Abstract
Objectives
We aimed to discover CpG sites with differential DNA methylation in peripheral blood leukocytes associated with body mass index (BMI) in pregnancy and gestational weight gain (GWG) in women of European and South Asian ancestry. Furthermore, we aimed to investigate how the identified sites were associated with methylation quantitative trait loci, gene ontology, and cardiometabolic parameters.
Methods
In the Epigenetics in pregnancy (EPIPREG) sample we quantified maternal DNA methylation in peripheral blood leukocytes in gestational week 28 with Illumina’s MethylationEPIC BeadChip. In women with European (n = 303) and South Asian (n = 164) ancestry, we performed an epigenome-wide association study of BMI in gestational week 28 and GWG between gestational weeks 15 and 28 using a meta-analysis approach. Replication was performed in the Norwegian Mother, Father, and Child Cohort Study, the Study of Assisted Reproductive Technologies (MoBa-START) (n = 877, mainly European/Norwegian).
Results
We identified one CpG site significantly associated with GWG (p 5.8 × 10−8) and five CpG sites associated with BMI at gestational week 28 (p from 4.0 × 10–8 to 2.1 × 10–10). Of these, we were able to replicate three in MoBa-START; cg02786370, cg19758958 and cg10472537. Two sites are located in genes previously associated with blood pressure and BMI. DNA methylation at the three replicated CpG sites were associated with levels of blood pressure, lipids and glucose in EPIPREG (p from 1.2 × 10−8 to 0.04).
Conclusions
We identified five CpG sites associated with BMI at gestational week 28, and one with GWG. Three of the sites were replicated in an independent cohort. Several genetic variants were associated with DNA methylation at cg02786379 and cg16733643 suggesting a genetic component influencing differential methylation. The identified CpG sites were associated with cardiometabolic traits.
ClinicalTrials.gov registration no
Not applicable
Similar content being viewed by others
Introduction
Women who have overweight or obesity in pregnancy, or have excessive gestational weight gain (GWG), are at increased risk of pregnancy-related complications such as pre-eclampsia, gestational diabetes mellitus (GDM), and of having offspring that are large for gestational age [1,2,3]. Overweight, obesity and excessive GWG also increases the risk of developing type 2 diabetes mellitus [4, 5] and cardiovascular disease [6, 7] later in life for both the mother and her offspring.
Several genetic variants associated with body mass index (BMI) have also been associated with metabolic complications of obesity, such as type 2 diabetes mellitus [8]. However, genetic variation explains only parts of the risk for obesity-related metabolic complications, wherein epigenetics are thought to influence gene expression and thereby downstream disease outcomes [9, 10].
There is an increasing interest in studies of how environmental factors influence epigenetic signatures such as DNA methylation and thereby modify gene expression. Epidemiological studies of non-pregnant populations have identified several CpG sites across the genome with differential DNA methylation associated with BMI [9,10,11]. A few epigenome wide association studies (EWAS) of DNA methylation in offspring tissues and placenta in association with maternal body weight have been conducted [12]. To the best of our knowledge, there are currently no EWAS in maternal peripheral blood leukocytes of BMI in pregnancy or GWG.
Differences in allele frequencies and linkage disequilibrium across ancestry may influence the risk of developing different diseases [13, 14]. The interplay between genetics and environmental factors may explain why some develop disease and not others [15]. Although this interplay could lead to differences by ancestry, combining populations of different ancestries with genetic and environmental differences (such as different lifestyle habits) may help in the discovery of CpG sites with robust DNA methylation associated with lifestyle factors across ancestry and reduce the risk of false positives.
We hypothesize that high body mass index and excess weight gain in pregnancy is associated with DNA methylation of CpG sites. Specifically, we aim to examine if BMI in gestational week 28 and GWG in pregnancy in European and South Asian women were associated with DNA methylation levels in peripheral blood leukocytes. Further, we aimed to examine whether the identified CpG sites were associated also with methylation quantitative trait loci (mQTL), gene ontology, and cardiometabolic parameters.
Methods
Study population
STORK Groruddalen is a population-based cohort that included 823 healthy women in early pregnancy attending three public mother-child health clinics for antenatal care from 2008 to 2010 in the multi-ethnic area of Groruddalen, Oslo, Norway [16]. Women were eligible if they: (1) lived in the study districts; (2) planned to give birth at one of two study hospitals; (3) were <20 weeks pregnant; (4) could communicate in Norwegian or any of the eight translated languages; and (5) were able to give informed consent. Women with pre-gestational diabetes, or in need of intensive hospital follow-up during pregnancy, were excluded. The participation rate was 74%, 73% for South Asian women and 81.5% for European women [16].
In the EPIPREG (“Epigenetics in pregnancy”) sample we quantified maternal DNA methylation in peripheral blood leukocytes of nearly all European (n = 312 (87.2%)) and South Asian women (n = 168 (87.2%)) attending the second visit in the STORK Groruddalen cohort study [17].
The study, including the GWAS/EWAS analyses, has been approved by the Norwegian Regional Committee for Medical Health Research Ethics South/East, with reference number: (2015/1035). We obtained written informed consent from all participants before any study-related procedure.
Body weight measurements and questionnaire data
Information on age, self-reported ethnicity, parity, smoking status and pre-pregnancy weight was collected, using an interview-administered questionnaire [16]. Body height was measured by trained study personnel at mean gestational week 15 ± 3 (weeks) with a fixed stadiometer. Smoking status and body weight, total body fat percentage, and truncal fat percentage were measured at gestational weeks 15 ± 3 and 28 ± 2 (weeks) using bioelectrical impedance (Tanita-Weight BC-418 MA) [16]. Pre-pregnancy BMI was calculated using the self-reported pre-pregnancy weight, and mid-gestational BMI was calculated using body weight measured in gestational week 28 ± 2, both divided by the square of the body height in meters. GWG (kg) was calculated by subtracting the measured body weight at gestational week 15 from that at gestational week 28.
