Abstract
Oxytocin (OT) is a neuropeptide widely implicated in emotional regulation and social cognition. However, its effects on dynamic brain connectivity remain poorly understood. In this study, we applied co-activation pattern (CAP) analysis to resting-state fMRI data to examine how a single intranasal dose of OT modulates whole-brain functional dynamics. Participants included healthy young (18–31 years) and older (63–81 years) adults, with analyses conducted at both the group level and across age subgroups. OT significantly altered temporal properties of brain states, including increased frequency, in-degree, and out-degree in multiple CAPs, indicating enhanced network flexibility and switching. Notably, OT modulated states involving the amygdala, medial prefrontal cortex, and salience network, regions critical for emotion regulation, and increased self-transition probabilities, suggesting greater within-state stability. Age-stratified analysis revealed differential sensitivity: young adults exhibited more pronounced modulation and greater dynamic flexibility, while older adults showed more sustained engagement with emotion-related states. Importantly, only in the elderly OT and combined young subgroups did time spent in these states significantly correlate with cognitive performance on the Digit Symbol Substitution Test, suggesting that OT-enhanced engagement in these networks supports compensatory mechanisms during aging. No such correlations were found in young participants or in either age group under placebo, highlighting the specificity of oxytocin’s functional relevance in older adults. Meta-analytic decoding using Neurosynth confirmed that OT-modulated regions are closely associated with emotion, memory, and social cognition. These findings demonstrate that OT shapes transient brain dynamics in age- and function-specific ways. CAP analysis provides a powerful approach for capturing such neuromodulatory effects.
Similar content being viewed by others
Introduction
The neuropeptide oxytocin continues to receive considerable scientific attention due to its vital role in social cognition and emotional regulation, as well as its therapeutic promise for neuropsychiatric conditions marked by deficits in these domains [1, 2]. A growing body of research has shown that oxytocin enhances social behaviors such as trust, empathy, and emotion recognition [3,4,5].
Accumulating evidence from functional neuroimaging studies suggests that oxytocin modulates large-scale brain networks, particularly within circuits supporting attention, salience detection, and social-emotional processing. Notably, intranasal oxytocin has been shown to alter the topography of resting-state networks, enhancing connectivity between the amygdala and medial prefrontal cortex (mPFC) [6, 7], two hubs critical for emotion regulation and top-down control of social behavior [8,9,10,11], highlighting the effect of oxytocin on the human functional connectome and suggesting its capacity to influence brain connectivity dynamically. Furthermore, the prevalence of oxytocin receptors in the amygdala supports its function in coordinating emotional responses and cognitive processing, which aligns with findings from studies noting the role of oxytocin in modulating amygdala responses to emotional stimuli [12, 13]. These effects are particularly relevant across the adult lifespan, as both emotional resilience and functional connectivity within these circuits are known to decline with age [14]. Also, in clinical populations, such as individuals with autism, oxytocin administration has been linked to improvements in social cognition[1, 15].
While many existing oxytocin studies have relied on stationary functional connectivity measures [16]. Such approaches average neural interactions across the entire scan, masking the moment-to-moment fluctuations that characterize the temporal brain functioning. This limitation is particularly critical in pharmacological studies, where transient neuromodulatory effects may influence brain states in short-lived but functionally meaningful ways. To overcome these limitations, recent research has shifted toward dynamic functional connectivity (dFC), which captures temporal variability in connectivity using sliding-window correlations [17, 18]. In addition, dFC has revealed that brain networks reconfigure dynamically even at rest, and such flexibility may reflect an individual’s cognitive and emotional adaptability.
However, sliding-window methods impose arbitrary constraints on temporal resolution and may overlook brief, discrete network events. Co-activation pattern (CAP) analysis offers a complementary and more temporally precise alternative. Rather than relying on correlations over time windows, CAP analysis identifies recurring whole-brain states by clustering single-frame BOLD volumes based on spatial similarity [19,20,21]. This allows for direct assessment of spatially distinct, transient brain states and their dynamic transitions, making it particularly well-suited for detecting short-lived effects of pharmacological agents such as oxytocin. Furthermore, CAP analysis has been applied to clinical populations, shedding light on altered brain dynamics in various neuropsychiatric disorders, thereby enhancing our understanding of their underlying pathophysiology [22,23,24,25].
Despite the promise of dynamic methods, only a few oxytocin studies have explicitly investigated how oxytocin modulates brain state dynamics during resting-state networks [10] demonstrated that oxytocin influences intrinsic and directional connectivity among large-scale networks, including the salience, default mode, and executive control networks. Likewise, [14] showed that oxytocin modulates age-related differences in amygdala–mPFC connectivity during emotional face processing. However, neither study fully addressed the large-scale transient co-activation network states nor examined age-dependent brain dynamics.
Moreover, evidence suggests that oxytocin improves emotional recognition abilities in older men but has little effect on older women or young individuals [26]. As individuals age, they often experience cognitive declines, including reductions in learning efficiency, working memory, executive functioning, and cognitive processing speed. However, older adults maintain or even improve some socio-affective capacities, such as emotional problem-solving skills [27] and emotion-regulatory capacities [28, 29]. They also report more frequent positive emotions relative to negative ones [30].
The current study addresses this gap by applying CAP analysis to resting-state fMRI data in a placebo-controlled oxytocin study spanning younger and older adults. By characterizing both the spatial architecture and temporal properties of CAP states, we aim to reveal how oxytocin modulates large-scale brain dynamics, particularly in circuits implicated in emotion and cognitive control. We hypothesize that the administration of oxytocin will modulate the CAPs of brain regions involved in emotion regulation, particularly the amygdala and mPFC, between young and older adults. Specifically, we expect that young adults will exhibit greater resilience and stability in emotion-regulation-related CAPs, characterized by enhanced connectivity between the amygdala and mPFC, compared to older adults. In contrast, older adults may show diminished dynamic connectivity in these networks under oxytocin, potentially reflecting age-related reductions in neuroplasticity and the modulatory capacity of oxytocin. Additionally, we hypothesize that the effects of oxytocin on CAPs will be more pronounced in young adults, leading to more flexible transitions between brain States and enhanced emotional processing.
Method
Participants
To investigate the effects of oxytocin across different age groups, we analyzed data from the Single Dose Intranasal Oxytocin Administration (SDIOA) dataset. The SDIOA dataset was collected between August 2013 and October 2014 at the Department of Psychology, the Institute on Aging, and the McKnight Brain Institute at the University of Florida, as part of a larger clinical study (https://openneuro.org/datasets/ds004725/versions/1.0.1).
The study examined the effects of a single intranasal dose of oxytocin (24 international units) versus placebo on brain and behavioral outcomes in healthy younger and older adults. The final sample included 44 younger adults (aged 18–31 years; 48% female) and 43 older adults (aged 63–81 years; 56% female). Participants were recruited from the Gainesville, FL community and were screened to ensure the absence of neurological or psychiatric disorders and the ability to provide written informed consent. All older participants scored ≥30 on the Telephone Interview for Cognitive Status [31], administered during an initial eligibility screening conducted by phone. Young women were premenopausal, and older women were postmenopausal. Additional exclusion criteria included contraindications to MRI, pregnancy, breastfeeding, severe medical conditions, excessive alcohol or tobacco use, and known allergies to nasal spray preservatives. All participants were debriefed and compensated upon completion of the study. The study was approved by the University of Florida Institutional Review Board (IRB#39–2013), registered with the U.S. Food and Drug Administration (IND #100860), and pre-registered on ClinicalTrials.gov (NCT01823146).
Additionally, to validate the observed drug-related psychological effects, we utilized data from the Nathan Kline Institute/Rockland Sample (NKI–RS; [32]).
The Dataset NKI-RS (http://fcon_1000.projects.nitrc.org/indi/pro/nki.html) has been used in several recent studies on age-related changes in brain function [33,34,35,36]. To investigate the effects of oxytocin on these age-related changes, we used this dataset to perform a comparative analysis. The results of the analysis are provided in the Supplementary Materials.
