Thank you for visiting nature.com. You are using a browser version with limited support for CSS. To obtain
the best experience, we recommend you use a more up to date browser (or turn off compatibility mode in
Internet Explorer). In the meantime, to ensure continued support, we are displaying the site without styles
and JavaScript.
About 55% of the increase in winter Arctic surface temperature over 1959-2015 is explained by changes in sea ice concentration, while energy transport toward the poles and increased carbon dioxide account for about 20% and 25%, respectively, according to a statistical analysis of climate data.
Bedload type influences the long-term impact of wing-dams on river levels through the effects of armouring and bed erosion, according to a combination of 3D and 1D modelling applied to stretches of the Mississippi and Danube rivers.
Observations using satellite imagery suggest a new hydrocarbon seepage site was activated along the Cyprus Arc following the magnitude 7.8 Kahramanmaraş earthquake in Turkey, resulting in a 71% increase in the emitted oil volume over the following six months.
Social media discourse reflects public engagement with volcanic hazard, but English is the dominant language even in non-English speaking regions, according to a four-year-long longitudinal study across 18 languages on
/Twitter.
Seven thousand years of environmental variability are recorded by a coastal iron-manganese concretion, according to microstructure, magnetic, geochemical, and isotopic geochemical analyses of a concretion from the Baltic Sea.
The climate action simulation exercise increased participants’ knowledge about high-impact climate actions and policies, and those gains persisted for at least 6 months, according to survey data and statistical analysis.
Current land use in Great Britain is far from optimal for biodiversity protection, food production, and carbon sequestration, and multiple objective optimisation is needed to explore a set of land conversions to achieve all benefits, as indicated by an analysis using a high-resolution land use model.
Long-term peak streamflow trends in the USA are primarily driven by direct human interventions – especially urbanization and water management – rather than climate alone, according to an analysis of over 3,900 stream gauges.
Millennial-scale bottom water oxygenation events occurred in the Cambrian Ocean in regions inhabited by early animals, according to analyses of sub-millimetre stratigraphic profiles of molybdenum and uranium isotopes.
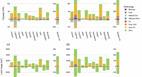
Over 30 percent more land would be needed in the Western US by 2050 to support new solar and wind infrastructure under a high renewables penetration scenario compared to a business-as-usual scenario, according to an analysis that uses an integrated energy system modeling framework.
Sea-dumped munitions from the Second World War can provide a habitat for epifauna, according to an analysis of footage from a remotely operated vehicle in the Baltic Sea.
The Kuju volcanic area’s shallow magma margin features a low-amplitude reflection zone that allows pressurized fluids to migrate upward, causing diverse earthquake clusters with complex mechanisms, according to analysis of magma-related and hydrothermal structures in the Kuju volcanic area in Japan.
Central and deeper cores of sedimentary DNA capture main taxonomic richness in vegetation, whereas marginal samples near inflows show rarer and spatially restricted taxa, according to an analysis of 42 adjacent surface sediment samples from the Stabbevatnet lake in northern Norway.
Recovery of complementary materials from well-ventilated and seasonally stratified lakes can allow reliable reconstruction of local temperature and vegetation changes in Iceland, according to an analysis of ancient branched dialkyl glycerol tetraethers and sedimentary DNA.
Strongly positive phases of the North Atlantic Oscillation increased the persistence of weather events in northwest Europe between 1950-1980 and 1990-2020, amplifying the risk of persistent precipitation and flooding, according to a statistical modeling framework.
Prolonged snow cover in the southwestern Alps delayed ecosystem development until the 1980s, with current incipient soils and sparse vegetation reflecting a lagged response to recent warming rather than equilibrium with present conditions, as revealed by reconstructing fine-scale snow cover changes over the past 250 years.
Interactive stressors influence microbial-regulated phosphorus cycling and availability in soil by changing the abundance and diversity of phosphorus cycling microorganisms and associated stoichiometric parameters, according to an analysis of soil samples from a large-scale survey across China
In Sweden, dietary changes simulated under four food futures pathways reduced environmental impacts by 30 percent, but waste and fossil fuel emissions reductions are necessary to meet the climate target, according to an analysis that combines food items, nutrients, health, and environmental data.
The whole Salar de Uyuni in Bolivia is not a uniform mirror-like surface in which anything above it is reflected specularly, instead the smoothness of the water surface evolves spatially and temporally, according to an analysis using radar altimeter observations from Sentinel-3 satellites.
Cretaceous amber from the Ecuadorian Napo region provides exceptional evidence of a resinous forest ecosystem and diverse arthropod fauna in equatorial Gondwana, as revealed by integrated analyses of amber geochemistry and bioinclusions, palynology, and associated macrofloras.