Cardiometabolic parameters
Systolic and diastolic blood pressure were measured in gestational weeks 15 ± 3 and 28 ± 2 using Omron HEM-700-E M6 Comfort [18]. The measurement was repeated three times, and the mean of the last two readings was used for analysis [18].
Fasting venous blood samples were drawn at gestational week 28 ± 2. The procedures for measuring or calculating the following parameters have been described in detail elsewhere: fasting plasma glucose [16], fasting insulin, c-peptide, homeostasis model assessment of beta-cell function (HOMA-B), and homeostatic model assessment for insulin resistance (HOMA-IR) [19], glycated hemoglobin (HbA1c) [20], fasting triglycerides, low-density lipoprotein (LDL), high-density lipoprotein (HDL), total cholesterol [21] and leptin [22]. The women underwent a 75 g oral glucose tolerance test at gestational week 28 ± 2 and the glucose level were measured on-site in venous EDTA blood samples (HemoCue, Angelholm, Sweden) [16]. During data-collection, women with fasting glucose ≥ 7.0 mmol/L or 2-h values ≥ 9 mmol/L were referred to follow-ups in secondary care according to current recommendations at the time; World Health Organization (WHO) 1999 criteria [16, 23]. Women with 2-h values of 7.8–8.9 mmol/L were given lifestyle advice and referred to follow-up in primary care [16]. For analytic purposes in this paper, we re-classified GDM status based on the WHO 2013 criteria: fasting plasma glucose 5.1–6.9 mmol/L and/or blood glucose 8.5–11.0 mmol/L 2 h after the oral glucose tolerance test [24].
DNA isolation, DNA methylation, and genotyping
DNA was extracted using a salting out procedure [25], described previously [17]. DNA samples underwent bisulfite conversion using EZ DNA MethylationTM Kit (Zymo Research, Tustin, CA, USA) before being added onto Illumina’s MethylationEPIC (EPIC) BeadChip (San Diego, CA, USA) for analysis using Illumina’s GenomeStudio Software. All samples were placed randomly across chips to remove technical variation. Subsequently, the meffil [26] R package was used for (1) quality control; probes with detection p-value < 0.01, a bead count <3, sex mismatch >5 SD or genotype mismatch (n = 7 samples) were removed, (2) functional normalization, which return normalized data adjusted for batch effects (slide, row, column and 10 principal components), and (3) calculation of DNA methylation levels, represented as a beta (β) value of the fluorescent intensity ratio ranging from 0 (not methylated) to 1 (completely methylated). A total of 844,951 probes remained for the subsequent analysis. A total of 480 samples were available for subsequent analyses (312 samples of European ancestry and 168 of South Asian ancestry). DNA samples from 30 women were selected for technical replication analysis using pyrosequencing [17]. A total of 303 women of European ancestry and 164 women of South Asian ancestry had data on BMI at gestational week 28 ± 2 available for EWAS (Supplementary file 1, Supplementary Fig. 1).
DNA samples were genotyped using the Illumina Infinium CoreExome chip (San Diego, CA, USA) and the Illumina iScan software (San Diego, CA, USA) by the Department of Clinical Sciences, Clinical Research Centre, Lund University, Malmö, Sweden. Quality control and conversion to GWAS data were performed using the PLINK 1.9 software package [27]. European and South Asian ancestry was defined by informative principal component analysis based on the variance-standardized relationship matrix generated. Ancestry from principal components corresponded perfectly with self-reported ethnicity from the interview-administered questionnaire [17]. We excluded samples with low quality or low concentration, low call rates (< 95%), extreme heterozygosity (> mean ± (3x standard deviations[SD])|, n = 1), mismatched gender (n = 24, indicative of low quality and not true gender mismatch since all participants were pregnant women) or cryptic relatedness [one woman (chosen at random) from each related pair, defined as genome-wide identity by descent (IBD) > 0.185 (n = 6)]. After quality control, n = 293,914 variants were left for imputation. A total of 298 women of European ancestry (98.3%) and 138 women of South Asian ancestry (84.1%) passed the quality control and were available for mQTL analysis (Supplementary file 1, Supplementary Fig. 1).
Statistics
Statistical analyses were performed using R v.3.6.0 [28]. Beta-values were logit-transformed to M-values, and 212 CpGs were subsequently removed because of the resulting infinite values. For the EWAS analysis of GWG and BMI in pregnancy, linear regression analyses were performed using the R package “limma”[29], with M-values as the dependent variable. Correction for batch effect is described in the section of DNA isolation, DNA methylation, and genotyping. Covariates adjusted for in the analyses were age, smoking status (current smoker, smoked three months before pregnancy, former smoker, and never smoker), and cell type composition was estimated with the Houseman algorithm [30] with the R-package “meffil” [26]. GWG was in addition adjusted for BMI in gestational week 15. We first performed the EWAS of BMI and GWG in the women of European and South Asian ancestry separately, followed by fixed-effects meta-analyses using METAL [31]. We removed CpG sites with very low variance CpG sites were determined to have very low variance if they had a 1% range in beta values (DNA methylation level ranging from 0 to 1) between the 10th and 90th percentile based on the formula by Edgar et al. [32], and ended up with a total of 806 236 CpG sites. Using the Bonferroni method to correct for multiple testing, CpG sites from the EWAS were considered statistically significant if they reached a P-value of 0.05/806 236 = 6 × 10−8. The results were visualized using the QQman package v.0.1.8 [33].
We attempted replication and report all sites with a false discovery rate (FDR) of <5% in Supplementary file 1 since Bonferroni correction is conservative.