Data analysis
fMRI Data acquisition
Anatomical data were collected in the first 10 min using a high-resolution three-dimensional T1w scan (MP-RAGE sequence: sagittal plane, TR/TE/TI = 7/3.2/2750 ms, flip angle = 8°, in-plane FOV = 240 mm × 240 mm, 240 × 240 imaging matrix, 170 contiguous sagittal slices, 1 mm slice thickness, 1 x 1 x 1 mm3 isotropic voxels). Resting-State scans were acquired using a single-shot gradient echo, echo-planar imaging sequence sensitized to blood oxygenation level-dependent (BOLD) contrast (TR = 2000 ms, TE = 30 ms, flip angle = 90°, in-plane FOV = 240 × 240 mm, 80 × 80 matrix size, 3 x 3 x 3 mm3 isotropic voxels, 38 interleaved axial slices, no inter-slice gap). Each subject scan included 4 dummy scans at the beginning and end, each lasting one TR (2000 ms). The resting-state scan occurred 70–90 min post-spray administration and lasted about 8 min, acquiring 240 time points. Participants lay supine and were instructed to relax and focus on a white fixation cross on a black screen.
fMRI data preprocessing
SDIOA datasets employed the preprocessing pipeline: resting-state fMRI data were preprocessed using DPABI (http://rfmri.org/dpabi) with the following steps: Removal of the beginning and end 10 time points (including the removal of the 4 dummy scans leading to 220 time points remaining), realignment, coregistration of T1 image to functional image, T1 segmentation by DARTEL, normalization of functional images by T1 DARTEL, nuisance regression (including 24 head motion parameters, mean white matter (WM) and mean cerebrospinal fluid (CSF) signals, both with and without global signal regression (GSR)), detrending, band-pass filtering (0.01–0.08 Hz), and smoothing with a 6 mm FWHM kernel. We excluded two participants due to different time points and another six participants due to excessive head motion involving rotation > 2°, and translation > 2 mm, and considering the mean FD calculated by the Jenkinson method(Mean FD = 0.16), we retained samples with values within two standard deviations; one subject was removed (FD > 0.32). Resulting in a final sample of 78 participants: 41 young adults (M = 22.7 years, SD = 3.02) and 37 older adults (M = 71.2 years, SD = 5.19).
Then participants were divided into two groups for CAP analysis: oxytocin group (OT: n = 40; aged 18–80 years; 51% female) and placebo group (PL: n = 38; aged 18–81 years; 55% female). Additionally, within the OT group, participants were divided into young (n = 23; aged 18–23 years; 48% female) and old (n = 17; aged 60–80 years; 52% female) subgroups.
For the NKI–RS dataset, we identified 85 participants meeting inclusion criteria, with balanced age and gender distributions, from the initial 1400-subject cohort. All NKI–RS subjects were preprocessed using the same standardized pipeline as the oxytocin–placebo data to ensure methodological consistency. After excluding ineligible participants, the final sample was randomly down-sampled to match the SDIOA group in size and demographic composition.
Whole-brain Co-activation pattern analysis
We applied CAP analysis to identify recurring States across time points with similar whole-brain coactivation patterns. The approach consists of the following two steps: (i) generating the group-level templates of brain coactivation States based on the PL group and (ii) estimating individual-specific brain States metrics.
Generating group template of brain States
To define regions of interest (ROIs), we constructed a composite brain mask consisting of 400 cortical parcels and bilateral amygdala ROIs. Cortical regions were defined using the Schaefer-400 atlas (3-mm resolution), which was directly downloaded and used as the base cortical parcellation [37].The bilateral amygdala ROIs were anatomically defined using the Automated Anatomical Labeling (AAL) atlas [38], and extracted with the REST toolbox (https://rfmri.org/REST). Specifically, AAL labels corresponding to the left amygdala (label 41) and right amygdala (label 42) were thresholded and saved as a binary mask in NIfTI format.
The amygdala mask was then combined with the Schaefer-400 atlas to form a unified parcellation containing 402 ROIs, where parcels 1–400 correspond to Schaefer cortical regions and parcels 401–402 correspond to the left and right amygdala, respectively. This composite atlas was used for all subsequent ROI-based analyses.
To construct group-level CAP templates, we performed a whole-brain co-activation pattern analysis based on regional BOLD time series extracted from 402 ROIs by the mask. These 402 ROIs included the 400 cortical and subcortical parcels, supplemented with bilateral amygdala ROIs. The amygdala was explicitly included given its centrality in oxytocin research and its robust involvement in socio-emotional processing [39, 40], allowing us to later assess how its dynamics are expressed within CAP states. CAP templates were derived exclusively from the PL group rather than from a pooled PL + OT dataset. This approach assumes that the PL group best reflects unmodulated, baseline co-activation architecture, uncontaminated by potential neuromodulatory effects of oxytocin. Clustering solely within the PL cohort mitigates the risk of drug-related alterations influencing state boundaries and provides a stable reference against which temporal CAP metrics in the OT group can be meaningfully compared. In contrast, clustering on mixed data could obscure oxytocin-related shifts, as drug-induced changes may be averaged or diluted across individuals. Defining spatial states from the PL group, therefore, allows observed differences in the OT condition, such as altered occurrence, dwell time, or transition structure, to be more directly interpreted as OT-related modulation, consistent with prior methodological recommendations [23, 41,42,43,44]).
CAP analysis involved the following steps: Normalization was performed on each time series employing a z-score transformation, resulting in a two-dimensional normalized BOLD signal matrix \({X}_{i}\)(T × 402) for each subject. For K-means clustering, BOLD signal matrices of all subjects were combined into a two-dimensional matrix ((T × N) × 402). Each subject’s ROIs in each frame were set as clustering units (\(X({PL})_{i}\)(402 × 1)). K-means clustering identified similar coactivation patterns, with the number of clusters (K) selected from 2 to 18. The optimal K was determined using the elbow criterion and silhouette score, resulting in 6 clusters. These six clusters were defined as the group-level brain state templates.
To assign brain states to the OT group, each frame (volume) of every OT subject’s BOLD data (\({X}_{{{OT}}_{i}}402\times 1\)) was compared to each of the six group-level brain state templates using Pearson correlation. Each frame was then assigned to the group-level brain state templates with the highest spatial similarity. After this frame-wise assignment, all volumes belonging to the same State were averaged to generate subject-specific CAP templates for the OT group, which could then be used for downstream temporal and spatial analyses.
Estimating individual-specific brain States metrics
Six metrics were calculated at the individual level to evaluate the dynamic properties within and between CAP-states: Fraction of Time, defined as the proportion of total volumes spent in one CAP state; Persistence, the average time spent in one state before transitioning to another; Number of States (Counts), the frequency of occurrence of each state during the scan; Resilience, the probability of remaining in a specific CAP from one time point to the next (t to t + 1); In-degree, the probability of entering a CAP-state from any other CAP-state; and Out-degree, the probability of exiting a CAP-state to any other CAP-state.
Age group analysis
In this study, participants aged 18–31 years were categorized as the young group, and those aged 63–81 years comprised the older group. Age-based analyses were conducted within the OT group, which included 23 young adults and 17 older adults. To generate age-specific co-activation maps, all time frames from each subgroup were assigned to one of the six standard CAP-states previously derived from the PL group. These assigned frames were then averaged within each State to construct representative CAP maps for the young and older OT subgroups. Further CAP analysis within the OT group revealed distinct temporal characteristics across the age groups.
Chronological age-related in OT-PL and NKI cohort
We compared the temporal characteristics of brain co-activation states between the PL and NKI–RS groups to examine drug-related modulation of age effects. By contrasting these datasets, we evaluated the main effects of drug administration and chronological age on CAP temporal metrics.
Statistical analysis
Group comparisons of CAP metrics were performed using two-way analyses of variance (ANOVA) with Age (young, older) and Treatment (OT, PL) as between-subject factors. Post hoc independent-samples t-tests were conducted for pairwise age-group comparisons. To control for potential confounding factors, gender, years of education, and body mass index were included as covariates (age was excluded from t-tests). These comparisons were conducted to assess differences between the OT and PL groups, as well as between young and older subgroups within the OT group. Demographic and behavioral variables were also analyzed to ensure group-level comparability.
To examine the relationship between Age-related brain dynamics and cognitive performance, we conducted correlation analyses between CAP metrics and scores from the Digit Symbol Substitution Test (DSST), a widely used neuropsychological measure of processing speed and attention. For each participant, we focused on the CAP states that showed significant age-related group differences in the fraction of time. Pearson correlation coefficients were calculated between DSST scores and the fraction of time spent in these states. These states, previously identified as involving co-activation of the amygdala, mPFC, and SN, were visualized using scatter plots with fitted linear regression lines and 95% confidence intervals.
