Thank you for visiting nature.com. You are using a browser version with limited support for CSS. To obtain
the best experience, we recommend you use a more up to date browser (or turn off compatibility mode in
Internet Explorer). In the meantime, to ensure continued support, we are displaying the site without styles
and JavaScript.
This systematic review and meta-analysis pools results from 93 studies across 45 low- and middle-income countries, and it shows that social safety nets significantly enhance measures of women’s economic achievement and agency. Treatment effects are largest for unconditional cash transfers, public works programmes, social care services and asset transfers.
We show that widely available large language models (LLMs) can — out of the box — accurately score people’s personality traits on the basis of their brief, open-ended narratives. LLM ratings converged with self-reports, predicted daily behaviour and mental health, and outperformed traditional language processing methods. Thus, use of LLM tools emerges as an accurate, scalable and efficient approach to assessing arbitrary psychological constructs.
It is widely believed that language is structured around ‘constituents’, units that combine hierarchically. Using structural priming, we provide evidence of linguistic structures — non-constituents — that do not fit into such hierarchies, which reveals a blind spot in current theories of language and grammar.
Focusing on the Songzhuang cemetery, this study aims to enhance understanding of social diversity in Eastern Zhou society. We adopted a multidisciplinary approach to uncover the profound influence of social inequality within an Eastern Zhou community, and to identify a rare case of social class mobility.
Over a decade of data on wild orangutans were used to program an agent-based model of orangutan diet development. Adult-like diets were attainable only if simulated immature individuals learned from others, which indicates that orangutan diets are broader than what any individual could produce independently. Wild orangutan diets therefore represent culturally dependent knowledge repertoires that are produced by social learning.
Automated content moderation systems designed to detect prohibited content on social media often struggle to account for contextual information, which sometimes leads to the erroneous flagging of innocuous content. An experimental study on hate speech reveals how multimodal large language models can facilitate more context-sensitive content moderation on social media.
Despite the great diversity of human languages, recurring grammatical patterns (termed ‘universals’) have been found. Using the Grambank database of more than 2,000 languages, spatiophylogenetic analyses reveal that while only a third of 191 putative universals have robust statistical support, there are still preferred feature configurations that have evolved repeatedly — consistent with shared cognitive and communicative pressures having shaped the evolutionary dynamics of languages.
We hypothesized that, if the olfactory system involves fine-grained sensorimotor feedback, similarly to what has been observed in other sensory systems, the brain might modulate sniffs in real time according to detailed perceptual features of odours. We analysed more than 13,000 sniffs in response to 160 distinct odours to show that sniff patterns reflect fine-grained perceptual information and are potentially modulated by the amygdala.
Catastrophic forgetting is a common problem for artificial learning systems, but whether it occurs in humans is unclear. We revealed that both humans and neural networks show similar patterns of forgetting, which reflect a fundamental trade-off: reusing prior knowledge speeds up new learning but can corrupt old memories. Individuals differed in how they navigate this balance.
This network meta-analysis of 152 randomized controlled trials found that personalized and group-customized digital smoking-cessation interventions — particularly text messages and app-based tools — significantly improved cessation outcomes, as compared with standard care. These interventions demonstrated greatest efficacy in middle-aged adults and short-to-medium-term programmes. The work provides a foundation for future digital smoking-cessation frameworks.
In a cross-national behavioural experiment, we examined how providing information about negative externalities and making decisions observable influence prosocial behaviour. Across countries, we found that knowledge of negative externalities (as compared with opportunities for ignorance) robustly increased prosociality, and that guilt-prone individuals were more responsive to information about these negative consequences of their actions.
New archaeological results from the oldest Pleistocene site yet to be identified in high-altitude Australia indicate that human occupation began about 20,000 years ago, during the peak of the last glacial maximum. This site — Dargan Shelter — provides evidence of repeated human movement through and adaption to a periglacial environment in Australia.
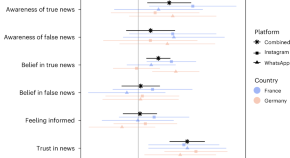
We estimate the causal effects of following the news on social media by randomly assigning participants to follow either news or non-news accounts on social media. Participants who followed news accounts became more knowledgeable, better able to distinguish true from false news, and more trusting of the news.
People not only inhabit social networks, but also form beliefs about their social world. We assessed these beliefs in isolated villages in Honduras, and found that individuals overestimated kinship ties in their social networks, misperceived ties across social and economic lines, and exhibited perceptual biases that systematically varied.
Genome-wide association studies of monozygotic twins revealed genes associated with psychiatric and neurodevelopmental traits that are environmentally sensitive, which means their function might depend on environmental factors such as stress.
Surveys in 20 countries reveal strong public support for global policies such as a tax on millionaires to finance low-income countries or a carbon price to finance a global basic income. Survey experiments in Western countries confirm that support is sincere and that citizens prefer political platforms that include global redistribution policies.
A cooperative online quiz game called Tango reduced partisan animosity, improved democracy-related attitudes and was rated as highly enjoyable by participants. The effects of the quiz game were durable and persisted up to four months, and they were similar for Republican and Democrat players.
Why do people follow rules that they often have an incentive not to follow? Across four sets of experiments, we showed that respect for rules and conformity with social expectations are fundamental factors of rule-following that can explain why people follow laws and social norms even in the absence of incentives.
Children with DFNB9 deafness receiving gene therapy in either one ear or both ears exhibited enhanced activation in parts of the auditory speech cortex, which occurred as early as four weeks after surgery, as well as an improvement in measures of their mental development.
We report differences in social media engagement between adolescents with and without a mental health condition, and also differences between those with internalizing and externalizing conditions. Differences include time spent on social media, online social comparison and the effect of social media feedback on mood.