Replication in an independent cohort
The Norwegian Mother, Father and Child Cohort Study (MoBa) is a nationwide Norwegian pregnancy cohort study that between 1998 and 2008 recruited approximately 95,000 mothers, 75,000 fathers, and 114,000 children [34]. The cohort and data collection have been described in detail previously [34,35,36]. In a substudy of MoBa, the Study of Assisted Reproductive Technology (MoBa-START), DNA methylation levels were measured (and obtained) using the EPIC array in maternal peripheral blood drawn around gestational week 18 [37]. We focused on 877 samples from women of European ancestry who conceived naturally and were available for EWAS of BMI [37]. Further details on the MoBa questionnaires, sample collection, and quality control are presented in Supplementary File 1.
In the MoBa-START cohort, we performed linear regressions of self-reported BMI at gestational week 30 on DNA methylation in maternal peripheral blood leukocytes, with adjustment for maternal age at the time of birth (continuous), maternal smoking during pregnancy (never, former, quit before the 18th week of gestation, or continued smoking after the 18th week of gestation), and cell composition, estimated by FlowSorted.Blood.EPIC (https://github.com/immunomethylomics/FlowSorted.BloodExtended.EPIC).
CpG sites for further analyses
From the EWAS of BMI using a meta-analysis approach, we further explored CpG sites (p < 6 × 10−8) that were replicated in MoBa-START (p < 0.05). Since DNA methylation was quantified in week 18 in MoBa-START, before the gestational weight gain, MoBa-START was considered inappropriate for replication of the identified GWG related CpG site due to differences in the study design. Despite not having a replication cohort, we further explored identified CpG sites from the EWAS of GWG (p < 6 × 10−8). These sites are referred to as BMI or GWG related CpG sites. The BMI or GWG related CpG sites were further pursued for consistency across timepoints (pre-pregnancy BMI, p < 0.05), cardiometabolic parameters (see abowe, p < 0.05) and covariates (age, smoking, gestational week, parity and cell type, p < 0.05), associations with genotype (see below), pathways (see below) and look-up in databases (see below).
Association between replicated CpG sites and genotype (mQTL)
We performed linear regression separately in Europeans and South Asians using the R package GEM [38], adjusted for blood cell composition, age and smoking. BMI or GWG related CpG sites were queried, and we used genotypes post-imputation. Cis-mQTLs were defined as positioned <± 500,000 base pairs from the DNA methylation site, if further away within the same chromosome classified as trans-mQTLs. We report associations at p-value < 5 × 10−8. To prune the mQTLs, we used the SNPclip Tool in LDlink [39] to examine linkage disequilibrium for the identified genetic variants for Europeans and South Asians separately. The thresholds were set to the default of R2 0.1 and the minor allele frequency of 0.01. As reference populations, we used Utah Residents from North and West Europe (CEU) for Europeans [39], and Punjabi from Lahore, Pakistan (PJL), Sri Lankan Tamil from the UK (STU), and Indian Telugu from the UK (ITU) for South Asians [39].
We used Phenoscanner v.2 [40] to identify phenotypes associated with genetic variants from the mQTL analysis, with p < 0.001 as significance threshold. We used the rs-number of the most significant gene variant from the linkage disequilibrium analysis (R2 = 0.9).
Pathway enrichment analysis
Enrichment analyses were performed by first mapping the BMI or GWG related CpG sites (separately) to their nearest gene using the genoma database (https://genoma.io) [41]. The genes were then subjected to pathway enrichment analysis using hypergeometric tests for overlap with 50 well-established biological pathways obtained from MSigDB (“Hallmark pathways”) [42]. Gene ontology (GO) of molecular function, biological process, and cellular component, as well as the Kyoto Encyclopedia of Genes and Genome (KEGG), were searched to identify potential pathways. Identified pathways with a FDR of 5% were considered statistically significant.
Lookups in databases
We queried the replicated BMI or GWG related CpG sites in the goDMC-database (http://meQTLdb.godmc.org.uk/), EWAS catalog (http://ewascatalog.org/), EWAS atlas (https://ngdc.cncb.ac.cn/ewas/atlas) and Phenoscanner v.2 [40]. In the Phenoscanner, we used chromosome numbers and positions of the CpG sites. Results with a p-values < 0.05 were considered statistically significant.
Results
Sample characteristics
The characteristics of the 467 study participants with available BMI at gestational week 28 ± 2 are presented in Table 1, stratified by ancestry: 303 women of European ancestry and 164 women of South Asian ancestry.
Differentially methylated positions
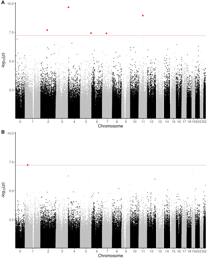
A total of 806,236 CpG sites were included in the EWASs of BMI and GWG (Fig. 1). The EWAS of BMI in women of European ancestry returned two significant CpG sites after Bonferroni correction (Table 2). The meta-analysis of BMI identified five CpG sites that were significant after Bonferroni correction (Table 2, Fig. 1). We found no evidence of systematic inflation in the EWAS of BMI of South Asian ancestry (λ = 0.933), however, some systematic inflation was observed in our analysis of BMI of European ancestry (λ = 1.318). For the EWAS of BMI, the cross-ancestry meta-analysis approach showed some systemic inflation (λ = 1.293).
Epigenome wide association study (EWAS) of body mass index (BMI) and DNA methylation of maternal peripheral blood leukocytes drawn in gestational week 28 ± 2 in women of European (A) and South Asian (B) ancestry. X-axis: chromosome position in ascending order from 1 to the left to X on the right, y-axis: −log10p-value, red line: Bonferroni-corrected p-value, blue line: FDR 5%, Red dots: CpG sites significantly associated with BMI using Bonferroni correction, blue dots: CpG sites significantly associated with the BMI after correction for FDR < 0.05.
For the EWAS of GWG using a meta-analysis approach, we identified one CpG site that was significant after Bonferroni correction (Table 2, Fig. 1). The ancestry specific EWAS of GWG in women of European and South Asian ancestry did not return any CpG sites after the Bonferroni correction. We found no evidence of systematic inflation in the EWAS of GWG, in the meta-analysis approach (λ = 1.157), in women of European ancestry (λ = 1.035), or of South Asian ancestry (λ = 0.951).