Functional decoding and meta-analytic co-activations
To further interpret the functional significance of the identified CAP states under OT and PL, we conducted meta-analytic functional decoding using the NeuroVault platform [45] in combination with the Neurosynth database [46]. Specifically, for each condition, unthresholded statistical CAP maps representing the spatial distribution of co-activation across voxels were submitted as inputs to the NeuroVault decoding tool. The algorithm computed spatial correlations between each CAP map and over 14,000 meta-analytic activation maps derived from the Neurosynth database, generating term-association profiles reflecting the functional relevance of each CAP configuration. To complement the whole-map decoding, we also extracted the peak coordinates of two key regions, the amygdala and the medial prefrontal cortex (mPFC), which showed consistent involvement across oxytocin-modulated CAP-states. These coordinates were separately decoded using the Neurosynth pipeline to identify behavioral and cognitive terms most frequently associated with each region across prior neuroimaging literature. For each decoding analysis, the top ten behavioral and psychological terms were extracted based on their correlation coefficients (r-values, FDR-corrected at q < 0.01). This combined approach allowed us to (1) interpret the broader functional meaning of each CAP-state in a data-driven manner and (2) examine the regional contributions of the amygdala and mPFC within those states.
Result
Figure 1 illustrates a pipeline for the full CAP analysis pipeline, from individual-level preprocessing to group-level clustering and CAP state identification. The process begins with subject-level BOLD data, which is normalized and converted into time-by-region matrices. These matrices are concatenated across subjects to form a group-level dataset used for K-means clustering. The outcome is a set of temporally recurring co-activation states shared across participants. These states form the basis for subsequent spatial and temporal analyses of dynamic brain network properties.
A–C Individual-level processing) Individual BOLD volumes are extracted and normalized via z-score transformation across time (A–B), producing a T × 402 matrix for each subject (C), where T is the number of time points and 402 corresponds to 400 ROIs from the Yeo atlas plus bilateral amygdala ROIs. D–F: Group-level processing) The BOLD signal matrices from all N subjects are concatenated across time (D) to form a group-level data matrix (E) used for K-means clustering. Temporal clustering yields discrete CAP state labels (F), identifying recurring brain states across the population.
All the primary results presented in the main text were obtained from data processed with GSR. To assess the robustness of our findings, we repeated the CAP analysis on data without GSR, as shown in Supplementary Fig. S7 and S8. The spatial and temporal CAP metrics from the non-GSR pipeline closely resembled those derived with GSR, indicating that the observed patterns and interpretations are stable and not driven by global signal removal.
Clustering analysis of Functional CAPs
Group comparisons were conducted for the covariates (age, gender, BMI, years of education) of each group using two-sample t-tests (Chi-square analysis was used for gender). The results showed no covariate differences between the groups, indicating effective random sample allocation, as shown in Table 1. After excluding ineligible subjects, the PL group was used as the standard group for cluster analysis. The clustering analysis results showed that the six-cluster solution yielded high similarities within CAPs and high differences among CAPs based on the elbow criteria and Silhouette and verified with CDF (cumulative distribution function) (Supplementary Fig. S1).
Spatial consistency between OT and PL groups
Figure 2 illustrates the spatial consistency of the clustering results. Initially, the CAP states derived from k-means clustering of the PL group were established as the standard CAP States. To verify spatial consistency, we divided the PL group into two subsets based on age: young and older participants. Using the same clustering approach, separate CAP-state maps were generated for each age subgroup. Pearson correlation analyses were then conducted to compare each subgroup’s CAP maps with the overall standard CAP-state obtained from the entire PL group. This approach allowed us to examine whether the substantial age difference between young and older subjects influenced spatial consistency. The resulting similarity matrix showed high correlation coefficients exceeding 0.75, indicating robust spatial consistency across age subgroups. These confirm that using the overall PL group’s CAP-state as standard reference States is appropriate and consistent for age-related analyses.
A Spatial similarity matrix showing Pearson correlation coefficients between all six CAP-states derived from the PL group, demonstrating the distinct spatial characteristics of each state. B Spatial consistency matrices comparing each age subgroup (left: older adults; right: young adults) with the full PL group. These matrices reflect the degree of spatial correspondence between subgroup-derived CAP states and the PL group reference CAPs. Warmer colors indicate stronger spatial similarity (closer to 1.0), while cooler colors indicate dissimilarity (Pearson correlation coefficient r > 0.75).
Co-activation patterns of brain States
The six CAPs identified from clustering of the placebo (PL) group data reflected distinct large-scale configurations of brain activity, capturing both coordinated (co-activation) and oppositional (anticorrelated) relationships among functional networks (Supplementary Fig. S2). As shown in Fig. 3, States 1, 2, 3, and 6 displayed relative amygdala deactivations (|Z | < 2.3) accompanied by strong anticorrelation between the default-mode network (DMN) and the dorsal-attention/salience networks (DAN/SN). In contrast, States 4 and 5 exhibited differential amygdala engagement: State 4 showed positive amygdala activation together with increased co-activation among the amygdala, salience network (SN), and medial prefrontal cortex (mPFC), whereas State 5 showed amygdala deactivation with reduced co-activation across these regions. These findings indicate that amygdala activity tends to co-vary with dynamic coupling between the SN and mPFC, suggesting transient integration of emotional-salience and regulatory systems. Spatial CAP templates derived from the PL group provided a stable reference for cross-condition comparisons. Using these templates, we evaluated temporal metrics such as occurrence rate and dwell time in both PL and OT groups, thereby ensuring spatial consistency while isolating OT-related temporal modulation.
A Z-maps of six identified CAP states (|Z | > 2.3), highlighting distinct functional configurations involving the amygdala, dorsal attention network (DAN), salience network (SN), and default mode network (DMN). B Anatomical localization of the anterior and posterior DMN regions involved in States 4 and 5. State 4 (blue arrow) demonstrates strong co-activation between the amygdala, salience network, and anterior DMN (medial prefrontal cortex). State 5 (yellow arrow) highlights co-deactivation of these regions, alongside relative separation from the posterior DMN (posterior cingulate cortex and angular gyrus).
Temporal characteristics of OT vs. PL
A two-sample t-test comparing five specific CAP metrics between the PL and OT groups revealed significant differences in States 2, 3, 4, and 6 (all p < 0.05, FDR-corrected; Fig. 4). Specifically, the OT group demonstrated significant increases in three metrics: counts (State 2: (t = 2.65, p = 0.022, Cohen’s d = 0.71), State 3 : (t = 3.65, p = 0.003, Cohen’s d = 1.43),State 4: (t = 2.27, p = 0.039, Cohen’s d = 0.19), State 6: (t = 2.60, p = 0.022, Cohen’s d = 0.14)), in-degree(State 2: (t = 2.54, p = 0.012, Cohen’s d = 0.68), State 3 : (t = 3.72, p = 0.001, Cohen’s d = 1.46), State 4: (t = 2.33, p = 0.023, Cohen’s d = 0.20) State 6: (t = 2.53, p = 0.013, Cohen’s d = 0.12)), and out-degree(State 2: (t = 2.46, p = 0.015, Cohen’s d = 0.64), State 3 : (t = 3.79, p = 0.001, Cohen’s d = 1.41), State 4: (t = 2.33, p = 0.022, Cohen’s d = 0.21), State 6: (t = 2.67, p = 0.009, Cohen’s d = 0.15)). Across all examined CAP-states, the OT group consistently exhibited higher median values than the PL group, reflecting greater temporal engagement and transition connectivity following oxytocin administration.
Across multiple states, the OT group exhibited higher medians and narrower interquartile ranges, indicating greater stability and frequency of network co-activation. In the violin plot, the upper and lower dashed lines represent the first quartile (Q1) and the third quartile (Q3), respectively, and the central solid line denotes the median. Independent-samples t-tests confirmed significantly higher OT values for several metrics across these states (p < 0.05, *p < 0.001; FDR-corrected).
The observed increase in the counts metric, representing the frequency at which specific brain states occur, can result from two distinct mechanisms. (1) Reduced Persistence: The proportion of time spent in State 4 remains constant, but shorter persistence durations (i.e., quicker transitions) lead to more frequent alternations, thus increasing counts. (2) Increased Transitions from Other States: Persistence durations remain constant, but an increase in transitions from other States to State 4 elevates the proportion of total frames spent in State 4, thereby increasing counts. The results showed consistent relationships between these metrics, indicating that changes in in-degree and out-degree had a direct impact on the counts. All uncorrected states metrics (threshold, FDR < 0.05 are shown in supplementary Fig. S5.)
