Filter By:

Journal Check one or more journals to show results from those journals only.

Choose more journals

Article type Check one or more article types to show results from those article types only.
Subject Check one or more subjects to show results from those subjects only.
Date Choose a date option to show results from those dates only.

Custom date range

Clear all filters
Sort by:
Showing 1–6 of 6 results
Advanced filters: Author: Daisuke Tadokoro Clear advanced filters
  • The enzymatic degradation of amorphous poly (ethylene terephthalate)(PET) films by a PET-degrading enzyme was analyzed using SAXS, WAXD, SEM, X-CT, and weight-loss measurements. FAST-PETase induced the emergence of hierarchical boring structures ranging from 10⁻⁵ m to 10⁻⁸ m on PET, revealing that enzymatic degradation proceeds through interfacial interactions within the evolving porous surface layer. This study contributes essential knowledge toward the sustainable use of plastics, responding to growing global concerns over microplastic pollution and the scarcity of fossil resources.

    • Daisuke Tadokoro
    • Tomoya Imai
    ResearchOpen Access
    Polymer Journal
    Volume: 58, P: 167-177
  • A poly(4-methylpentene-1) (P4MP1) film was prepared on a quartz substrate, which was a model system of interfaces in a filler-reinforced semicrystalline polymer composite. Grazing-incidence wide-angle X-ray diffraction measurements revealed that P4MP1 in the film after the isothermal crystallization formed a Form I crystal polymorph, in which the chain axis was oriented along the direction parallel to the quartz interface. Combining sum-frequency generation vibrational spectroscopy with molecular dynamics simulation enabled us to study the local conformation of P4MP1 chains at the quartz interface and the changes that occurred with isothermal crystallization.

    • Kentaro Yamamoto
    • Daisuke Kawaguchi
    • Keiji Tanaka
    Research
    Polymer Journal
    Volume: 51, P: 247-255
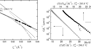
  • The melting temperature of the isothermally crystallized poly(trimethylene terephthalate) (PTT) lamellar stack structure was determined by X-ray measurements. The equilibrium melting temperature of PTT was determined to be 290.5 °C from the relationship between the melting temperature and the lamellar thickness. The temperature dependence of the lamellar thickness below Tc = 173.7 °C suggested crystallization through a mesophase. The temperature dependence of the growth rate was explained by secondary nucleation theory over a wide crystallization temperature range.

    • Daisuke Tadokoro
    • Takashi Konishi
    • Yoshihisa Miyamoto
    Research
    Polymer Journal
    Volume: 55, P: 775-783