Replication
To validate our results, we attempted replication of our findings in MoBa-START. Three of the five BMI-related CpG sites (cg02786370, cg19758958, and cg10472537) were replicated in MoBa-START for BMI in gestational week 30 (Supplementary File 1, Supplementary Table 4).
Consistency across timepoints
To assess consistency in our findings, we did a look up of the BMI and GWG related CpG sites. In European women, all BMI related CpG sites were nominally associated with pre-pregnancy BMI (p < 0.05), and had β-coefficients in the same direction of effect as found in the cross-ancestry meta-analysis (Supplementary File 1, Supplementary Table 8). In the South Asian women, DNA methylation at two of the three BMI related CpG sites showed a robust association with pre-pregnancy BMI (p < 0.05), and both were in the same direction of effect (Supplementary File 1, Supplementary Table 8). In the EWAS of GWG in the women of South Asian ancestry, we found nominal significance for only one of the BMI related CpG sites (Supplementary File 1, Supplementary Table 7).
For the GWG related CpG site, we found no robust association with pre-pregnancy BMI or BMI at gestation week 28 ± 2 (Supplementary File 1, Supplementary Tables 6 and 9).
Association between replicated CpG sites and selected cardiometabolic parameters
We assessed associations between the BMI or GWG related CpG sites and clinically relevant phenotypes. The three BMI related CpG sites were also associated with several parameters related to cardiometabolic health (Supplementary File 1, Tables 10 to 12). HDL-cholesterol was positively associated with cg10472537, while DNA methylation of the three CpGs was negatively associated with BMI, blood pressure, triglycerides, and glucose-related traits (Supplementary File 1, Tables 10 to 12). Parity was not associated with any of the BMI or GWG related CpG sites (Supplementary File 1, Tables 10 to 13). The GWG related CpG site was associated with levels of C-peptide, insulin, HOMA-IR and gestational diabetes mellitus using WHO 2013 criteria (Supplementary File 1, Table 13). The tested CpG sites showed some association with the different cell types (Supplementary File 1, Tables 10 to 13). To verify that our results were not caused by limitations to the Houseman method for cell composition, we also performed the EWAS of BMI using an alternative method for cell type estimation, FlowSorted.Blood.EPIC (https://github.com/immunomethylomics/FlowSorted.BloodExtended.EPIC). There were minor differences in our main findings (Supplementary file 1, Supplementary Table 14). One of the three sites identified in the meta-analysis and replicated in MoBa was observed to be close to, but did not quite reach genome-wide significance using the Bonferroni correction (6 × 10−8) (Supplementary file 1, Supplementary Table 14).
Pathway analyses
To assess potential biologically relevant pathways associated with DNA methylation of BMI or GWG related CpG sites, we checked all sites significant using a cut-off of FDR 5% (Supplementary file 1, Supplementary Tables 1 and 2) for associated gene ontology pathways. None of the sites were significantly (FDR < 5%) associated with any gene ontology pathways.
Association between the three discovered CpG sites and genotype (mQTL)
To identify related genetic variants, we performed mQTL analysis of the BMI or GWG related CpG sites. DNA methylation of one of the three BMI related CpG sites, cg02786370, was associated with genetic variants (p-value < 5 × 10−8, Table 3); 231 genetic variants in cis and 81 in trans among the Europeans (Table 3). The identified genetic variants were in three linkage disequilibrium blocks (R2 ranging from 1.0 to 0.29). After pruning the results, one genetic variant remained from each block for lookups in the Phenoscanner. Phenotypes related to these genetic variants with nominal significance (p < 10−5) are displayed in Table 3. rs10119911, associated with cg02786370 in trans, was nominally significant in summary data from a previous GWAS of BMI [43, 44]. rs9472010 associated with cg02786370 in trans was nominally significant in summary data from a previous GWAS of coronary artery disease [45]. For the GWG related CpG site, cg16733643, we identified 418 mQTLs in cis, and we were left with eleven variants from eleven linkage disequilibrium blocks (R2 ranging from 1.0 to 0.15) after pruning, none of the gene variants were previously associated with any phenotype.
Lookups in databases
To assess previous associations between the BMI and GWG related CpG sites, we searched for phenotypes in EWAS catalog, EWAS atlas, GoDMC database and Phenoscanner. In the EWAS atlas, smoking has previously been identified in association with hypomethylation of cg02786370 (PMID: 33593402) and cg19758958 (PMID: 33593402 and 33823916). Hypermethylation of cg16733643 is previously associated with preterm birth (PMID: 28428831) and Down syndrome (PMID: 29601581), while hypomethylation is previously associated with estrogen exposure (PMID: 31039828). We found no hits for any of the replicated CpG sites in EWAS catalog, GoDMC database, or Phenoscanner.
Discussion
To the best of our knowledge, this is the first EWAS of BMI and GWG during pregnancy. In a cross-ancestry meta-analysis, we identified five CpG sites whose DNA methylation levels were associated with BMI at the beginning of the third trimester of pregnancy after Bonferroni correction, three of which were replicated in an independent cohort (comprising mainly European participants). We also identified one CpG site significant after Bonferroni correction in the EWAS of GWG. However, we were not able to attempt replication of this site in MoBa-START due to different cohort designs (DNA methylation quantified before or after the GWG). Two of the three BMI related CpG sites were robustly associated with BMI across different time points before and during pregnancy in samples from women of both South Asian and European ancestry. All three BMI related sites were negatively associated with blood pressure, glucose-related traits, and triglycerides, and positively with HDL-cholesterol levels. cg02786370 was associated with rs10119911 and rs9472010 which were nominally significant in association with BMI [43, 44] and coronary artery disease [45], respectively, in look-ups of GWAS summary data. The GWG related CpG site showed association with glucose related parameters.