Transition probability and changes in temporal characteristics
As shown in Supplementary Fig. S6. The increase in the proportion of State 6 in the total time series leads to an increase in Counts. The reason why there is no significant difference in the transition probability from other states to State 6 may be that the simultaneous increase in the transition probabilities from multiple states to State 6 averages out this difference. The increase in the probability of transition from State 2 to State 4 results in an increase in the counts of State 4. We also observe an increase in the self-transition probabilities of States 4 and 6 (the stability of the States themselves). State 4 is the state of co-activation of the amygdala SN and mPFC, and State 6 is the state of DMN activation. The above results indicate that oxytocin administration enhances the co-activation patterns of these two networks. On the other hand, the results of the decreased persistence of States 2 and 3 are not significant, but they are logically consistent with the above results. That is, under the influence of oxytocin, brain function becomes more active, and the alternation between co-activation states occurs more frequently. At the same time, the co-activation of the amygdala-mPFC-SN and the function of the DMN are enhanced, making other task networks tend to converge on these two activation patterns.
Age-Related differences in temporal CAP metrics under oxytocin
To formally assess the effects of age and treatment on temporal CAP metrics, we conducted two-way ANOVAs for each state-specific measure (Supplementary Table S1). Significant main effects of treatment were observed in the absence of Age × Treatment interactions. Specifically, OT vs. PL differences were found in the number of visits (counts) to State 1 (F(1,74) = 21.88, p < 0.001), State 2 (F(1,74) = 5.38, p = 0.023), and State 4 (F(1,74) = 6.09, p = 0.016), as well as in Out-degree and In-degree in State 2 (F(1,74) = 5.08, p = 0.027; F(1,74) = 43.55, p < 0.001) and Persistence in State 6 (F(1,74) = 22.86, p < 0.001).
Significant main effects of age were also observed, independent of treatment. Older adults showed reduced Counts in State 5 (F(1,74) = 9.21, p = 0.003), as well as lower Fractions of time in States 4 and 5 (F(1,74) = 5.33, p = 0.024; F(1,74) = 13.15, p < 0.001) and reduced Resilience in these states (State 4: F(1,74) = 6.07, p = 0.016; State 5: F(1,74) = 5.45, p = 0.022). Since these states are amygdala-centered (State 4: amygdala–SN–mPFC co-activation; State 5: relative amygdala deactivation), younger adults appear to occupy and maintain these emotion-regulatory states more frequently and stably than older adults, regardless of treatment. No significant Age × Treatment were found for any CAP metric (all p > 0.28).
Post hoc two-sample t-tests (Figs. 5–6) were conducted to further characterize the main effects of treatment and age on temporal CAP dynamics. Among younger adults, OT participants exhibited higher temporal engagement than PL participants across several CAP metrics. For Counts, OT participants showed significantly greater values in State 1 (t = 2.28, p = 0.046, Cohen’s d = 0.47), State 4 (t = 3.28, p = 0.043, Cohen’s d = 0.53), and State 5 (t = 3.16, p = 0.017, Cohen’s d = 0.47). For Out-degree, significant increases were observed in State 2 (t = 3.25, p = 0.013, Cohen’s d = 0.53) and State 5 (t = 3.15, p = 0.023, Cohen’s d = 0.61). Additionally, Resilience in State 5 was greater in the OT group (t = 2.18, p = 0.018, Cohen’s d = 0.53). Among older adults, OT participants also demonstrated significant treatment-related enhancements, including higher Counts in State 1 (t = 2.28, p = 0.019, Cohen’s d = 0.67), greater Resilience in State 5 (t = 2.35, p = 0.013, Cohen’s d = 0.67), and increased Persistence in State 6 (t = 2.61, p = 0.041, Cohen’s d = 0.56).
In younger adults, oxytocin produced several uncorrected increases relative to placebo across CAP temporal metrics. Significant differences were observed in state Counts for State 1 (t(22) = 2.28, p = 0.046, Cohen’s d = 0.47), State 4 (t(22) = 3.28, p = 0.043, Cohen’s d = 0.53), and State 5 (t(22) = 3.16, p = 0.017, Cohen’s d = 0.47). Additional effects emerged for Out-degree in State 2 (t(22) = 3.25, p = 0.013, Cohen’s d = 0.53) and State 5 (t(22) = 3.15, p = 0.023, Cohen’s d = 0.61), as well as higher Resilience in State 5 (t(22) = 2.18, p = 0.018, Cohen’s d = 0.53). Among older adults, oxytocin was associated with higher Counts in State 1 (t(20) = 2.28, p = 0.019, Cohen’s d = 0.67), increased Resilience in State 5 (t(20) = 2.35, p = 0.013, Cohen’s d = 0.67), and greater Persistence in State 6 (t(20) = 2.61, p = 0.041, Cohen’s d = 0.56). In the violin plot, the upper and lower dashed lines represent the first quartile (Q1) and the third quartile (Q3), respectively, and the central solid line denotes the median. Asterisks in the figures denote effects at p < 0.05.
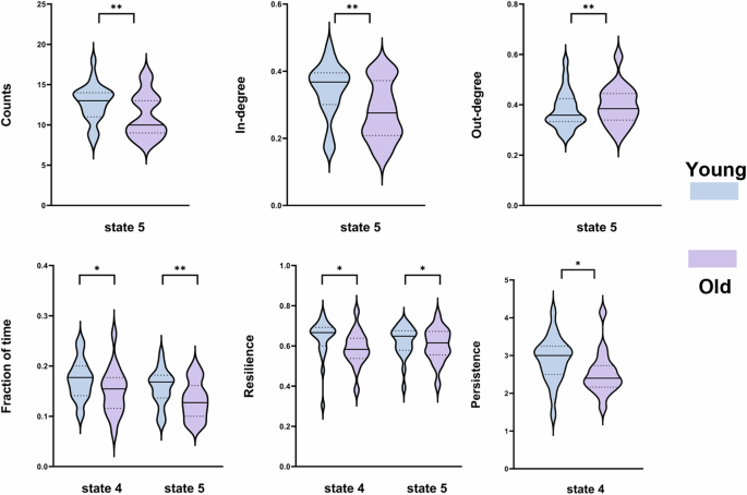
Independent-samples t-tests indicated that younger adults showed significantly higher values across multiple metrics, particularly within State 5: Counts (t(22) = 3.28, p = 0.013, Cohen’s d = 0.67), In-degree (t(22) = 3.20, p = 0.017, Cohen’s d = 0.63), and Out-degree (t(22) = 3.15, p = 0.019, Cohen’s d = 0.61). They also spent a larger Fraction of time in State 4 (t(22) = 2.18, p = 0.036, Cohen’s d = 0.53) and State 5 (t(22) = 3.49, p = 0.008, Cohen’s d = 0.68). Resilience was higher in State 4 (t(22) = 2.50, p = 0.017, Cohen’s d = 0.65) and State 5 (t(22) = 2.32, p = 0.026, Cohen’s d = 0.23). Persistence was also greater for younger adults in State 4 (t(22) = 2.61, p = 0.013, Cohen’s d = 0.56). In the violin plot, the upper and lower dashed lines represent the first quartile (Q1) and the third quartile (Q3), respectively, and the central solid line denotes the median. Asterisks indicate statistical significance (p < 0.05, *p < 0.01; FDR-corrected).
Age-related effects are summarized in Fig. 6. Younger adults exhibited significantly greater temporal engagement in amygdala-related CAP-states than older adults. Specifically, they showed higher Counts in State 5 showed higher Counts (t = 3.28, p = 0.013, Cohen’s d = 0.67), higher in-degree (t = 3.20, p = 0.017, Cohen’s d = 0.63), and higher out-degree (t = 3.15, p = 0.019, Cohen’s d = 0.61). For Fraction of time, younger adults spent longer durations in State 4 (t = 2.18, p = 0.036, Cohen’s d = 0.53) and State 5 (t = 3.49, p = 0.008, Cohen’s d = 0.68). They also demonstrated higher self-transition probabilities in State 4 (t = 2.50, p = 0.017, Cohen’s d = 0.65), as well as greater Persistence in State 4 (t = 2.61, p = 0.013, Cohen’s d = 0.56) and State 5 (t = 2.32, p = 0.026, Cohen’s d = 0.23).
