Skip to main content

Thank you for visiting nature.com. You are using a browser version with limited support for CSS. To obtain the best experience, we recommend you use a more up to date browser (or turn off compatibility mode in Internet Explorer). In the meantime, to ensure continued support, we are displaying the site without styles and JavaScript.

Articles in 2012

Filter By:

  • Highly efficient DNA release was achieved by the polyamidoamine-modified superparamagnetic particles (PAMAM–SpMNPs) that were prepared with 10-nm magnetite cores. We optimized the surface amine numbers of the PAMAM–SpMNPs to control the interaction between a DNA molecule and the amine groups on the particle. With this optimization, the PAMAM–SpMNPs maintained a high DNA adsorption capacity and high dispersivity in solution. The DNA-release efficiency using PAMAM–SpMNPs was over 95%. Furthermore, the complete DNA release from PAMAM–SpMNPs was achieved by applying an alternating magnetic field for 10 min.

    • Atsushi Arakaki
    • Keiyu Shibata
    • Tsuyoshi Tanaka
    Original Article
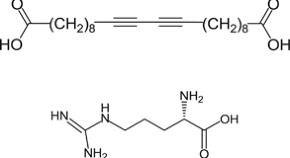
  • A diacetylenic-acid arginine salt gelated water. The properties of the supramolecular hydrogel were examined by optical microscopy, electron microscopy, X-ray diffraction and ultraviolet (UV)-absorption and circular dichroism (CD) spectroscopies. Microscopic images showed that 10, 12-docosadiynedioic acid arginine salt formed a fibrous structure. Upon UV irradiation, the gel polymerized to diacetylene oligomers fibers. After the removal of arginine, CD spectra indicated that the diacetylene oligomers maintained chirality.

    • Masaru Mukai
    • Masaki Kogiso
    • Hiroyuki Minamikawa
    Original Article
  • Newly designed β-sheet peptides bearing the calcium ion binding Glu residue were self-assembling into self-supporting hydrogels. The hydrogelation from the viscous sol-state solution can be induced by a slower self-assembly process followed by a rapid injection to Ca2+ solution. Peptide gel strings can be easily constructed. Cell culture experiments demonstrated low toxicity and high-adhesive abilities of the peptide hydrogels.

    • Toshiki Sawada
    • Masaki Tsuchiya
    • Hisakazu Mihara
    Original Article
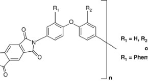
  • Novel phenylethynyl (4-phenylethynyl phthalic anhydride) terminated addition-type imide oligomers derived from pyromellitic dianhydride and 2-phenyl-4,4′-diaminodiphenyl ether showed a high solubility and a very low minimum melt viscosity. These imide oligomers were also converted to crosslinked cured resins with Kapton-type backbone structures after curing at 370 °C. The glass transition temperature and elongation-at-break of the cured resins were extremely high (almost 350 °C and >10%, respectively). These epoch-making imide oligomers were found to have excellent processability for molding of fiber-reinforced plastics with high heat resistance.

    • Masahiko Miyauchi
    • Yuichi Ishida
    • Rikio Yokota
    Original Article
  • Four-arm star block copolymers comprising poly(N-vinylimidazolium salt) as a poly(ionic liquid) segment and poly(NIPAAm) as a thermoresponsive segment were synthesized by reversible addition-fragmentation chain transfer (RAFT) polymerization. Stimuli-responsive properties and temperature-responsive self-assembly process of these star block copolymers were studied in aqueous solution. Chain architectures, the sequence and comonomer composition of the diblock arms, and salt concentration had a significant effect on their thermally induced phase separation behavior and assembled structures.

    • Hideharu Mori
    • Yuki Ebina
    • Kazuhiro Nakabayashi
    Original Article
  • Dendrimers have attracting great interests in the design of functional materials. Because the core porphyrin unit in dendrimer porphyrin (DP) is surrounded by large poly(benzyl ether) dendritic wedges with ionic periphery, various functional nano-devices, such as DP-loaded polyion complex micelles, ternary complex system for gene delivery, polymer-metal complex micelle, hollow nanocapsules for combination cancer therapy, DP-immobilized surface for diagnostic tools, have been designed through electrostatic interaction with oppositely charged polymeric materials.

    • Young-Hwan Jeong
    • Hee-Jae Yoon
    • Woo-Dong Jang
    Review
  • For high-performance boron neutron capture therapy , core-shell-type biodegradable nanoparticle-containing boron cluster is designed in order to improve accumulation tendency to tumor. Copolymerization of styrene carrying carborane with poly(ethylene glycol)-block-poly(lactide) (PEG-b-PLA-MA), possessing a methacryloyl group at the PLA end is performed. The accumulation of the polymerized micelles in tumor is much higher than that of the non-polymerized micelles because of the enhancement of the stability of the micelles. Thermal neutron irradiation exhibits significant suppression of tumor growth in the mice treated with the polymerized micelles.

    • Shogo Sumitani
    • Yukio Nagasaki
    Review
  • Interfacial entanglement and co-crystallization are identified to cause adhesion. Adhesion between polyethylene and different types of polypropylenes (PPs), including impact-modified PP isotactic PP and ethylene-propylene random copolymers, was increased with concentration of ethylene or ethylene–propylene rubber and faster cooling in co-extrusion. A more miscible interface is the key for improved adhesion.