Two of the three BMI related CpG sites were located in annotated genes with a NCBI summary of function. The CpG site, cg02786370, is located in the ‘TNFAIP3 Interacting Protein 2’ (TNIP2) gene [46]. Its expression inhibits the activation of Nuclear Factor-kappa-B, a transcription factor involved in inflammation and apoptosis [46]. The GWAS Catalog [47] shows that this gene was associated with systolic blood pressure in a study of 750,000 individuals [48]. In our analysis, cg02786379 was negatively associated with systolic blood pressure. Despite finding an association, we cannot conclude on causation. Also, the location of the CpG sites in the open sea region makes it difficult to hypothesize on potential direction of effect on gene expression. The CpG site cg19758958 is located in the promoter region of the gene AHNAK nucleoprotein (AHNAK), which encodes a structural scaffold protein that may be involved in cell structure and migration, blood-brain barrier, tumor metastasis, and cardiac calcium channels [49]. Interestingly, data from the GWAS Catalog [47] shows that this gene has been associated with BMI [50] and HDL-cholesterol [51] in a study using data from the United Kingdom biobank. However, we did not find a significant association between DNA methylation levels of cg19758958 and HDL-cholesterol in our analyses. Our search in the EWAS atlas revealed some previous associations between smoking and hypomethylation of cg0278360 and cg19758958. Despite our efforts to control for smoking in our analyses, we cannot rule out that the results are somehow influenced by smoking.
A bidirectional Mendelian Randomization study suggested that most BMI-associated CpG sites were induced by being overweight, and not that DNA methylation levels impact BMI [11]. Our identified mQTLs may indicate the opposite, although our cross-sectional design does not allow us to conclude on causality. We found several genetic variants associated with DNA methylation at the replicated cg02786379 in both cis and trans in Europeans, as well as for cg16733643 suggesting a genetic component influencing differential methylation, that in turn may influence BMI and/or GWG, and further studies should explore how mQTLs and DNA methylation may affect complex traits. Interestingly, genetic variants related to cg02786379 were nominally associated with BMI [43, 44] and coronary artery disease [45], in GWAS summary data, although they did not reach genome-wide significance. Hence, EWAS may help identify disease-related genetic variants which may be important to understanding disease mechanisms and to develop potential candidates for prevention or treatment. The datasets used for the GWAS of BMI and coronary artery disease consist largely of individuals of European ancestry [43, 45]. There are differences in allele frequencies, linkage disequilibrium, and differentially methylated CpG sites across ancestry [43, 52]. To address the systematic difference between women of European and South Asian ancestry and retain the statistical power, we combined and performed a meta-analysis of the EWAS of BMI in European and South Asian women. Despite that none of the CpG sites was statistically significant in the EWAS of BMI in Europeans and South Asians separately, all but one of the effect sizes were in the same direction of effect across ancestry. Our study indicates that a cross-ancestry approach may potentiate the possibility of identifying true positive variants that are replicated in independent cohorts.
We found no overlap between the 42 CpG sites associated with BMI at the FDR < 5% and the top 76 CpG sites identified in a meta-analysis of 18 studies of BMI and/or waist circumference in non-pregnant populations [10]. The lack of overlap could be due to epigenetic differences in men and women, as a twin study has suggested sex-specific genetic factors that influence variation in BMI [53]. In this context, it can be hypothesized that the differentially methylated CpG sites are linked to mechanisms specific to pregnancy. However, as many of the CpG sites were also associated with pre-pregnancy BMI, combined with the lack of CpG sites associated with GWG, the identified CpG sites could be specific to BMI in females of reproductive age, and not specific to pregnancy.
The strengths of this study are the high participation rate which minimizes the risk of selection bias as well as a wide distribution of BMI levels. In addition, several of the CPG sites were consistently associated with BMI at different time points. The phenotypically well-characterized sample enabled exploration of associations with cardiometabolic factors, and the use of measured height and weight for calculation of BMI gives more accurate values than self-reported BMI. Since there is a strong and well-known clinical association between BMI and cardiometabolic parameters, our association analyses of methylated CpG sites and association to cardiometabolic parameters are prone to confounding. Our results can only indicate a multifactorial and complex interplay between biological mechanisms and clinical outcomes related to body composition. An important limitation of our study is that gained fat mass and fluid retention may vary largely among pregnant women [54], and BMI in week 28 may capture different weight gain mechanisms in different women. GWG is a combination of the placenta, fetus, and amniotic fluid, as well as hypertrophy and hyperplasia of maternal tissues [55]. However, during the first and second trimester, most of the GWG is due to maternal components, where growth of the uterus and breasts and expansion of blood volume account for a larger proportion than fat accumulation [55]. Variations in fat mass and fluid retention may have been especially challenging for GWG, and our one significant CpG site has not been validated in an independent cohort. The lack of significant results in the EWAS of GWG could be due to both inter- and intraindividual differences in tissue composition. Further, our sample has limited statistical power and can only detect CpG sites with high effect sizes and low variation [12]. We cannot rule out that the two sites that did not replicate in MoBa-START are due to different timing of sampling (week 28 in EPIPREG vs week 18 in MoBa-START), however, this is not likely due to the robustness across BMI timepoints in our sample. In addition, it is important to note that we cannot by using estimates and not actual measurement of cell composition rule out that the DNA methylation sites we discover here are driven by differences in cell composition. As of now, there is no consensus in the epigenetic research field on preferred method for correction. Our results persisted after adjustment for a different estimation method for cell composition, suggesting that our findings are robust despite limitations to the Houseman method.
Conclusion
We identified one CpG site associated with GWG from pre-pregnancy to gestational week 28, and five CpG sites associated with BMI in gestational week 28 after Bonferroni correction, where three were replicated in an independent cohort. cg02786370 is located in the gene TNFAIP3, which has previously been associated with higher blood pressure. The CpG site cg19758958 is located in the promoter region of the gene AHNAK that was associated with HDL cholesterol and BMI. We identified associated mQTLs to cg02786370 which was associated with BMI and coronary artery disease with nominal significance in GWAS summary data. Methylation at the CpG sites identified was also associated with cardiometabolic parameters in our material such as blood pressure, blood lipids, and blood glucose levels.