Correlation analysis between cognitive scores and state metrics
Significant age-related differences were observed in the fraction of time spent in CAP States 4 and 5. As shown in Fig. 6, young adults under oxytocin spent a greater proportion of time in both states compared with older adults (State 4: p < 0.05; State 5: p < 0.01). Despite this heightened engagement, correlation analyses revealed that only the older group (OT-old) and combined young (OT-young + PL-young) subgroups exhibited significant associations between state engagement and cognitive performance. In the OT-old group, higher DSST scores were positively correlated with the fraction of time spent in State 4 (r = 0.52, p = 0.031) and State 5 (r = 0.57, p = 0.017) (Fig. 7A–B). Similarly, in the combined young group, DSST scores showed a modest positive correlation with time spent in State 4 (r = 0.32, p = 0.043) (Fig. 7C). These relationships suggest that, particularly in older adults, increased engagement in amygdala–SN–mPFC co-activation states (States 4 and 5) under oxytocin is functionally meaningful and associated with better cognitive performance. In contrast, no significant correlations were found in the OT-young subgroup, despite their higher overall CAP engagement, or in either age group under the placebo condition. This pattern suggests that the observed brain–cognition associations are specific to oxytocin administration and are not attributable to general age or engagement effects. Detailed correlation coefficients for all subgroups are summarized in Table 2.
Scatter plots depict the relationship between Digit Symbol Substitution Test performance and the Fraction of time spent in CAP States 4 and 5. Each dot represents an individual participant, and shaded areas indicate 95% confidence intervals around the fitted regression line. In the older OT subgroup, higher DSST scores were significantly associated with a greater fraction of time in CAP states, State 4 (r = 0.52, p = 0.03) and State 5 (r = 0.57, p = 0.016), as shown in (A and B). In the combined young subgroup (OT-young + PL-young), a similar but weaker association was observed for State 4 (r = 0.32, p = 0.043) (C).
Functional decoding and meta-analytic co-activations
Figure 8 summarizes the meta-analytic decoding results for CAP States 4 and 5, which showed the most pronounced oxytocin-related modulation. Figure 8A displays the top behavioral and cognitive terms associated with State 4 (left) and State 5 (right) derived from whole-map decoding. For State 4, the most strongly associated terms were ‘pain’ (13.03%), ‘speech’ (11.77%), ‘auditory’ (11.63%), ‘listening’ (10.62%), and ‘stimulation’ (9.68%), followed by ‘speech production’ (9.36%) and ‘tactile’ (8.39%). These associations suggest a multimodal sensorimotor–auditory integration state, consistent with co-activation among salience and sensorimotor regions. In contrast, State 5 showed top associations with ‘visual’ (25.65%), ‘sighted’ (13.40%), ‘spatial’ (12.95%), ‘motion’ (7.94%), and ‘face’ (7.87%), indicating a visuospatial perceptual state engaging occipital and parietal cortices.
Top behavioral and cognitive terms associated with CAP States 4 and 5, derived from NeuroVault platform and meta-analytic functional decoding in Neurosynth database. A Show term similarity and the amount of correlation with specific conceptual terms of whole map derived from PL. B Show term similarity and the amount of correlation with specific conceptual terms of whole map derived from OT. format; term, R-value (percentage ratio).
Figure 8B presents the corresponding decoding results for the OT condition. Similar term distributions were observed, with State 4 dominated by ‘speech’ (12.28%), ‘auditory’ (12.05%), ‘pain’ (11.95%), ‘listening’ (11.14%), and ‘sounds’ (10.34%), reinforcing its role in auditory–somatosensory communication processing. State 5 again emphasized ‘visual’ (24.37%), ‘spatial’ (12.22%), and ‘face’ (7.70%), consistent with visual-perceptual network engagement.
In a complementary analysis focusing on specific regions, the amygdala showed strongest associations with ‘fearful’, ‘happy’, ‘expressions’, ‘angry’, and ‘anxiety’, confirming its involvement in emotion perception and affective response. The mPFC was linked to ‘social’, ‘autobiographical memory’, ‘mental states’, and ‘mind’, reflecting its role in self-referential and social-cognitive processes (Supplementary Fig. S11).
Discussion
This study investigated the modulatory effects of OT on dynamic brain network activity using CAP analysis of resting-state fMRI data. We first examined the overall impact of OT by comparing spatial and temporal CAP metrics between the OT and PL groups across all participants. This analysis revealed that OT significantly increased dynamic connectivity measures, specifically, counts, in-degree, and out-degree, in several brain states (e.g., States 2, 3, 4, and 6), reflecting enhanced network engagement and flexible transitions. Notably, the OT group also exhibited higher self-transition probabilities in key states, indicating greater temporal stability. Despite these temporal modulations, spatial similarity analyses further confirmed that the fundamental structure of CAPs was preserved between the OT and PL groups. In addition to the group-level effects, we conducted an exploratory age-based analysis comparing younger and older adults within the OT group. This analysis revealed that younger adults demonstrated significantly higher persistence and fraction of time in emotionally salient CAP-state (e.g., State 4), as well as greater transition activity (Counts, In-degree, Out-degree) in disengaged or deactivated states (e.g., State 5), relative to older adults.
Spatial patterns of brain states derived from the PL group
Spatial CAP analysis revealed distinct and reproducible large-scale configurations of brain activity. By defining spatial templates from the PL group, we ensured spatial consistency across subjects and conditions, allowing temporal dynamics to be compared across groups. This strategy confines interpretation to temporal modulation, how frequently and persistently particular CAP-states appear, rather than causal or structural changes in spatial organization [47, 48].
Across participants, the alternation between the DMN and task-positive systems (DAN/SN) in States 1, 2, 3, and 6 replicated the canonical anti-correlation pattern of intrinsic resting-state activity. States 4 and 5, in contrast, displayed differential amygdala engagement: State 4 was characterized by positive amygdala activation with increased co-activation of the mPFC and SN, whereas State 5 showed relative amygdala deactivation accompanied by reduced coupling among these regions. These temporally recurring configurations indicate alternating integration and segregation between affective-salience and regulatory networks, consistent with prior reports of dynamic amygdala–mPFC interactions during rest and emotion processing [49, 50].
CAPs involving the amygdala, mPFC, and SN exhibited greater temporal stability and recurrence under OT, suggesting that oxytocin may promote more consistent co-activation among limbic and prefrontal regions. Consistent with established models of large-scale network interplay, the SN, anchored in the anterior insula and anterior cingulate cortex, acts as a functional switch mediating transitions between the DMN and DAN during attentional shifts [51, 52].
Temporal modulation of CAPs by oxytocin
The temporal CAP analysis demonstrated that oxytocin administration significantly alters the frequency, transition probabilities, and resilience of several brain States. CAP metrics such as Counts, In-degree, and Out-degree were elevated in OT group, especially in States 2, 3, 4, and 6. This increased activation implies that oxytocin enhances the frequency of switching between distinct brain states, consistent with improved cognitive flexibility and emotional responsiveness. State 4 (amygdala–mPFC co-activation) and State 6 (DMN activation) showed increased Fraction of time and self-transition probabilities in OT, suggesting that these states were both more persistent and more stable. These findings align with prior work indicating that oxytocin enhances both affective and cognitive processing through its action on brain networks involved in social cognition and attention [53, 54]. The increased resilience observed in these states suggests that oxytocin stabilizes functionally adaptive networks, particularly those underpinning emotional and executive control. Moreover, the heightened frequency and flexibility of transitions, especially into States 4 and 6, indicate that oxytocin enhances the brain’s capacity for efficient reconfiguration in response to internal or external stimuli.
In addition to its effects on emotional processing, oxytocin administration has been found to influence cognitive functions, particularly in tasks requiring sustained attention and cognitive control. Studies have shown that individuals receiving oxytocin exhibit different patterns of brain activation compared to those receiving a placebo, which may suggest enhanced cognitive processing capabilities [55]. Resilience, a metric indicating the stability of a brain state over time, was found to be significantly higher in the OT group compared to the PL group. This increased resilience suggests that oxytocin enhances the brain’s capacity to maintain stable states, which is crucial for optimal performance in cognitive tasks, particularly those involving working memory and executive control that require sustained attention and focus [56]. For example, in tasks that demand working memory and executive control, the stability of brain states is critical for optimal performance.
