Abstract
The concept of p-channel InGaN/GaN heterostructure field effect transistor (FET) using a two-dimensional hole gas (2DHG) induced by polarization effect is demonstrated. The existence of 2DHG near the lower interface of InGaN/GaN heterostructure is verified by theoretical simulation and capacitance-voltage profiling. The metal-oxide-semiconductor FET (MOSFET) with Al2O3 gate dielectric shows a drain-source current density of 0.51 mA/mm at the gate voltage of −2 V and drain bias of −15 V, an ON/OFF ratio of two orders of magnitude and effective hole mobility of 10 cm2/Vs at room temperature. The normal operation of MOSFET without freeze-out at 8 K further proves that the p-channel behavior is originated from the polarization-induced 2DHG.
Similar content being viewed by others
Introduction
The conventional Si-based complementary logic integrated circuits (ICs) show the drawbacks of large leakage current and poor reliability in harsh environments1. Wide-bandgap semiconductor III-Nitrides provide a better choice for the logic ICs applications owing to their superior physical and chemical properties, such as the high breakdown voltage, high thermal stability, large saturation velocity and high carrier mobility at heterojunctions2,3. To achieve the complementary ICs, both n- and p-channel field effect transistors (FETs) with well-matched performance are necessary4. Recently, III-Nitrides n-channel heterojunction FETs using polarization-induced two-dimensional electron gas (2DEG) have already been extensively investigated with lower specific on-resistance and higher electron mobility compared with those of Si-based FETs5. On the other hand, little attention has been paid to p-channel FETs because of the difficulty in obtaining hole with high charge density and high mobility. The unbalanced development between n-channel and p-channel FETs makes the complementary ICs using III-Nitrides a great challenge, implying that the research on III-Nitrides p-channel FETs is in great demand.
According to the polarization theory, two-dimensional hole gas (2DHG) with high charge density and high mobility can be induced by negative polarization charge at the III-Nitrides heterointerface similarly to that for 2DEG6,7,8,9,10,11. The 2DHG and related p-channel FETs have been proposed in Al(Ga)N- and AlInGaN-based heterostructure12,13,14,15,16. Compared to the AlGaN system, InGaN offers a better route for the p-channel transistors in term of a much lower on-resistance because of its lower activation energy of Mg dopants and hole effective mass17,18. In addition, the adjustable compressive strain in InGaN increases the deformation of valence bands and splits the degeneracy between light hole and heavy hole bands19, which also enhances the hole mobility20. Moreover, InGaN presents higher piezoelectric polarization coefficient compared to its III-nitrides rivals, which is beneficial for the generation and accumulation of high density 2DHG in conducting channel21. It has been theoretically simulated that for the compressively strained InGaN layer on the relaxed GaN template, holes can be confined close to the lower interface as a result of the dominant piezoelectric polarization field22,23,24,25,26. However, it is still difficult to experimentally extract high-density 2DHG in the InGaN system. Therefore, although p-channel metal-semiconductor FET (MESFET) has been reported by using InGaN/GaN heterostructure, its performances such as leakage current, drain-source current density (0.01 mA/mm), ON/OFF ratio remain still quite poor25.
In order to improve the performance of InGaN-based p-channel FETs, the structural optimization for an effective 2DHG and novel device concepts are in great demand. In this paper, a super-thin ultra-flat GaN spacer layer is proposed between InGaN and high-resistance GaN template to reduce the interface roughness scattering for the 2DHG. With the optimized structure, a metal-oxide-semiconductor FET (MOSFET) using Al2O3 as gate dielectric is demonstrated for the first time. The accumulation of 2DHG with high concentration at the lower interface of InGaN/GaN is confirmed from both theoretical simulation and capacitance-voltage (C-V) measurement. The MOSFET shows a high drain-source current IDS of 0.51 mA/mm at the gate voltage VGS of −2 V and drain bias VDS of −15 V and ON/OFF ratio of two orders of magnitude at room temperature. The normal operation of MOSFET at 8 K further proves that the p-channel behavior is originated from the polarization-induced 2DHG.