Data availability
Due to strict regulations for genetic data and privacy protection of patients in Norway, all requests for data access are processed by the STORK Groruddalen project’s steering committee. Data access requests can be filed to the primary investigator of STORK Groruddalen (a.m.l.brand@medisin.uio.no) or the primary investigator of EPIPREG (christine.sommer@medisin.uio.no). The data in the MoBa START project used for replication analyses in this study is available from NIPH, but restrictions apply regarding the availability of these data. Access can be obtained by applying to NIPH at https://www.fhi.no/en/studies/moba/. Access can only be given after approval by the Norwegian Ethical committees on the grounds that the applications are consistent with the consent provided.
References
Weiss JL, Malone FD, Emig D, Ball RH, Nyberg DA, Comstock CH, et al. Obesity, obstetric complications and cesarean delivery rate–a population-based screening study. Am J Obstet Gynecol. 2004;190:1091–7.
Brunner S, Stecher L, Ziebarth S, Nehring I, Rifas-Shiman SL, Sommer C, et al. Excessive gestational weight gain prior to glucose screening and the risk of gestational diabetes: a meta-analysis. Diabetologia. 2015;58:2229–37.
Lisonkova S, Razaz N, Sabr Y, Muraca GM, Boutin A, Mayer C, et al. Maternal risk factors and adverse birth outcomes associated with HELLP syndrome: a population-based study. BJOG. 2020;127:1189–98.
Catalano PM, Farrell K, Thomas A, Huston-Presley L, Mencin P, de Mouzon SH, et al. Perinatal risk factors for childhood obesity and metabolic dysregulation. Am J Clin Nutr. 2009;90:1303–13.
Mamun AA, Kinarivala M, O’Callaghan MJ, Williams GM, Najman JM, Callaway LK. Associations of excess weight gain during pregnancy with long-term maternal overweight and obesity: evidence from 21 y postpartum follow-up. Am J Clin Nutr. 2010;91:1336–41.
Yaniv-Salem S, Shoham-Vardi I, Kessous R, Pariente G, Sergienko R, Sheiner E. Obesity in pregnancy: what’s next? Long-term cardiovascular morbidity in a follow-up period of more than a decade. J Matern Fetal Neonatal Med. 2016;29:619–23.
Harville EW, Apolzan JW, Bazzano LA. Maternal pre-pregnancy cardiovascular risk factors and offspring and grandoffspring health: Bogalusa daughters. Int J Environ Res Public Health. 2018;16:15.
Warrington NM, Richmond R, Fenstra B, Myhre R, Gaillard R, Paternoster L, et al. Maternal and fetal genetic contribution to gestational weight gain. Int J Obes. 2018;42:775–84.
Dick KJ, Nelson CP, Tsaprouni L, Sandling JK, Aissi D, Wahl S, et al. DNA methylation and body-mass index: a genome-wide analysis. Lancet. 2014;383:1990–8.
Do WL, Gohar J, McCullough LE, Galaviz KI, Conneely KN, Narayan KMV. Examining the association between adiposity and DNA methylation: a systematic review and meta-analysis. Obesity Rev. 2021;22:e13319.
Wahl S, Drong A, Lehne B, Loh M, Scott WR, Kunze S, et al. Epigenome-wide association study of body mass index, and the adverse outcomes of adiposity. Nature. 2017;541:81–6.
Opsahl JO, Moen GH, Qvigstad E, Böttcher Y, Birkeland KI, Sommer C. Epigenetic signatures associated with maternal body mass index or gestational weight gain: a systematic review. J Dev Orig Health Dis. 2021;12:373–83.
Spielman RS, Bastone LA, Burdick JT, Morley M, Ewens WJ, Cheung VG. Common genetic variants account for differences in gene expression among ethnic groups. Nat Genet. 2007;39:226–31.
Rosenberg NA, Huang L, Jewett EM, Szpiech ZA, Jankovic I, Boehnke M. Genome-wide association studies in diverse populations. Nat Rev Genet. 2010;11:356–66.
Smith AK, Kilaru V, Kocak M, Almli LM, Mercer KB, Ressler KJ, et al. Methylation quantitative trait loci (meQTLs) are consistently detected across ancestry, developmental stage, and tissue type. BMC Genom. 2014;15:145.
Jenum AK, Sletner L, Voldner N, Vangen S, Mørkrid K, Andersen LF, et al. The STORK Groruddalen research programme: a population-based cohort study of gestational diabetes, physical activity, and obesity in pregnancy in a multiethnic population. Rationale, methods, study population, and participation rates. Scand J Public Health. 2010;38:60–70.
Fragoso-Bargas N, Opsahl JO, Kiryushchenko N, Böttcher Y, Lee-Ødegård S, Qvigstad E, et al. Cohort profile: epigenetics in pregnancy (EPIPREG) - population-based sample of European and South Asian pregnant women with epigenome-wide DNA methylation (850k) in peripheral blood leukocytes. PLoS ONE. 2021;16:e0256158.
Waage CW, Mdala I, Jenum AK, Michelsen TM, Birkeland KI, Sletner L. Ethnic differences in blood pressure from early pregnancy to postpartum: a Norwegian cohort study. J Hypertens. 2016;34:1151–9.
Mørkrid K, Jenum AK, Sletner L, Vårdal MH, Waage CW, Nakstad B, et al. Failure to increase insulin secretory capacity during pregnancy-induced insulin resistance is associated with ethnicity and gestational diabetes. Eur J Endocrinol. 2012;167:579–88.
Jenum AK, Mørkrid K, Sletner L, Vangen S, Torper JL, Nakstad B, et al. Impact of ethnicity on gestational diabetes identified with the WHO and the modified international association of diabetes and pregnancy study groups criteria: a population-based cohort study. Eur J Endocrinol. 2012;166:317–24.
