S10). Fig. S11 shows BC as a function of µ, which is qualitatively (BC generally lower for larger µ) but not quantitatively consistent with the PL model (predicting 1/BC to be proportional to µ, if µs ~ µ). Furthermore, we note that PL model should predict 1/BC to be proportional to k (even without direct knowledge of µs, which could depend on Δµ). We have examined the correlation between 1/BC and k (Fig. S12) and find that while such a proportionality may hold approximately at relatively high T (>40K), it does not hold for the full data set (including the 25K data, where LMR is particularly pronounced). In any case, our systematic data have revealed the following important points: 1) TSS can strongly enhance the LMR; 2) the charge inhomogeneity also plays important roles in the observed LMR, whose behaviors appear to be qualitatively captured by the classical model but several aspects are still not quantitatively accounted for. A more complete model likely needs to take into account both the full band structure (bulk and TSS) and inhomogeneity in order to fully explain the observed LMR. Our systematic results on the density, mobility and temperature dependences of LMR (Figs. 5 and S8–12) can provide important insights for understanding the mechanisms of LMR and key inputs to develop a more complete model.
Methods
Material synthesis
The high quality (Bi0.04Sb0.96)2Te3 (10 nm-thick) thin films studied here are grown by MBE on heat-treated 250µm-thick insulating STO (111) substrates12. The schematic of the sample is shown in Fig. 1a. Previous ARPES measurements have demonstrated that the TSS exists in the BBG and the Ef is located below the Dirac point, indicating a p-type doping in the as-grown films12.
Device fabrication and transport measurements
The representative device structures are defined by standard e-beam lithography (EBL), followed by dry etching using Ar plasma. The Hall bar electrodes of the devices are fabricated by another EBL process followed by e-beam deposition of Cr/Au (5/80 nm). A Cr/Au (5/100 nm) film is e-beam deposited on the back of the STO substrate working as a back gate. Transport properties are measured by the conventional four-probe lock-in technique with an AC driving current of 100 nA at 17.77 Hz. In a typical device (shown in Fig 1b), the driving current is applied between electrodes “1,4” and the longitudinal resistance Rxx and Hall resistance Rxy are measured between electrodes “5,6” and “3,5”, respectively. All the measurements are carried out in a variable temperature (T, from 1.4 K to 230 K) cryostat with a magnetic field B (perpendicular to the film) up to ±6 T.
References
Hasan, M. Z. & Kane, C. L. Colloquium: topological insulators. Rev. Mod. Phys. 82, 3045–3067 (2010).
Qi, X.-L. & Zhang, S.-C. Topological insulators and superconductors. Rev. Mod. Phys. 83, 1057–1110 (2011).
Yazyev, O. V., Moore, J. E. & Louie, S. G. Spin polarization and transport of surface states in the topological insulators Bi2Se3 and Bi2Te3 from first principles. Phys. Rev. Lett. 105, 266806 (2010).
Fu, L. & Kane, C. L. Superconducting proximity effect and Majorana fermions at the surface of a topological insulator. Phys. Rev. Lett. 100, 096407 (2008).
Linder, J., Tanaka, Y., Yokoyama, T., Sudbø, A. & Nagaosa, N. Unconventional superconductivity on a topological insulator. Phys. Rev. Lett., 104, 067001 (2010).
Seradjeh, B., Moore, J. E. & Franz, M. Exciton condensation and charge fractionalization in a topological insulator film. Phys. Rev. Lett. 103, 066402 (2009).
Qi, X.-L., Hughes, T. L. & Zhang, S.-C. Topological field theory of time-reversal invariant insulators. Phys. Rev. B. 78, 195424 (2008).
Zhang, H. et al. Topological insulators in Bi2Se3, Bi2Te3 and Sb2Te3 with a single Dirac cone on the surface. Nat. Phys. 5, 438–442 (2009).
Xia, Y. et al. Observation of a large-gap topological-insulator class with a single Dirac cone on the surface. Nat. Phys. 5, 398–402 (2009).