Results
Firstly, we designed the structure of the InGaN/GaN heterojunction by a simulation using self-consistent solution of Poisson-Schrödinger equations combined with polarization-induced theory. The band diagram, hole concentration and distribution can be obtained from the simulations. The details of material parameters adopted during the simulations can be found elsewhere27. As a result of piezoelectric polarization between InGaN and GaN, high-density negative polarization charges are created at the lower interface of pseudomorphic InGaN/GaN heterostructure. To compensate these fixed charges, hole accumulation with large band bending happens near the interface of InGaN/GaN heterostructure. From the simulation, the optimized thickness for the strained InGaN is 90 nm and In composition of 25%. The optimized structure was grown by using the metal organic chemical vapor deposition (MOCVD) (see the Methods section for details). The structure in this study is schematically shown in Fig. 1. It is noted that before InGaN deposition, a long-time growth interrupt in both nitrogen and ammonia ambient was introduced to polish the interface, followed by a super-thin unintentionally doped GaN (UID-GaN) spacer layer with an ultra-flat morphology. The growth interrupt can improve the interface quality, which was confirmed in our previous study28,29. Slightly Mg-doping is performed for the strained InGaN layer to compensate the n-type background concentration26. Figure 2 presents the structural properties of the deposited InGaN/GaN heterojunction on GaN template. The high-resolution X-ray diffraction (HRXRD) reciprocal space mapping (RSM) around (10–14)- plane reveals that the InGaN layer is totally strained on the GaN template, ensuring a good quality with large piezoelectric polarization field (Fig. 2(a)). Figure 2(b) shows the cross-sectional bright field transmission electron microscopy (TEM) image of the InGaN/GaN heterojunction. An abrupt interface can be clearly seen at the view in a high magnification. The thickness of InGaN is about 90 nm, which is consistent with the designed structure. The black and silver dots in InGaN layer are from the focused ion beam (FIB) induced damages during the preparation of TEM specimen.
It was simulated that the peak hole density at the InGaN/GaN heterojunction was over 5.5 × 1019 cm−3 with full width at half maximum (FWHM) value of about 2 nm, indicating the formation of the 2DHG conducting channel with a high density (Fig. 3(a)). The C-V characteristic for a Schottky contact with Ti/Au (40/110 nm) stacks was measured at a frequency of 1 MHz. The carrier profile dependent on the thickness extracted from C-V curve at 300 K indicates a hole accumulated at 95 nm from the surface, which is around the InGaN/GaN heterointerface (Fig. 3(b)). The peak density of hole is calculated to be above 5 × 1019 cm−3. It is also noted that, the Schottky behavior shows an obvious p-type characteristic as shown in the inset of Fig. 3(b), in which, the rectify ratio is more than 3 orders of magnitude at 3 V.
(a) Simulated band diagram, hole concentration and distribution of the designed InGaN/GaN heterostructure at 300 K. (b) Calculated hole concentration profile based on the C-V characteristic of the InGaN/GaN heterostructure using the Schottky contact. Inset: I-V characteristic of the Schottky contact.
The fabricated InGaN/GaN heterojunction MOSFET shows an obvious 2DHG behavior. Figure 4 is the C-V characteristics of MOSFET at 300 K under dark condition. The high scan frequency of 1 MHz ensures that all the interface states cannot respond to the AC signal but only follows the DC gate bias. The gate bias was swept from +15 to −3 V with a step of 0.1 V. The C-V curve presents a two-step capacitance, which is the characteristic feature of the MOSFET structure having two effective interfaces30. For bias scanning from 15 to about 2 V, the measured capacitance starts to increase until reaching a plateau, which is the behavior of the depletion of the bulk. From about 2 to −0.2 V, the nearly flat capacitance C2DHG indicates the formation of 2DHG accumulated at the InGaN/GaN interface. Therefore, the depletion layer changes the measured capacitance only slightly in this plateau region. At the bias below −0.2 V, holes start to distribute in the Mg-doped InGaN and p-GaN cap layer, which results in a slight increase of the total capacitance. With further increase of the negative bias, the Al2O3 dielectric layer starts to deplete. Because the maximum gate bias was limited to −3 V by the gate leakage current, the CAl2O3 corresponding to the 60 nm-thick Al2O3 was not shown here.