Sommer C, Sletner L, Mørkrid K, Jenum AK, Birkeland KI. Effects of early pregnancy BMI, mid-gestational weight gain, glucose and lipid levels in pregnancy on offspring’s birth weight and subcutaneous fat: a population-based cohort study. BMC Pregnancy Childbirth. 2015;15:84.
Sommer C, Jenum AK, Waage CW, Mørkrid K, Sletner L, Birkeland KI. Ethnic differences in BMI, subcutaneous fat, and serum leptin levels during and after pregnancy and risk of gestational diabetes. Eur J Endocrinol. 2015;172:649–56.
World Health O. Definition, diagnosis and classification of diabetes mellitus and its complications: report of a WHO consultation. Part 1, Diagnosis and classification of diabetes mellitus. Geneva: World Health Organization; 1999.
World Health Organization. Diagnostic criteria and classification of hyperglycaemia first detected in pregnancy: a world health organization guideline. Diabetes Res Clin Pract. 2014;103:341–63.
Miller SA, Dykes DD, Polesky HF. A simple salting out procedure for extracting DNA from human nucleated cells. Nucleic Acids Res. 1988;16:1215.
Min JL, Hemani G, Davey Smith G, Relton C, Suderman M. Meffil: efficient normalization and analysis of very large DNA methylation datasets. Bioinformatics. 2018;34:3983–9.
Purcell S, Neale B, Todd-Brown K, Thomas L, Ferreira Manuel AR, Bender D, et al. PLINK: a tool set for whole-genome association and population-based linkage analyses. Am J Hum Genet. 2007;81:559–75.
Team RC. R: a language and environment for statistical computing. 3.6.0 ed. Vienna, Austria: R Foundation for Statistical Computing; 2019.
Ritchie ME, Phipson B, Wu D, Hu Y, Law CW, Shi W, et al. Limma powers differential expression analyses for RNA-sequencing and microarray studies. Nucleic Acids Res. 2015;43:e47–e.
Houseman EA, Accomando WP, Koestler DC, Christensen BC, Marsit CJ, Nelson HH, et al. DNA methylation arrays as surrogate measures of cell mixture distribution. BMC Bioinform. 2012;13:86.
Willer CJ, Li Y, Abecasis GR. METAL: fast and efficient meta-analysis of genomewide association scans. Bioinformatics. 2010;26:2190–1.
Edgar RD, Jones MJ, Robinson WP, Kobor MS. An empirically driven data reduction method on the human 450K methylation array to remove tissue specific non-variable CpGs. Clin Epigenetics. 2017;9:11.
Turner SD. qqman: an R package for visualizing GWAS results using Q-Q and Manhattan plots. Preprint at bioRxiv. 2014. https://doi.org/10.1101/005165.
Magnus P, Birke C, Vejrup K, Haugan A, Alsaker E, Daltveit AK, et al. Cohort profile update: the Norwegian mother and child cohort study (MoBa). Int J Epidemiol. 2016;45:382–8.
Magnus P, Irgens LM, Haug K, Nystad W, Skjaerven R, Stoltenberg C. Cohort profile: the Norwegian mother and child cohort study (MoBa). Int J Epidemiol. 2006;35:1146–50.
Rønningen KS, Paltiel L, Meltzer HM, Nordhagen R, Lie KK, Hovengen R, et al. The Biobank of the Norwegian mother and child cohort study: a resource for the next 100 years. Eur J Epidemiol. 2006;21:619–25.
Håberg SE, Page CM, Lee Y, Nustad HE, Magnus MC, Haftorn KL, et al. DNA methylation in newborns conceived by assisted reproductive technology. Nat Commun. 2022;13:1896.
Pan H, Holbrook JD, Karnani N, Kwoh CK. Gene, environment and methylation (GEM): a tool suite to efficiently navigate large scale epigenome wide association studies and integrate genotype and interaction between genotype and environment. BMC Bioinform. 2016;17:299.
Machiela MJ, Chanock SJ. LDlink: a web-based application for exploring population-specific haplotype structure and linking correlated alleles of possible functional variants. Bioinformatics. 2015;31:3555–7.
Kamat MA, Blackshaw JA, Young R, Surendran P, Burgess S, Danesh J, et al. PhenoScanner V2: an expanded tool for searching human genotype–phenotype associations. Bioinformatics. 2019;35:4851–3.
Cuéllar-Partida G, Lundberg M, Kho PF, D’Urso S, Gutiérrez-Mondragón LF, Ngo TT, et al. Complex-traits genetics virtual lab: a community-driven web platform for post-GWAS analyses. Preprint at bioRxiv. 2019. https://doi.org/10.1101/518027.
Liberzon A, Birger C, Thorvaldsdottir H, Ghandi M, Mesirov JP, Tamayo P. The molecular signatures database (MSigDB) hallmark gene set collection. Cell Syst. 2015;1:417–25.
Locke AE, Kahali B, Berndt SI, Justice AE, Pers TH, Day FR, et al. Genetic studies of body mass index yield new insights for obesity biology. Nature. 2015;518:197–206.
Winkler TW, Justice AE, Graff M, Barata L, Feitosa MF, Chu S, et al. The influence of age and sex on genetic associations with adult body size and shape: a large-scale genome-wide interaction study. PLoS Genet. 2015;11:e1005378.
van der Harst P, Verweij N. Identification of 64 novel genetic loci provides an expanded view on the genetic architecture of coronary artery disease. Circ Res. 2018;122:433–43.
TNIP2 TNFAIP3 interacting protein 2 [Homo sapiens (human)] www.ncbi.nlm.nih.gov: National library of medicine. 2022. https://www.ncbi.nlm.nih.gov/gene/79155.