Chechelsky, J. G. et al. Quantum interference in macroscopic crystals of nonmetallic Bi2Se3 . Phys. Rev. Lett. 103, 246601 (2009).
Qu, D.-X., Hor, Y. S., Xiong, J., Cava, R. J. & Ong, N. P. Quantum oscillations and Hall anomaly of surface states in the topological insulator Bi2Te3 . Science 329, 821–824 (2010).
Zhang, J. et al. Band structure engineering in (Bi1−xSbx)2Te3 ternary topological insulators. Nat. Commun. 2, 574 (2011).
He, X. et al. Highly tunable electron transport in epitaxial topological insulator (Bi1-xSbx)2Te3 thin films. Appl. Phys. Lett. 101, 123111 (2012).
Chang, C.-Z. et al. Experimental observation of the quantum anomalous Hall effect in a magnetic topological insulator. Science 340, 167–170 (2013).
Veldhorst, M. et al. Magnetotransport and induced superconductivity in Bi based three-dimensional topological insulators. Phys. Status Solidi RRL 7, 26–38 (2013).
Taskin, A. A. et al. Observation of Dirac holes and electrons in a topological insulators. Phys. Rev. Lett. 107, 016801 (2011).
Ren, Z., Tashin, A. A., Sasaki, S., Segawa, K. & Ando, Y. Large bulk resistivity and surface quantum oscillations in the topological insulator Bi2Te2Se. Phys. Rev. B 82, 241306 (2010).
Xiong, J. et al. Quantum oscillations in a topological insulator Bi2Te2Se with large bulk resistivity (6 Ωcm). Physica E 44, 917–920 (2012).
Chen, J. et al. Gate-voltage control of chemical potential and weak antilocalization in Bi2Se3 . Phys. Rev. Lett. 105, 176602 (2010).
Zhang, G. et al. Growth of topological insulator Bi2Se3 thin films on SrTiO3 with large tunability in chemical potential. Adv. Funct. Mater. 21, 2351–2355 (2011).
Chen, J. et al. Tunable surface conductivity in Bi2Se3 revealed in diffusive electron transport. Phys. Rev. B 83, 241304 (2011).
Steinberg, H., Laloe, J. B., Fatemi, V., Moodera, J. S. & Jarillo-Herrero, P. Electrically tunable surface-to-bulk coherent coupling in topological insulator thin films. Phys. Rev. B 84, 233101 (2011).
Checkelsky, J. G., Hor, Y. S., Cava, R. J. & Ong, N. P. Bulk band gap and surface state conduction observed in voltage-tuned crystals of the topological insulator Bi2Se3 . Phys. Rev. Lett. 106, 196801 (2011).
Kim, Y. S. et al. Thickness-dependent bulk properties and weak antilocalization effect in topological insulator Bi2Se3 . Phys. Rev. B 84, 073109 (2011).
Liu, M. et al. Electron interaction-driven insulating ground state in Bi2Se3 topological insulators in the two-dimensional limit. Phys. Rev. B 83, 165440 (2011).
He, H.-T. et al. Impurity effect on weak antilocalization in the topological insulator Bi2Te3 . Phys. Rev. Lett. 106, 166805 (2011).
Wang, J. et al. Evidence for electron-electron interaction in topological insulator thin films. Phys. Rev. B 83, 245438 (2011).
Taskin, A. A., Sasaki, S., Segawa, K. & Ando, Y. Manifestation of topological protection in transport properties of epitaxial Bi2Se3 thin films. Phys. Rev. Lett. 109, 066803 (2012).
Kim, D., Syers, P., Butch, N. P., Paglione, J. & Fuhrer, M. S. Coherent topological transport on the surface of Bi2Se3 . Nat. Commun. 4, 2040 (2013).
Tang, H., Liang, D., Qiu, R. L. J. & Gao, X. P. A. Two-dimensional transport-induced linear magneto-resistance in topological insulator Bi2Se3 nanoribbons. ACS Nano 5, 7510–7516 (2011).
Gao, B. F., Gehring, P., Burghard, M. & Kern, K. Gate-controlled linear magnetoresistance in thin Bi2Se3 sheets. Appl. Phys. Lett. 100, 212402 (2012).
