Abstract
Background/Objectives
Dysregulation of microRNAs (miRNAs) and their target genes in placental tissue is associated with foetal growth restriction.
We aimed to evaluate associations of placental miR-21-5p, miR-141-3p and miR-210-3p expression with maternal, placental and newborn parameters and with placental expression of their potential target genes PTEN, VEGF, FLT and ENG in a set of well-characterized small- (SGA) and appropriate- (AGA) for gestational age full-term singleton pregnancies.
Subjects/Methods
Placental samples (n = 80) from 26 SGA and 54 AGA were collected from full-term singleton pregnancies. Placental transcript abundances of miR-21-5p, miR-141-3p and miR-210-3p were assessed after normalization to a reference miRNA, mir-16-5p by real-time quantitative PCR. Placental transcript abundances of PTEN, VEGF, FLT and ENG were assessed after normalizing to a panel of reference genes.
Results
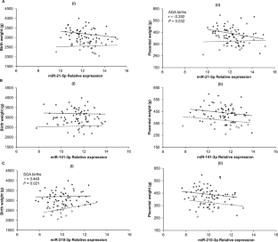
Placental miR-21-5p transcript abundance was negatively associated with placental weight (n = 80, r = −0.222, P = 0.047) and this association was specific to the AGA births (n = 54, r = −0.292, P = 0.032). Placental transcript abundances of miR-210-3p and miR-141-3p were not associated with placental weight or birth weight in all 80 births. However, placental miR-210-3p transcript abundance was positively associated with birth weight specifically in the SGA births (n = 26, r = 0.449, P = 0.021).
Placental transcript abundance of miR-21-5p was negatively associated with PTEN transcript abundance (Spearman’s ρ = −0.245, P = 0.028) while that of miR-141-3p was positively associated with FLT (Spearman’s ρ = 0.261, P = 0.019) and ENG (Spearman’s ρ = 0.259, P = 0.020) transcript abundances in all 80 births.
Conclusion
We conclude that placental miR-21-5p and miR-210-3p may be involved in fetoplacental growth. However, this regulation is unlikely to be mediated through placental expression of PTEN, VEGF, FLT or ENG.
This is a preview of subscription content, access via your institution
Access options
Subscribe to this journal
Receive 12 print issues and online access
$259.00 per year
only $21.58 per issue
Buy this article
- Purchase on SpringerLink
- Instant access to the full article PDF.
USD 39.95
Prices may be subject to local taxes which are calculated during checkout



Similar content being viewed by others
References
Lee ACC, Katz J, Blencowe H, Cousens S, Kozuki N, Vogel JP, et al. National and regional estimates of term and preterm babies born small for gestational age in 138 low-income and middle-income countries in 2010. Lancet Glob Heal. 2013;1:e26–36.
Hong YH, Chung S. Small for gestational age and obesity related comorbidities. Ann Pediatr Endocrinol Metab. 2018;23:4–8.
Bernstein PS, Divon MY. Etiologies of fetal growth restriction. Clin Obstet Gynecol. 1997;40:723–9.
Krishna U, Bhalerao S. Placental insufficiency and fetal growth restriction. J Obstet Gynecol India. 2011;61:505–11.
Gude NM, Roberts CT, Kalionis B, King RG. Growth and function of the normal human placenta. Thromb Res. 2004;114:397–407.
Cindrova-Davies T, Herrera EA, Niu Y, Kingdom J, Giussani DA, Burton GJ. Reduced cystathionine γ-lyase and increased miR-21 expression are associated with increased vascular resistance in growth-restricted pregnancies: Hydrogen sulfide as a placental vasodilator. Am J Pathol. 2013;182:1448–58.
Hromadnikova I, Kotlabova K, Ondrackova M, Pirkova P, Kestlerova A, Novotna V, et al. Expression Profile of C19MC microRNAs in Placental Tissue in Pregnancy-Related Complications. DNA Cell Biol. 2015;34:437–57.
Higashijima A, Miura K, Mishima H, Kinoshita A, Jo O, Abe S, et al. Characterization of placenta-specific microRNAs in fetal growth restriction pregnancy. Prenat Diagn. 2013;33:214–22.