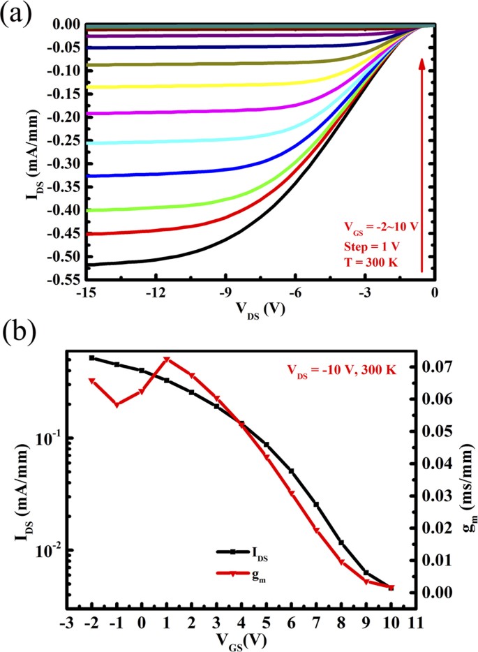
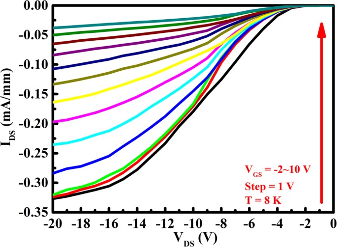
The DC output characteristics of the MOSFET at 300 K are displayed in Fig. 5(a). The gate-source voltage VGS was varied from −2 to 10 V in steps of 1 V. The depletion-mode (D-mode) behavior with an absolute source-drain current density, /IDS/, 0.51 mA/mm for a negative gate voltage of −2 V is observed, which is over 40 times higher than that reported in InGaN/GaN p-channel HFET25. With increasing the positive gate voltage, the transistor presents an off behavior. An ON/OFF ratio close to two orders of magnitude is obtained for this D-mode transistor. Figure 5(b) presents the transfer characteristics and transconductance of the MOSFET at 300 K. The threshold voltage VTH of the MOSFET was estimated by extrapolating the linear region down the voltage axis to be about 10 V. The maximum transconductance gm is about 0.07 mS/mm at the drain bias VDS of −15 V. Further improvement can be obtained by reducing the parasitic resistances, such as reducing the ohmic contact resistance, or the gate-channel separation and the device dimensions. The output characteristic of this p-channel MOSFET is also checked at low temperatures. Generally, if the p-channel performances are related to acceptor doping, a channel carrier free-out will occur at low temperatures. Since the thermal ionization energy of Mg in GaN and In0.25Ga0.75N is 160 and 54 meV, respectively, the temperature for the failure of device should be higher than 40 K31. However, this significant p-channel behavior can be still observed in our developed InGaN-based MOSFET (Fig. 6) measured as low as 8 K. The source-drain current density IDSis still as high as 0.32 mA/mm at the gate voltage VGS of −2 V and drain bias VDS of −20 V. Therefore, it can be verified that the p-channel characteristic is originated from not the acceptor doping but the polarization- induced 2DHG at the lower interface of InGaN/GaN heterojunction. Due to the degradation of ohmic contact and inferior performance of gate metal electrode at cryogenic temperatures, the output characteristic shows a Schottky-like behavior and could not be completely pinched off at the gate voltage of 10 V.
Discussion
The effective mobility (μeff) of the 2DHG in the channel can be extracted by using the following equation32:

where COX is the gate oxide capacitance. The μeff values at 300/8 K are calculated to be ~10/12 cm2/Vs. The lower 2DHG mobility might be due to the impurity scattering, dislocation scattering, interface roughness scattering or alloy disorder scattering around the InGaN/GaN interface16. Moreover, due to the immature device processing of p-channel MOSFET, especially the unsatisfactory gate dielectric processing, the interface charges33, fixed charges34 and polarization charges35,36 along the Al2O3/p-GaN interface could also influence the accumulation and transportation of 2DHG in conducting channel. For the further improvement of the 2DHG mobility, reducing the structural defects in epilayer and optimizing device processing of p-channel MOSFET are necessary.