Wang, X., Du, Y., Dou, S. & Zhang, C. Room temperature giant and linear magnetoresistance in topological insulator Bi2Te3 nanosheets. Phys. Rev. Lett. 108, 266806 (2012).
He, H. et al. High-field linear magneto-resistance in topological insulator Bi2Se3 thin films. Appl. Phys. Lett. 100, 032105 (2012).
Zhang, S. X. et al. Magneto-resistance up to 60 tesla in topological insulator Bi2Te3 thin films. Appl. Phys. Lett. 101, 202403 (2012).
Dresselhaus, P. D., Papavassiliou, C. M. A. & Wheeler, R. G. Observation of spin precession in GaAs inversion layers using antilocalization. Phys. Rev. Lett. 68, 106–109 (1992).
Hu, J. S. & Rosenbaum, T. F. Classical and quantum routes to linear magnetoresistance. Nat. Mater. 7, 697–700 (2008).
Xu, R. et al. Large magnetoresistance in non-magnetic silver chalcogenides. Nature 390, 57–60 (1997).
Parish, M. M. & Littlewood, P. B. Non-saturating magnetoresistance in heavily disordered semiconductors. Nature, 426, 162–165 (2003).
Hu, J., Parish, M. M. & Rosebaum, T. F. Nonsaturating magnetoresistance of inhomogeneous conductors: comparison of experiment and simulation. Phys. Rev. B 75, 214203 (2007).
Abrikosov, A. A. Quantum magnetoresistance. Phys. Rev. B 58, 2788–2794 (1998).
Abrikosov, A. A. Quantum linear magnetoresistance. Europhys. Lett. 49, 789–793 (2000).
Gouto, N. J. G., Sacépé, B. & Morpurgo, A. F. Transport through Graphene on SrTiO3 . Phys. Rev. Lett. 107, 225501 (2011).
Yu, X. et al. Separation of top and bottom surface conduction in Bi2Te3 thin films. Nanotech. 24, 015705 (2013).
Cha, J. J. et al. Weak antilocalization in Bi2(SexTe1–x)3 nanoribbons and nanoplates. Nano Lett. 12, 1107–1111 (2012).
Kim, D. et al. Surface conduction of topological Dirac electrons in bulk insulating Bi2Se3 . Nat. Phys. 8, 459–463 (2012).
Martin, J. et al. Observation of electron–hole puddles in graphene using a scanning single-electron transistor. Nat. Phys. 4, 144–148 (2008).
Blake, P. et al. Influence of metal contacts and charge inhomogeneity on transport properties of graphene near the neutrality point. Solid State Commun. 149, 1068–1071 (2009).
Muller, K. A. & Burkard, H. SrTiO3: An intrinsic quantum paraelectric below 4 K. Phys. Rev. B 19, 3593–3602 (1979).
Culcer, D., Hwang, E. H., Stanescu, T. D. & Das Sarma, S. Two-dimensional surface charge transport in topological insulators. Phys. Rev. B 82, 155457 (2010).
Li, Q., Rossi, E. & Das Sarma, S. Two-dimensional electronic transport on the surface of three-dimensional topological insulators. Phys. Rev. B 86, 235443 (2012).
Adam, S., Hwang, E. H. & Das Sarma, S. Two-dimensional transport and screening in topological insulator surface states. Phys. Rev. B 85, 235413 (2012).
Giraud, S., Kundu, A. & Egger, R. Electron-phonon scattering in topological insulator thin films. Phys. Rev. B 85, 035441 (2012).
He, L. et al. Surface-dominated conduction in a 6 nm thick Bi2Se3 Thin Film. Nano. Lett. 12, 1486–1490 (2012).
Hikami, S., Larkin, A. I. & Nagaoka, Y. Spin-Orbit interaction and magnetoresistance in the two dimensional random system. Prog. Theor. Phys. 63, 707–710 (1980).
Assaf, B. A. et al. Linear magnetoresistance in topological insulator thin films: quantum phase coherence effects at high temperatures. Appl. Phys. Lett. 102, 012102 (2013).