Tang Q, Wu W, Xu X, Huang L, Gao Q, Chen H, et al. miR-141 contributes to fetal growth restriction by regulating PLAG1 expression. PLoS One. 2013;8:e58737.
Felekkis K, Touvana E, Stefanou C, Deltas C. MicroRNAs: a newly described class of encoded molecules that play a role in health and disease. Hippokratia. 2010;14:236–40.
Lee DC, Romero R, Kim JS, Tarca AL, Montenegro D, Pineles BL, et al. MiR-210 targets iron-sulfur cluster scaffold homologue in human trophoblast cell lines: siderosis of interstitial trophoblasts as a novel pathology of preterm preeclampsia and small-for-gestational-age pregnancies. Am J Pathol. 2011;179:590–602.
Guo L, Tsai SQ, Hardison NE, James AH, Motsinger-Reif AA, Thames B, et al. Differentially expressed microRNAs and affected biological pathways revealed by modulated modularity clustering (MMC) analysis of human preeclamptic and IUGR placentas. Placenta. 2013;34:599–605.
Östling H, Kruse R, Helenius G, Lodefalk M. Placental expression of microRNAs in infants born small for gestational age. Placenta. 2019;81:46–53.
Maccani MA, Padbury JF, Marsit CJ. miR-16 and miR-21 expression in the placenta is associated with fetal growth. PLoS One. 2011;6:e21210.
Fasanaro P, D’Alessandra Y, Di Stefano V, Melchionna R, Romani S, Pompilio G, et al. MicroRNA-210 modulates endothelial cell response to hypoxia and inhibits the receptor tyrosine kinase ligand ephrin-A3. J Biol Chem. 2008;283:15878–83.
Anton L, Olarerin-George AO, Schwartz N, Srinivas S, Bastek J, Hogenesch JB, et al. miR-210 inhibits trophoblast invasion and is a serum biomarker for preeclampsia. Am J Pathol. 2013;183:1437–45.
Zhang Y, Fei M, Xue G, Zhou Q, Jia Y, Li L, et al. Elevated levels of hypoxia-inducible microRNA-210 in pre-eclampsia: new insights into molecular mechanisms for the disease. J Cell Mol Med. 2012;16:249–59.
Morales-Prieto DM, Chaiwangyen W, Ospina-Prieto S, Schneider U, Herrmann J, Gruhn B, et al. MicroRNA expression profiles of trophoblastic cells. Placenta. 2012;33:725–34.
Stepan H, Krämer T, Faber R. Brief report: Maternal plasma concentrations of soluble endoglin in pregnancies with intrauterine growth restriction. J Clin Endocrinol Metab. 2007;92:2831–4.
Romero R, Nien JK, Espinoza J, Todem D, Fu W, Chung H, et al. A longitudinal study of angiogenic (placental growth factor) and anti-angiogenic (soluble endoglin and soluble vascular endothelial growth factor receptor-1) factors in normal pregnancy and patients destined to develop preeclampsia and deliver a small for. J Matern Neonatal Med. 2008;21:9–23.
Åsvold OB, Vatten LJ, Romundstad PR, Jenum PA, Karumanchi SA, Anne E. Angiogenic factors in maternal circulation and the risk of severe fetal growth restriction. Am J Epidemiol. 2011;173:630–9.
Thamotharan S, Chu A, Kempf K, Janzen C, Grogan T, Elashoff DA, et al. Differential microRNA expression in human placentas of term intra-uterine growth restriction that regulates target genes mediating angiogenesis and amino acid transport. PLoS One. 2017;12:e0176493.
Franz F, Edgar E, Albert-Georg L, Axel B. G*Power 3: a flexible statistical power analysis program for the social, behavioral, and biomedical sciences. Behav Res Methods. 2007;39:175.
Physical status: the use and interpretation of anthropometry. Report of a WHO Expert Committee. World Heal Organ Tech Rep Ser. 1995;854:1–452.
Soncin F, Khater M, To C, Pizzo D, Farah O, Wakeland A, et al. Comparative analysis of mouse and human placentae across gestation reveals species-specific regulators of placental development. Development. 2018;145:dev156273.