Age-Related modulation of CAP dynamics across baseline, PL, and OT
With advancing age, the brain undergoes senescence, accompanied by changes in both its structure and functional activity. Our analysis of the NKI-RS dataset confirmed significant differences in the temporal features of CAP-states between younger and older adults, differences that undoubtedly stem from alterations in brain network function [57]. We also compared these temporal features between the two age groups (younger vs. older adults) in the PL group; interestingly, such differences vanished in the PL cohort. Using a controlled variable approach, we inferred that drug administration modulated this effect, narrowing the gap in brain co-activation states between older and younger adults. However, this age-related difference observed in the NKI group emerged in a subtle form within the OT group, we could observe that oxytocin reactivated this distinction [58].
Furthermore, the statistical analyses within the OT group revealed notable differences in brain state dynamics. Young adults exhibited significantly higher Persistence and fractional occupancy in State 4, and increased Counts, In-degree, and Out-degree in State 5, compared to older adults. These patterns indicate a stronger OT-induced enhancement of emotional-cognitive integration and dynamic switching in young individuals. The flexibility in transitioning and greater occupancy of functionally relevant CAPs suggest that young adults are more sensitive to oxytocin’s neuromodulatory effects. These results are consistent with prior findings indicating diminished oxytocin receptor expression and neural responsiveness with aging [59]. While older adults retained some enhancement in emotion-regulation networks under oxytocin, the magnitude and consistency of these changes were attenuated. The reduction in amygdala–mPFC coupling associated with aging under oxytocin likely indicates a neurobiological limitation resulting from structural and functional deterioration.
Interestingly, young participants also demonstrated greater activity and switching in State 5, an amygdala–mPFC deactivation state, suggesting that oxytocin may also support efficient network inhibition when necessary. This pattern of alternation between co-activation (State 4) and deactivation (State 5), especially under oxytocin, may reflect a more flexible and adaptive emotion regulation mechanism in young adults. [13, 60].
The findings suggest that younger individuals not only remained in this co-activation state for longer durations but also spent a greater proportion of time within it. This pattern may reflect enhanced temporal stability and sustained integration of emotion-related (amygdala), salience, and cognitive control (mPFC) in younger adults. In State 5 (marked by deactivation in the amygdala–SN–mPFC circuit), younger participants showed significantly higher Counts, In-degree, Out-degree, and Fraction of time than older adults. These metrics collectively suggest that younger individuals transitioned into and out of this state more frequently and spent more time within it. This may suggest that younger adults repeatedly enter and re-engage State 5, thus accumulating more total time there. That’s cycling in and out efficiently and frequently.
Age-Specific brain-behavior associations under oxytocin
Aging is associated with marked changes in large-scale brain networks, including their decline in functional connectivity [61] and reduced integration within the DMN and weakened functional interactions between the amygdala and the mPFC, a circuit central to emotional regulation and cognitive control [62, 63]. Oxytocin may partially offset these age-related declines by strengthening coupling within affective–regulatory pathways. In the present study, older adults who spent more time in CAP States 4 and 5, both involving coordinated engagement of the amygdala, mPFC, and salience network, showed better performance on the DSST, a measure of processing speed, attention, and working memory. This pattern suggests that oxytocin-related stabilization of emotion–cognition circuitry may support compensatory mechanisms in aging [64].
In the combined young cohort (OT-young + PL-young), a modest positive association emerged between DSST performance and the Fraction of time spent in State 4, indicating that greater engagement in this amygdala–mPFC–salience configuration is weakly linked to enhanced cognitive speed and attention at the group level. Importantly, this relationship did not replicate within the OT-young subgroup alone, despite their higher overall occupancy of amygdala-related states. Likewise, no significant correlations were observed in either age group under placebo. The absence of detectable associations in the OT-young and both PL subgroups suggests that these effects do not reflect general age differences or baseline engagement of CAP states, but rather represent a pattern that becomes evident only when young participants are pooled or when oxytocin alters state–behavior coupling in older adults. These findings should be interpreted with caution, as larger samples and targeted designs will be required to determine the conditions under which CAP-cognition relationships emerge reliably.
Functional relevance of CAPs and Amygdala–mPFC circuitry
The integration and rapid switching of cognitive and affective resources underpin successful social behavior. Central to this process is the dynamic interaction between the amygdala and mPFC, which jointly support emotion regulation in social contexts [65] In the present study, CAP States 4 and 5, those showing the strongest oxytocin-related modulation, were functionally decoded using whole-map meta-analytic analysis. This decoding revealed that State 4 was consistently associated with auditory–somatosensory and communicative processes (e.g., speech, auditory, pain, listening), whereas State 5 was linked to visuospatial and perceptual terms (e.g., visual, spatial, face, motion). These profiles indicate that the two states correspond to distinct large-scale functional configurations: State 4 engages multimodal sensorimotor and salience-related systems, while State 5 reflects a visually driven perceptual-attentional configuration involving occipital and parietal cortices.
Complementary region-focused decoding confirmed established domain-specific functions. The amygdala was most strongly linked to affective and emotional terms such as “fearful”, “angry”, “happy”, and “emotional”, aligning with its established role as an early detector of emotionally salient stimuli in the environment [66]. It rapidly triggers autonomic responses to perceived threats or rewards, functioning as the brain’s emotional “alarm center.” Conversely, the mPFC emerged as a key node involved in “social cognition”, “autobiographical memory”, and “emotional integration”, reflecting its broader role as an “advanced regulator.” [67]. The findings suggest that the mPFC modulates emotional responses initiated by the amygdala, particularly under oxytocin administration. The enhanced co-activation between these regions observed in CAP State 4 provides empirical support for a coordinated mechanism in which emotional arousal initiated by the amygdala signals the mPFC for higher-order processing. This interaction enables top-down modulation of affective states, facilitating context-appropriate emotional expression and regulation.
Within this framework, the enhanced temporal expression of CAP State 4 under oxytocin aligns with prior evidence that intranasal oxytocin increases functional connectivity between the amygdala and mPFC during emotional and social tasks [47]. The present CAP findings extend this literature by showing that oxytocin not only modulates task-evoked interactions but also influences the spontaneous co-activation of these circuits during rest. Specifically, oxytocin increased the counts, persistence, and transition metrics associated with States 4 and 5, indicating more frequent and more stable engagement of these functional configurations. Importantly, these effects were observed without altering the spatial definition of the states themselves, suggesting that oxytocin modulates the temporal dynamics rather than the spatial architecture of these networks.
Limitation
While this study offers novel insights into the dynamic neural effects of oxytocin through CAP analysis, several limitations warrant discussion. First and foremost, the relatively small sample size poses a constraint on the statistical power and generalizability of our findings, particularly when subdividing participants by treatment condition and age group. Although the observed patterns are in line with prior literature and suggest robust effects of oxytocin on temporal brain dynamics, replication with larger and more diverse samples is essential to validate these results and confirm their applicability across broader populations. Another limitation lies in the single-dose OT administration used in this study. While our results clearly demonstrate State-specific and network-specific modulations induced by acute OT, they cannot reveal the stability or durability of these effects over time. Future studies should therefore explore the longitudinal effects of repeated or chronic OT administration. Such investigations would be relevant in determining whether the transient changes observed in CAP metrics represent persistent modifications in network dynamics or short-term neuromodulatory fluctuations.
Additionally, our findings suggest that the efficacy of oxytocin may differ across the lifespan, with young adults showing more robust modulation in States 4 and 5 (amygdala–SN–mPFC co-activation/deactivation) than older adults. However, the underlying mechanisms of these age-related differences, possibly involving changes in oxytocin receptor density, structural degradation, or functional plasticity, remain speculative. Addressing these possibilities will require studies incorporating genetic, molecular, and pharmacokinetic data alongside dynamic connectivity measures.
Conclusion
This study examined how oxytocin modulates dynamic brain connectivity at rest using CAP analysis. Across the full sample, oxytocin administration altered several temporal properties of CAP states, including increased transition Counts, In-degree, Out-degree, and self-transition probability, particularly in states involving the amygdala and medial mPFC, regions associated with emotion regulation and social cognition. In addition to these overall effects, exploratory age-based analyses revealed distinct patterns: younger adults exhibited greater temporal flexibility and stability across specific brain states, while older adults showed more prolonged engagement in emotion-related networks. These patterns may reflect age-related differences in neural adaptability or sensitivity to oxytocin. Together, these findings suggest that oxytocin enhances the dynamic coordination of large-scale brain networks and that its influence on functional brain states may vary across the lifespan. The application of CAP analysis enabled the identification of temporally discrete connectivity patterns, offering insights into both general and age-related mechanisms of neuromodulation.