    • Jie Song
    • Anne Bringuier
    • Christopher W Macosko
    Invited Article
  • A novel nucleobase-terminated organosilane with both nucleobase and ethoxysilane moieties was synthesized by a simple method that includes only a reaction of bromouracil with amino-terminated organosilane without using solvents. The uracil-terminated organosilane was self-assembled on a hydroxylated surface, followed by chemical modifications to uracil-concentrated surface. Adenine complementary to uracil was effectively adsorbed onto the resultant uracil-concentrated surface by multiple hydrogen bonds. This paper provides with a simple method for synthesizing a nucleobase-terminated organosilane and for modifying a hydroxylated surface to a nucleobase-concentrated surface.

    • Takashi Miyata
    • Akifumi Kawamura
    • Tadashi Uragami
    Original Article
  • A new process to prepare a monolayer level photoreactive surface on a polyimide is proposed. The procedure involves the irradiation with vacuum ultraviolet light (172 nm), which generates oxidized hydroxyl group at the top-most surface without changing the nature of the bulk polymer. The chemically functionalized surface can be utilized to introduce photoreactive units on the surface to provide photoresponsive liquid crystal cells.

    • Akira Sasaki
    • Hozumi Aoshima
    • Takahiro Seki
    Original Article
  • Size-controlled CaCO3 composite particles were obtained by a carbonate-controlled addition method with a carboxylate-terminated hyperbranched poly(amidoamine) (HYPAM-ONa). The sizes of the CaCO3 particles decreased from 1.3±0.2 to 0.36±0.18 μm with increasing the complexation time of HYPAM-ONa-Ca2+ from 3 min to 72 h. The surfaces of the CaCO3 composite particles were coated with gold nanoparticles by addition of the aqueous solution of the gold nanoparticles stabilized with HYPAM-ONa to the aqueous dispersion of the CaCO3 particles and subsequent addition of HAuCl4 and formaldehyde as a reducing agent.

    • Yuka Tanaka
    • Kensuke Naka
    Original Article
  • Our approach concerning a photo-based patterning for general purpose polymer films is described. Patterned UV light irradiation of a thin polystyrene film under controlled temperature generates surface relief structures by mass transfer from shaded to irradiated areas. The resulting surface relief structure can be arbitrarily erased by heating and reconstructed by patterned ultraviolet (UV) light irradiation, and this process is repeatable. This new method thus enables fabrication of dynamic reversible patterning structures from various general polymers.

    • Takashi Ubukata
    • Yusuke Moriya
    • Yasushi Yokoyama
    Original Article
  • DNA nanotechnology has enabled precise bottom-up integration of metal nanoparticles (NPs) on a nanometer scale. The DNA origami technique facilitated still more complicated control of the positioning not only in 2 dimensional (D) but also in 3D structures. We constructed an alternating streptavidin/gold NP heteroarray with 26 nm separation using a nanometer-sized cavity (a DNA well) embedded in a 2-nm-thick DNA origami sheet. The basic idea and other recent examples of such metal NP arrays on DNA nanostructures are reviewed.

    • Akinori Kuzuya
    • Yuichi Ohya
    Focus Review
  • Highly efficient synthesis of heteroarm star-shaped polymers containing independent stimuli-responsive moieties was demonstrated using a one-pot arm-linking method via base-assisting living cationic polymerization. The linking reaction of mixed two or more kinds of living polymers with a divinyl compound successfully yielded heteroarm star polymers with narrow molecular weight distributions. Furthermore, this methodology was expanded to polar functional monomers, producing a heteroarm star-shaped polymer with amino-containing and thermosensitive arms. The obtained heteroarm star-shaped polymers exhibited their unique stimuli-responsive behaviors in water or their film surfaces.

    • Yukari Oda
    • Takaho Shibata
    • Sadahito Aoshima
    Original Article
  • Hybrid self-assemblers based upon dendritic building blocks such as aliphatic polyether and/or poly(benzyl ether) dendrons can be prepared by a combination of physically different flexible linear and rigid discotic segments. The unconventional self-assemblers organize into various bulk liquid crystalline morphologies, which can be used as a versatile platform for ion-conducting materials.

    • Byoung-Ki Cho
    Focus Review
  • Recent developments in artificial cutters for site-selective scission of single-stranded DNA are described. With the cutters composed of two oligonucleotide additives and Ce(IV)/EDTA, long single-stranded DNA can be selectively cut at target site and manipulated according to our needs.

    • Yuichiro Aiba
    • Makoto Komiyama
    Invited Review
  • The hollow-coned morphologies have been formed on carbonate crystals of calcite, aragonite and vaterite polymorphs through a molecular-control approach by using an acid organic polymer. The oriented nanocrystals with incorporation of organic polymers formed the mesocrystal structures leading to the formation of the macroscopic hollow-coned morphologies.

    • Yuya Oaki
    • Ryota Adachi
    • Hiroaki Imai
    Original Article
  • Ditopic hydrogen bonding melamines possessing perylene bisimide chromophores were synthesized and their self-aggregation and coaggregation with complementary guest molecules were investigated. In this system, 2-D lamellar structures of perylene bisimides were constructed through hierarchical organization of hydrogen-bonded tapes, which can gelate aliphatic and aromatic solvents. The resulting gels are highly transparent and exhibit remarkably low critical gelation concentrations of 8.0 × 10−4M. The thermal stabilities and the mesoscopic morphologies of these organogels could be reasonably explained by the number of perylene bisimide chromophores introduced in the melamine components.

    • Tomohiro Seki
    • Takashi Karatsu
    • Shiki Yagai
    Original Article

Search

Quick links