MacArthur J, Bowler E, Cerezo M, Gil L, Hall P, Hastings E, et al. The new NHGRI-EBI catalog of published genome-wide association studies (GWAS catalog). Nucleic Acids Res. 2017;45:D896–d901.
Giri A, Hellwege JN, Keaton JM, Park J, Qiu C, Warren HR, et al. Trans-ethnic association study of blood pressure determinants in over 750,000 individuals. Nat Genet. 2019;51:51–62.
AHNAK AHNAK nucleoprotein [Homo sapiens (human)] www.ncbi.nlm.nih.gov: National Library of Medicine; 2022. https://www.ncbi.nlm.nih.gov/gene/79026.
Lotta LA, Wittemans LBL, Zuber V, Stewart ID, Sharp SJ, Luan J, et al. Association of genetic variants related to gluteofemoral vs abdominal fat distribution with type 2 diabetes, coronary disease, and cardiovascular risk factors. JAMA. 2018;320:2553–63.
Richardson TG, Sanderson E, Palmer TM, Ala-Korpela M, Ference BA, Davey Smith G, et al. Evaluating the relationship between circulating lipoprotein lipids and apolipoproteins with risk of coronary heart disease: a multivariable Mendelian randomisation analysis. PLoS Med. 2020;17:e1003062.
Daca-Roszak P, Jaksik R, Paczkowska J, Witt M, Ziętkiewicz E. Discrimination between human populations using a small number of differentially methylated CpG sites: a preliminary study using lymphoblastoid cell lines and peripheral blood samples of European and Chinese origin. BMC Genom. 2020;21:706.
Schousboe K, Willemsen G, Kyvik KO, Mortensen J, Boomsma DI, Cornes BK, et al. Sex differences in heritability of BMI: a comparative study of results from twin studies in eight countries. Twin Res. 2003;6:409–21.
Hytten FE. Weight gain in pregnancy. In: Hytten G, editor. Clinical physiology in obstetrics. Oxford, London, Edinburgh, Boston: Blackwell Scientific Publications; 1980. p. 193-227.
Pitkin RM, Kaminetzky HA, Newton M, Pritchard JA. Maternal nutrition. A selective review of clinical topics. Obstet Gynecol. 1972;40:773–85.
Acknowledgements
We would like to thank the women who participated in the STORK Groruddalen study, Maria Sterner, Malin Neptin, and Gabriella Gremsperger at the Genomics Diabetes and Endocrinology CRC, Malmö, for the wet lab experiments of the bead chips. We thank Leif C. Groop, Lund University, Malmö, Sweden, for facilitating the wet lab experiments for the genotyping and DNA methylation screening. The Norwegian Mother, Father and Child Cohort Study is supported by the Norwegian Ministry of Health and Care Services and the Ministry of Education and Research. We are grateful to all the participating families who take part in this on-going cohort study.
Author information
Authors and Affiliations
Contributions
CS, GHM and JOO contributed to the conceptualization and design of this sub-study. CS and KIB designed the EPIPREG sample. CS, EQ and KIB acquired genotype and DNA methylation data in STORK G. JOO, GHM, NFB and SLØ conducted the statistical analyses in EPIPREG. JOO and NL conducted the technical validation. JOO drafted the manuscript. YL and EØC contributed to study design and conducted the analysis in the Mother Father and Child cohort. RBP facilitated the quantification of methylation and genotype data. NFB and SLØ curated EPIPREG data. GHM performed the QC of the genomic data and imputation in EPIPREG KIB and AKJ designed the STORK G project. LS contributed with data acquisition in STORK-G. CS is the guarantor of this work and, as such, had full access to all the data in the study and takes responsibility for the integrity of the data and the accuracy of the data analysis. All authors revised the manuscript critically and approved the final version.
Corresponding author
Ethics declarations
Competing interests
The authors declare that there is no conflict of interest that could be perceived as prejudicing the impartiality of the reported research. J.O.O. is supported by the Norwegian Research Council (Medical Student Research Program, grant 271555/F20). G.H.M. is supported by the Norwegian Research Council (Post doctorial mobility research grant 287198) and Nils Normans minnegave. E.O.C. and Y.L. are funded by the Research Council of Norway through its Centres of Excellence funding scheme, project number 262700. R.B.P. is supported by the European Foundation for Study of Diabetes/Novo Nordisk Program for Diabetes Research in Europe (EFSD-NN 2017) and Swedish Research Council as PI (5200000 SEK : 2021–2025) Diarienummer: 2021-02623. EPIPREG is supported by the South Eastern Norway Regional Health Authority (grant number: 2019092) and the Norwegian Diabetes Association.
Additional information
Publisher’s note Springer Nature remains neutral with regard to jurisdictional claims in published maps and institutional affiliations.
Supplementary information
Rights and permissions
Open Access This article is licensed under a Creative Commons Attribution 4.0 International License, which permits use, sharing, adaptation, distribution and reproduction in any medium or format, as long as you give appropriate credit to the original author(s) and the source, provide a link to the Creative Commons license, and indicate if changes were made. The images or other third party material in this article are included in the article’s Creative Commons license, unless indicated otherwise in a credit line to the material. If material is not included in the article’s Creative Commons license and your intended use is not permitted by statutory regulation or exceeds the permitted use, you will need to obtain permission directly from the copyright holder. To view a copy of this license, visit http://creativecommons.org/licenses/by/4.0/.
About this article
Cite this article
Opsahl, J.O., Fragoso-Bargas, N., Lee, Y. et al. Epigenome-wide association study of DNA methylation in maternal blood leukocytes with BMI in pregnancy and gestational weight gain. Int J Obes 48, 584–593 (2024). https://doi.org/10.1038/s41366-024-01458-x
Received:
Revised:
Accepted:
Published:
Version of record:
Issue date:
DOI: https://doi.org/10.1038/s41366-024-01458-x
This article is cited by
-
The role of placental DNA methylation in the pathogenesis of chronic intervillositis of unknown etiology
Clinical Epigenetics (2025)