Data availability
The datasets analyzed during the current study are publicly available. The Single Dose Intranasal Oxytocin Administration (SDIOA) dataset can be accessed via the OpenNeuro repository (https://openneuro.org/datasets/ds004725/versions/1.0.1). The fcon_1000 data are available from the Nathan Kline Institute/Rockland Sample through the International Neuroimaging Data-sharing Initiative (http://fcon_1000.projects.nitrc.org/indi/pro/nki.html).
References
Guastella AJ, Hickie IB. Oxytocin treatment, circuitry, and Autism: a critical review of the literature placing oxytocin into the Autism context. Biol Psychiatry. 2016;79:234–42.
Torres N, Martins D, Santos AJ, Prata D, Veríssimo M. How do hypothalamic nonapeptides shape youth’s sociality? A systematic review on oxytocin, vasopressin and human socio-emotional development. Neurosci Biobehav Rev. 2018;90:309–31.
Kanat M, Heinrichs M, Domes G. Oxytocin and the social brain: neural mechanisms and perspectives in human research. Brain Res. 2014;1580:160–71.
Shamay-Tsoory SG, Abu-Akel A. The social salience hypothesis of oxytocin. Biol Psychiatry. 2016;79:194–202.
Ellenbogen MA. Oxytocin and facial emotion recognition. Curr Top Behav Neurosci. 2018;35:349–74.
Gimpl G, Fahrenholz F. The oxytocin receptor system: structure, function, and regulation. Physiol Rev. 2001;81:629–83.
Balleine BW, Delgado MR, Hikosaka O. The role of the dorsal striatum in reward and decision-making. J Neurosci. 2007;27:8161–5.
Martins D, Dipasquale O, Paloyelis Y. Oxytocin modulates local topography of human functional connectome in healthy men at rest. Commun Biol. 2021;4:68.
Ebner NC, Chen H, Porges E, Lin T, Fischer H, Feifel D, et al. Oxytocin’s effect on resting-state functional connectivity varies by age and sex. Psychoneuroendocrinology. 2016;69:50–59.
Jiang X, Ma X, Geng Y, Zhao Z, Zhou F, Zhao W, et al. Intrinsic, dynamic and effective connectivity among large-scale brain networks modulated by oxytocin. Neuroimage. 2021;227:117668.
Abe R, Okada S, Nakayama R, Ikegaya Y, Sasaki T. Social defeat stress causes selective attenuation of neuronal activity in the ventromedial prefrontal cortex. Sci Rep. 2019;9:9447.
Riem MME, Bakermans-Kranenburg MJ, Pieper S, Tops M, Boksem MAS, Vermeiren RRJM, et al. Oxytocin modulates amygdala, insula, and inferior frontal gyrus responses to infant crying: a randomized controlled trial. Biol Psychiatry. 2011;70:291–7.
Pessoa L. On the relationship between emotion and cognition. Nat Rev Neurosci. 2008;9:148–58.
Horta M, Ziaei M, Lin T, Porges EC, Fischer H, Feifel D, et al. Oxytocin alters patterns of brain activity and amygdalar connectivity by age during dynamic facial emotion identification. Neurobiol Aging. 2019;78:42–51.
Watanabe T, Kuroda M, Kuwabara H, Aoki Y, Iwashiro N, Tatsunobu N, et al. Clinical and neural effects of six-week administration of oxytocin on core symptoms of autism. Brain. 2015;138:3400–12.
Seeley SH, Chou Y, O’Connor MF. Intranasal oxytocin and OXTR genotype effects on resting state functional connectivity: A systematic review. Neurosci Biobehav Rev. 2018;95:17–32.
Allen EA, Damaraju E, Plis SM, Erhardt EB, Eichele T, Calhoun VD. Tracking whole-brain connectivity dynamics in the resting state. Cereb Cortex. 2014;24:663–76.
Zalesky A, Fornito A, Cocchi L, Gollo LL, Breakspear M. Time-resolved resting-state brain networks. Proc Natl Acad Sci USA. 2014;111:10341–6.
Liu X, Duyn JH. Time-varying functional network information extracted from brief instances of spontaneous brain activity. Proc Natl Acad Sci USA. 2013;110:4392–7.
Liu X, Zhang N, Chang C, Duyn JH. Co-activation patterns in resting-state fMRI signals. Neuroimage. 2018;180:485–94.
Liu T, Wang L, Suo D, Zhang J, Wang K, Wang J, et al. Resting-State Functional MRI of Healthy Adults: Temporal Dynamic Brain Coactivation Patterns. Radiology. 2022;304:624–32.
Wang D, Peng X, Pelletier-Baldelli A, Orlov N, Farabaugh A, Nasr S, et al. Altered temporal, but intact spatial, features of transient network dynamics in psychosis. Mol Psychiatry. 2021;26:2493–503.
Yang H, Zhang H, Di X, Wang S, Meng C, Tian L, et al. Reproducible coactivation patterns of functional brain networks reveal the aberrant dynamic state transition in schizophrenia. Neuroimage. 2021;237:118193.
Yao X, Klugah-Brown B, Yang H, Biswal B. Structural and functional network analysis of twins using fMRI data. Cereb Cortex. 2023;33:11060–9.
Foss-Feig JH, Adkinson BD, Ji JL, Yang G, Srihari VH, McPartland JC, et al. Searching for Cross-Diagnostic Convergence: Neural Mechanisms Governing Excitation and Inhibition Balance in Schizophrenia and Autism Spectrum Disorders. Biol Psychiatry. 2017;81:848–61.
Campbell A, Ruffman T, Murray JE, Glue P. Oxytocin improves emotion recognition for older males. Neurobiol Aging. 2014;35:2246–8.
Blanchard-Fields F. Everyday problem solving and emotion: an adult developmental perspective. Curr Directions Psychological Sci. 2007;16:26–31.
Gross JJ, Carstensen LL, Pasupathi M, Tsai J, Skorpen CG, et al. Emotion and aging: experience, expression, and control. Psychol Aging. 1997;12:590–9.
Shiota MN, Levenson RW. Effects of aging on experimentally instructed detached reappraisal, positive reappraisal, and emotional behavior suppression. Psychol Aging. 2009;24:890–900.
Carstensen LL, Turan B, Scheibe S, Ram N, Ersner-Hershfield H, Samanez-Larkin GR, et al. Emotional experience improves with age: evidence based on over 10 years of experience sampling. Psychol Aging. 2011;26:21–33.
Brandt J, Spencer M, Folstein M. The telephone interview for cognitive status. Cognit Behav Neurol. 1988;1:111–8.
Nooner KB, Colcombe SJ, Tobe RH, Mennes M, Benedict MM, Moreno AL, et al. The NKI-Rockland sample: a model for accelerating the pace of discovery science in psychiatry. Front Neurosci. 2012;6:152.
Betzel RF, Byrge L, He Y, Goñi J, Zuo XN, Sporns O. Changes in structural and functional connectivity among resting-state networks across the human lifespan. Neuroimage. 2014;102:345–57.
Cao M, Wang JH, Dai ZJ, Cao XY, Jiang LL, Fan FM, et al. Topological organization of the human brain functional connectome across the lifespan. Dev Cogn Neurosci. 2014;7:76–93.
Tian L, Ma L, Wang L. Alterations of functional connectivities from early to middle adulthood: Clues from multivariate pattern analysis of resting-state fMRI data. Neuroimage. 2016;129:389–400.
Yang Z, Chang C, Xu T, Jiang L, Handwerker DA, Castellanos FX, et al. Connectivity trajectory across lifespan differentiates the precuneus from the default network. Neuroimage. 2014;89:45–56.
Schaefer A, Kong R, Gordon EM, Laumann TO, Zuo X-N, Holmes AJ, et al. Local-Global parcellation of the human cerebral cortex from intrinsic functional connectivity MRI. Cereb Cortex. 2018;28:3095–114.
Tzourio-Mazoyer N, Landeau B, Papathanassiou D, Crivello F, Etard O, Delcroix N, et al. Automated anatomical labeling of activations in SPM using a macroscopic anatomical parcellation of the MNI MRI single-subject brain. Neuroimage. 2002;15:273–89.
Alaerts K, Bernaerts S, Wenderoth N. Effects of single- and multiple-dose oxytocin treatment on amygdala low-frequency BOLD fluctuations and BOLD spectral dynamics in autism. Transl Psychiatry. 2022;12:393.