In summary, the polarization-induced 2DHG at the lower interface of InGaN/GaN heterostructure was successfully extracted from the optimized structures. The existence of 2DHG was confirmed by theoretical simulation and C-V measurement. The p-channel InGaN/GaN heterostructure MOSFET based on the 2DHG was first demonstrated by using Al2O3 as the gate dielectric. The transistor shows a high drain-source current of 0.51 mA/mm and ON/OFF ratio of two orders of magnitude at 300 K. The polarization-induced p-channel behaviors are also verified by the well operation for FET at temperature as low as 8 K, which proves the successful realization of 2DHG channel induced by polarization effect. We mention that a theoretical mobility of 2DHG for InGaN/GaN heterojunction is approximately 700 cm2/Vs at 66 K and the theoretical output current of p-channel FET can be as high as approximately 100 mA/mm for a gate length of 0.5 μm25. The progress of the present FETs based on InGaN is still relatively at the early stage. The current work on the p-channel MOSFET by using InGaN/GaN heterojunctions opens a promising route for the development of the nitride-based complementary ICs.
Methods
InGaN/GaN heterojunction growth and characterization
The investigated heterojunction was deposited on a 2-μm-thick high-resistance GaN (HR-GaN) template by using the metal organic chemical vapor deposition (MOCVD). Before InGaN deposition, a long-time growth interrupt in both nitrogen and ammonia ambient was introduced to polish the interface. The growth interrupt can improve the interface quality, which was confirmed in our previous study28,29. Then a super-thin unintentionally doped GaN (UID-GaN) spacer layer with the thickness of 5 nm was grown with an ultra-flat morphology. To compensate the high-density n-type background concentration and serve as a source of the holes, slightly Mg-doping is performed for the strained InGaN layer26. A 5-nm-thick p-type GaN cap layer was used to screen surface trap effects and enable the formation of ohmic contacts. The material properties were characterized by XRD (Panalytical Xpert PRO XRD system), TEM (JEM-2000EX operated at 200 kV). The TEM sample was prepared by FIB process (Hitachi FB-2100).
InGaN/GaN p-channel FET fabrication and characterization
The Schottky and MOSFET were fabricated by using the standard semiconductor device process technique. Before processing, the sample was annealed in nitrogen ambient at 700 °C for 15 min for Mg acceptor activation. The device was firstly isolated by the chlorine-based inductively coupled plasma dry etching. Then, Ni/Au (20/30 nm) stacks were deposited by electron-beam (EB) evaporation, followed by annealing at 500 °C for 10 min in air ambient to form ohmic contacts. For the Schottky-type devices, Ti/Au (40/110 nm) bilayers were deposited by EB evaporation as the gate metal stacks. For MOSFET, a 60-nm Al2O3 was deposited by atomic layer deposition as the gate dielectric. The microscopic image of the resulting device is shown in the inset of Fig. 4 with a gate width WG = 200 μm, a gate length LG = 20 μm, a source-gate separation LSG = 6 μm and a drain-gate separation LDG = 6 μm. The C-V characteristic for the Schottky contact and MOSFET were measured by Agilent LCR meter (4284A). The DC output performance of the MOSFET was characterized by Keithley 2636A semiconductor parameter analyzer using a three-point probe method at 300 K and 8 K with a cryogenic refrigerator.
Additional Information
How to cite this article: Zhang, K. et al. P-Channel InGaN/GaN heterostructure metal-oxide-semiconductor field effect transistor based on polarization-induced two-dimensional hole gas. Sci. Rep. 6, 23683; doi: 10.1038/srep23683 (2016).
References
Assad, F., Ren, Z., Vasileska, D., Datta, S. & Lundstrom, M. On the performance limits for Si MOSFETs a theoretical study. IEEE Trans. Electron Devices 47, 232–241 (2000).
Nakajima, A. et al. One-chip operation of GaN-based P-channel and N-channel heterojunction field effect transistors. Proceedings of the 26th International Symposium: Power Semiconductor Devices & IC’s, Waikoloa, Hawaii. USA: IEEE. (2014, June 15–19).
Li, G., Wang, R., Verma, J., (Grace) Xing, H. & Jena, D. Ultra-thin body GaN-on-insulator nFETs and pFETs: Towards III-nitride complementary logic. Device Research Conference (DRC): 2012 70th Annual, University Park, TX. USA: IEEE. (2012, June 18–20).