Altshuler, B. L. & Aronov, A. G. Electron-electron interaction in disordered systems. Vol. 10, (Elsevier, New York, 1985).
Chiu, S.-P. & Lin, J.-J. Weak antilocalization in topological insulator Bi2Te3 microflakes. Phys. Rev. B 87, 035122 (2013).
Takagaki, Y., Giussani, A., Perumal, K., Calarco, R. & Friedland, K.-J. Robust topological surface states in Sb2Te3 layers as seen from the weak antilocalization effect. Phys. Rev. B 86, 125137 (2012).
Matsuo, S. et al. Weak antilocalization and conductance fluctuation in a submicrometer-sized wire of epitaxial Bi2Se3 . Phys. Rev. B 85, 075440 (2012).
Ning, W. et al. One-dimensional weak antilocalization in single-crystal Bi2Te3 nanowires. Sci. Rep. 3, 1564 (2013).
Hamdou, B., Gooth, J., Dorn, A., Pippe, E. & Nielsch, K. Aharonov-Bohm oscillations and weak antilocalization in topological insulator Sb2Te3 nanowires. Appl. Phys. Lett. 102, 223110 (2013).
Peng, H. et al. Aharonov–Bohm interference in topological insulator nanoribbons. Nat. Mater. 9, 225–229 (2010).
Park, S. R. et al. Quasiparticle scattering and the protected nature of the topological states in a parent topological insulator Bi2Se3 . Phys. Rev. B 81, 041405 (2010).
Wang, C. M. & Lei, X. L. Linear magnetoresistance on the topological surface. Phys. Rev. B 86, 035442 (2012).
Acknowledgements
The work at Purdue is supported by DARPA MESO program (Grant N66001-11-1-4107). The MBE synthesis of TI thin films is supported by NSF of China (Grants 11134008 and 11174343).
Author information
Authors and Affiliations
Contributions
C.Z.C. synthesized the TI films, with advice from K.H., X.C.M. and Q.K.X. J.T. fabricated the devices, performed transport measurements and analyzed the data with assistance from H.C. and advice from Y.P.C. J.T. and Y.P.C. wrote the paper, with discussions and comments from all authors.
Ethics declarations
Competing interests
The authors declare no competing financial interests.
Electronic supplementary material
Supplementary Information (download PDF )
Quantum and Classical Magnetoresistance in Ambipolar Topological Insulator Transistors with Gate-tunable Bulk and Surface Conduction
Rights and permissions
This work is licensed under a Creative Commons Attribution-NonCommercial-ShareAlike 3.0 Unported License. The images in this article are included in the article's Creative Commons license, unless indicated otherwise in the image credit; if the image is not included under the Creative Commons license, users will need to obtain permission from the license holder in order to reproduce the image. To view a copy of this license, visit http://creativecommons.org/licenses/by-nc-sa/3.0/
About this article
Cite this article
Tian, J., Chang, C., Cao, H. et al. Quantum and Classical Magnetoresistance in Ambipolar Topological Insulator Transistors with Gate-tunable Bulk and Surface Conduction. Sci Rep 4, 4859 (2014). https://doi.org/10.1038/srep04859
Received:
Accepted:
Published:
DOI: https://doi.org/10.1038/srep04859
This article is cited by
-
Signature of weak-antilocalization in sputtered topological insulator Bi2Se3 thin films with varying thickness
Scientific Reports (2022)
-
Comparative fermiology study of PbBi\(_2\)Te\(_4\) and SnBi\(_2\)Te\(_4\) 3D topological insulators
Journal of Materials Science: Materials in Electronics (2022)
-
Signature of topological states in antiferromagnetic Sm-substituted Bi2Te3
Scientific Reports (2020)
-
Enhanced linear magneto-resistance near the Dirac point in topological insulator Bi2(Te1−xSex)3 nanowires
Nano Research (2020)
-
Unusual Conductance Fluctuations and Quantum Oscillation in Mesoscopic Topological Insulator PbBi4Te7
Scientific Reports (2019)