Grace SA, Rossell SL, Heinrichs M, Kordsachia C, Labuschagne I. Oxytocin and brain activity in humans: A systematic review and coordinate-based meta-analysis of functional MRI studies. Psychoneuroendocrinology. 2018;96:6–24.
Sun F, Cui D, Jiao Q, Niu J, Zhang X, Shi Y, et al. The co-activation pattern between the DMN and other brain networks affects the cognition of older adults: evidence from naturalistic stimulation fMRI data. Cereb Cortex. 2024;34:bhad466.
Weber S, Bühler J, Loukas S, Bolton TAW, Vanini G, Bruckmaier R, et al. Transient resting-state salience-limbic co-activation patterns in functional neurological disorders. Neuroimage Clin. 2024;41:103583.
Monti S, Tamayo P, Mesirov J, Golub T. Consensus clustering: a resampling-based method for class discovery and visualization of gene expression microarray data. Mach Learn. 2003;52:91–118.
Bolton TAW, Tuleasca C, Wotruba D, Rey G, Dhanis H, Gauthier B, et al. TbCAPs: a toolbox for co-activation pattern analysis. Neuroimage. 2020;211:116621.
Gorgolewski KJ, Varoquaux G, Rivera G, Schwarz Y, Ghosh SS, Maumet C, et al. NeuroVault.Org: a web-based repository for collecting and sharing unthresholded statistical maps of the human brain. Front Neuroinform. 2015;9:8.
Yarkoni T, Poldrack RA, Nichols TE, Van Essen DC, Wager TD. Large-scale automated synthesis of human functional neuroimaging data. Nat Methods. 2011;8:665–70.
Kirsch P, Esslinger C, Chen Q, Mier D, Lis S, Siddhanti S, et al. Oxytocin modulates neural circuitry for social cognition and fear in humans. J Neurosci. 2005;25:11489–93.
Sripada CS, Phan KL, Labuschagne I, Welsh R, Nathan PJ, Wood AG. Oxytocin enhances resting-state connectivity between amygdala and medial frontal cortex. Int J Neuropsychopharmacology. 2013;16:255–60.
Flanagan JC, Hand A, Jarnecke AM, Moran-Santa Maria MM, Brady KT, Joseph JE. Effects of oxytocin on working memory and executive control system connectivity in posttraumatic stress disorder. Exp Clin Psychopharmacol. 2018;26:391–402.
Frijling JL, Van Zuiden M, Koch SBJ, Nawijn L, Veltman DJ, Olff M. Intranasal oxytocin affects amygdala functional connectivity after trauma script-driven imagery in distressed recently trauma-exposed individuals. Neuropsychopharmacology. 2016;41:1286–96.
Menon V, D’Esposito M. The role of PFC networks in cognitive control and executive function. Neuropsychopharmacology. 2022;47:90–103.
Menon V, Uddin LQ. Saliency, switching, attention and control: a network model of insula function. Brain Struct Funct. 2010;214:655–67.
Kanat M, Heinrichs M, Schwarzwald R, Domes G. Oxytocin attenuates neural reactivity to masked threat cues from the eyes. Neuropsychopharmacology. 2015;40:287–95.
Ebner NC, Horta M, Lin T, Feifel D, Fischer H, Cohen RA. Oxytocin modulates meta-mood as a function of age and sex. Front Aging Neurosci. 2015;7:175.
Tollenaar MS, Ruissen M, Elzinga BM, de Bruijn ERA. Does oxytocin lead to emotional interference during a working memory paradigm? Psychopharmacology. 2017;234:3467–74.
Burgaleta M, Johnson W, Waber DP, Colom R, Karama S. Cognitive ability changes and dynamics of cortical thickness development in healthy children and adolescents. Neuroimage. 2014;84:810–9.
Betzel RF, Fukushima M, He Y, Zuo XN, Sporns O. Dynamic fluctuations coincide with periods of high and low modularity in resting-state functional brain networks. Neuroimage. 2016;127:287–97.
Alichniewicz KK, Brunner F, Klünemann HH, Greenlee MW. Structural and functional neural correlates of visuospatial information processing in normal aging and amnestic mild cognitive impairment. Neurobiol Aging. 2012;33:2782–97.
Geerligs L, Renken RJ, Saliasi E, Maurits NM, Lorist MM. A brain-wide study of age-related changes in functional connectivity. Cereb Cortex. 2015;25:1987–99.
Snyder PJ, Alber J, Alt C, Bain LJ, Bouma BE, Bouwman FH, et al. Retinal imaging in Alzheimer’s and neurodegenerative diseases. Alzheimer’s Dement. 2021;17:103–11.
Tian L, Li Q, Wang C, Yu J. Changes in dynamic functional connections with aging. Neuroimage. 2018;172:31–39.
Nashiro K, Sakaki M, Braskie MN, Mather M. Resting-state networks associated with cognitive processing show more age-related decline those associated emotional processing. Neurobiol Aging. 2017;54:152–62.
Ferreira LK, Busatto GF. Resting-state functional connectivity in normal brain aging. Neurosci Biobehav Rev. 2013;37:384–400.
Montag C, Quintana DS. Digital phenotyping in molecular psychiatry—a missed opportunity? Mol Psychiatry. 2023;28:6–9.
Buhle JT, Silvers JA, Wager TD, Lopez R, Onyemekwu C, Kober H, et al. Cognitive reappraisal of emotion: A meta-analysis of human neuroimaging studies. Cereb Cortex. 2014;24:2981–90.
Morris JS, Friston KJ, Büchel C, Frith CD, Young AW, Calder AJ, et al. A neuromodulatory role for the human amygdala in processing emotional facial expressions. Brain. 1998;121:47–57.
Etkin A, Egner T, Kalisch R. Emotional processing in anterior cingulate and medial prefrontal cortex. Trends Cogn Sci. 2011;15:85–93.
Acknowledgements
This research was supported by The China MOST2030 Brain Project(2022ZD0208500).
Author information
Authors and Affiliations
Contributions
BK-B conceived and designed the study. YL and HW performed the data analyses. BK-K and YL drafted the manuscript. ZY, ATH, EA, PW, and BBB critically reviewed and revised the manuscript. All authors contributed to the interpretation of the findings and approved the final version of the manuscript.
Corresponding authors
Ethics declarations
Competing interests
The authors declare no competing interests.
Ethics approval and consent to participate
All procedures were conducted in accordance with relevant institutional guidelines and applicable regulations. The present study involved secondary analyses of previously published and publicly available datasets. For the Single Dose Intranasal Oxytocin Administration (SDIOA) dataset, ethical approval was granted by the University of Florida Institutional Review Board (IRB #39–2013), approved by the U.S. Food and Drug Administration (IND 100,860), and pre-registered at ClinicalTrials.gov (NCT01823146). For the Nathan Kline Institute/Rockland Sample (NKI) dataset, Institutional Review Board approval was obtained at the Nathan Kline Institute (Phase I #226781; Phase II #239708) and at Montclair State University (Phase I #000983 A; Phase II #000983B). Written informed consent was obtained from all adult participants. No identifiable participant images are included in this manuscript.
Additional information
Publisher’s note Springer Nature remains neutral with regard to jurisdictional claims in published maps and institutional affiliations.
Supplementary information
Rights and permissions
Open Access This article is licensed under a Creative Commons Attribution-NonCommercial-NoDerivatives 4.0 International License, which permits any non-commercial use, sharing, distribution and reproduction in any medium or format, as long as you give appropriate credit to the original author(s) and the source, provide a link to the Creative Commons licence, and indicate if you modified the licensed material. You do not have permission under this licence to share adapted material derived from this article or parts of it. The images or other third party material in this article are included in the article’s Creative Commons licence, unless indicated otherwise in a credit line to the material. If material is not included in the article’s Creative Commons licence and your intended use is not permitted by statutory regulation or exceeds the permitted use, you will need to obtain permission directly from the copyright holder. To view a copy of this licence, visit http://creativecommons.org/licenses/by-nc-nd/4.0/.
About this article
Cite this article
Klugah-Brown, B., Li, Y., Wu, H. et al. Dynamic brain connectivity patterns induced by oxytocin: An fMRI Co-Activation pattern analysis study. Mol Psychiatry (2026). https://doi.org/10.1038/s41380-026-03549-9
Received:
Revised:
Accepted:
Published:
Version of record:
DOI: https://doi.org/10.1038/s41380-026-03549-9