Del Alamo, J. A. Nanometre-scale electronics with III-V compound semiconductors. Nature 479, 317–323 (2011).
Wang, B. et al. An efficient high-frequency drive circuit for GaN power HFETs. IEEE Trans. Ind. Appl. 45, 843–854 (2009).
Shur, M. S. et al. Accumulation hole layer in p-GaN/AlGaN heterostructures. Appl. Phys. Lett. 76, 3 (2000).
Nakajima, A., Sumida, Y., Dhyani, M. H., Kawai, H. & Narayanan, E. M. S. High density two-dimensional hole gas induced by negative polarization at GaN/AlGaN heterointerface. Appl. Phys. Express 3, 121004 (2010).
Nakajima, A. et al. Temperature-independent two-dimensional hole gas confined at GaN/AlGaN heterointerface. Appl. Phys. Express 6, 4 (2013).
Nakajima, A. et al. Generation and transportation mechanisms for two-dimensional hole gases in GaN/AlGaN/GaN double heterostructures. J. Appl. Phys. 115, 153707 (2014).
Zhang, K. et al. Negative differential resistance in low Al-composition p-GaN/Mg-doped Al0.15Ga0.85N/n+-GaN hetero-junction grown by metal-organic chemical vapor deposition on sapphire substrate. Appl. Phys. Lett. 104, 053507 (2014).
Zhang, K. et al. Low Al-composition p-GaN/Mg-doped Al0.25Ga0.75N/n+-GaN polarization- induced backward tunneling junction grown by metal-organic chemical vapor deposition on sapphire substrate. Sci. Rep. 4, 6322 (2014).
Shatalov, M. et al. GaN-AlGaN p-channel inverted heterostructure JFET. IEEE Electron Device Lett. 23, 452–455 (2002).
Li, G. et al. Polarization-induced GaN-on-insulator E-D mode p-Channel heterostructure FETs. IEEE Electron Device Lett. 34, 852–855 (2013).
Hahn, H. et al. p-channel enhancement and depletion mode GaN-based HFETs with quaternary backbarriers. IEEE Trans. Electron Devices 60, 3005–3012 (2013).
Hahn, H. et al. First small-signal data of GaN-based p-channel heterostructure field effect transistors. Jpn. J. Appl. Phys. 52, 128001 (2013).
Reuters, B. et al. Fabrication of p-channel heterostructure field effect transistors with polarization-induced two-dimensional hole gases at metal–polar GaN/AlInGaN interfaces. J. Phys. D Appl. Phys. 47, 175103 (2014).
Kumakura, K., Makimoto, T. & Kobayashi, N. Mg-acceptor activation mechanism and transport characteristics in p-type InGaN grown by metalorganic vapor phase epitaxy. J. Appl. Phys. 93, 3370 (2003).
Yeo, Y. C., Chong, T. C. & Li, M. F. Electronic band structures and effective-mass parameters of wurtzite GaN and InN. J. Appl. Phys. 83, 1429 (1998).
Nainani, A., Bennett, B. R., Brad Boos, J., Ancona, M. G. & Saraswat, K. C. Enhancing hole mobility in III-V semiconductors. J. Appl. Phys. 111, 103706 (2012).
Agrawal, A. et al. Comparative analysis of hole transport in compressively strained InSb and Ge quantum well heterostructures. Appl. Phys. Lett. 105, 052102 (2014).
Yu, E. T., Dang, X. Z., Asbeck, P. M., Lau, S. S. & Sullivan, G. J. Spontaneous and piezoelectric polarization effects in III–V nitride heterostructures.pdf. J. Vac. Sci. Technol. B 17, 1742–1750 (1999).
Upal, T. N., Uddin, M. A., Hossain, M., Jahan, F. & Mahmood, Z. H. Study of charge density at InxGa1−xN/GaN heterostructure interface. 2009 2nd International Workshop: Electron Devices and Semiconductor Technology, Mumbai. USA IEEE. (2009, June 1–2).
Chen, D. J. et al. Observation of hole accumulation at the interface of an undoped InGaN/GaN heterostructure. Appl. Phys. Lett. 95, 012112 (2009).
Neuburger, M. et al. The role of charge dipoles in GaN HFET design. Phys. Stat. Sol. (c) 0, 86–89 (2002).
Zimmermann, T. et al. P-channel InGaN-HFET structure based on polarization doping. IEEE Electron Device Lett. 25, 450–453 (2004).
Lebedev, V. et al. Electron and hole accumulation in InN/InGaN heterostructures. Phys. Stat. Sol. (c) 8, 485–487 (2011).
Piprek, J. Nitride Semiconductor Devices Princiles and Simulation (Wiley, Darmstadt, 2007).
Sang, L., Liao, M., Koide, Y. & Sumiya, M. High-performance metal-semiconductor-metal InGaN photodetectors using CaF2 as the insulator. Appl. Phys. Lett. 98, 103502 (2011).
Sang, L., Liao, M., Koide, Y. & Sumiya, M. InGaN-based thin film solar cells: Epitaxy, structural design and photovoltaic properties. J. Appl. Phys. 117, 105706 (2015).
Mizue, C., Hori, Y., Miczek, M. & Hashizume, T. Capacitance-voltage characteristics of Al2O3/AlGaN/GaN structures and state density distribution at Al2O3/AlGaN Interface. Jpn. J. Appl. Phys. 50, 021001 (2011).
Hasan, M. N., Hasan, M. S. & Islam, M. R. Low activation energy of Mg-doped InxGa1-xN (x~0.4) and self-compensation modelling. 2014 International Conference: Electrical and Computer Engineering (ICECE), Dhaka. USA IEEE. (2014, Dec. 20–22).
Zeghbroeck, V. Principles Of Semiconductor Devices (Colarado University, Colarado, 2011).
Hung, T.-H., Esposto, M. & Rajan, S. Interfacial charge effects on electron transport in III-Nitride metal insulator semiconductor transistors. Appl. Phys. Lett. 99, 162104 (2011).
Liu, X. et al. Fixed charge and trap states of in situ Al2O3 on Ga-face GaN metal-oxide-semiconductor capacitors grown by metalorganic chemical vapor deposition. J. Appl. Phys. 114, 164507 (2013).
Ji, D. et al. Polarization-induced remote interfacial charge scattering in Al2O3/AlGaN/GaN double heterojunction high electron mobility transistors. Appl. Phys. Lett. 100, 132105 (2012).
Hung, T.-H. et al. Interface charge engineering at atomic layer deposited dielectric/III-nitride interfaces. Appl. Phys. Lett. 102, 072105 (2013).
Acknowledgements
This work was supported by the Japan Science and Technology Agency (JST-PRESTO) and World Premier International Research Center (WPI) initiative on Materials Nanoarchitectonics (MANA), Ministry of Education, Culture, Sports, Science & Technology (MEXT) in Japan. The authors would like to thank Nanotechnology Platform and MANA Foundry in NIMS for their support on device processing and low-temperature measurement.
Author information
Authors and Affiliations
Contributions
L.S. supervised the project. K.Z. and L.S. designed the experiment, carried out the measurements and writing the manuscript. M.L., M.S. and Y.K. contributed to the discussion and reviewed the manuscript.
Ethics declarations
Competing interests
The authors declare no competing financial interests.
Rights and permissions
This work is licensed under a Creative Commons Attribution 4.0 International License. The images or other third party material in this article are included in the article’s Creative Commons license, unless indicated otherwise in the credit line; if the material is not included under the Creative Commons license, users will need to obtain permission from the license holder to reproduce the material. To view a copy of this license, visit http://creativecommons.org/licenses/by/4.0/
About this article
Cite this article
Zhang, K., Sumiya, M., Liao, M. et al. P-Channel InGaN/GaN heterostructure metal-oxide-semiconductor field effect transistor based on polarization-induced two-dimensional hole gas. Sci Rep 6, 23683 (2016). https://doi.org/10.1038/srep23683
Received:
Accepted:
Published:
DOI: https://doi.org/10.1038/srep23683
This article is cited by
-
Top-down GaN nanowire transistors with nearly zero gate hysteresis for parallel vertical electronics
Scientific Reports (2019)