Raman K, Wang H, Troncone MJ, Khan WI, Pare G, Terry J. Overlap chronic placental inflammation is associated with a unique gene expression pattern. Kanellopoulos-Langevin C, editor. PLoS One. 2015;10:e0133738.
Mukhopadhyay A, Ravikumar G, Dwarkanath P, Meraaj H, Thomas A, Crasta J, et al. Placental expression of the insulin receptor binding protein GRB10: relation to human fetoplacental growth and fetal gender. Placenta. 2015;36:1225–30.
Mukhopadhyay A, Ravikumar G, Meraaj H, Dwarkanath P, Thomas A, Crasta J, et al. Placental expression of DNA methyltransferase 1 (DNMT1): gender-specific relation with human placental growth. Placenta. 2016;48:119–25.
Livak KJ, Schmittgen TD. Analysis of relative gene expression data using real-time quantitative PCR and the 2-ΔΔCT method. Methods. 2001;25:402–8.
Wang D, Na Q, Song WW, Song GY. Altered expression of miR-518b and miR-519a in the placenta is associated with low fetal birth weight. Am J Perinatol. 2014;31:729–34.
Solayman MHM, Langaee T, Patel A, El-Wakeel L, El-Hamamsy M, Badary O, et al. identification of suitable endogenous normalizers for qRT-PCR analysis of plasma microRNA expression in essential hypertension. Mol Biotechnol. 2016;58:179–87.
Bryzgunova OE, Zaripov MM, Skvortsova TE, Lekchnov EA, Grigor’eva AE, Zaporozhchenko IA, et al. Comparative study of extracellular vesicles from the urine of healthy individuals and prostate cancer patients. Carter DRF, editor. PLoS One. 2016;11:e0157566.
Lange T, Stracke S, Rettig R, Lendeckel U, Kuhn J, Schlüter R, et al. Identification of miR-16 as an endogenous reference gene for the normalization of urinary exosomal miRNA expression data from CKD patients. Ray RB, editor. PLoS One. 2017;12:e0183435.
Kochhar P, Dwarkanath P, Ravikumar G, Thomas A, Crasta J, Thomas T, et al. Mukhopadhyay A. Placental expression of RNU44 RNU48 and miR-16-5p: stability and relations with fetoplacental growth. European Journal of Clinical Nutrition. https://doi.org/10.1038/s41430-021-01003-3.
Mani C, Kochhar P, Ravikumar G, Dwarkanath P, Sheela CN, George S, et al. Placental expression of ENG, VEGF, and FLT: gender-specific associations with maternal vitamin B12 status. Eur J Clin Nutr. 2020;74:176–82.
Jager KJ, Zoccali C, MacLeod A, Dekker FW. Confounding: what it is and how to deal with it. Kidney Int. 2008;73:256–60.
Barros FC, de Rabello Neto DL, Villar J, Kennedy SH, Silveira MF, Diaz-Rossello JL, et al. Caesarean sections and the prevalence of preterm and early-term births in Brazil: secondary analyses of national birth registration. BMJ Open. 2018;8:e021538.
Smith GCS. A population study of birth weight and the risk of caesarean section: Scotland 1980–1996. BJOG Int J Obstet Gynaecol. 2000;107:740–4.
Parrish KM. Effect of changes in maternal age, parity, and birth weight distribution on primary cesarean delivery rates. JAMA J Am Med Assoc. 1994;271:443–7.
Zhao Z, Moley KH, Gronowski AM. Diagnostic potential for miRNAs as biomarkers for pregnancy-specific diseases. Clin Biochem. 2013;46:953–60.
Miura K, Higashijima A, Hasegawa Y, Abe S, Miura S, Kaneuchi M, et al. Circulating levels of maternal plasma cell-free miR-21 are associated with maternal body mass index and neonatal birth weight. Prenat Diagn. 2015;35:509–11.
Zhang J-T, Cai Q-Y, Ji S-S, Zhang H-X, Wang Y-H, Yan H-T, et al. Decreased miR-143 and increased miR-21 placental expression levels are associated with macrosomia. Mol Med Rep. 2016;13:3273–80.
Jiang H, Wu W, Zhang M, Li J, Peng Y, Miao T-T, et al. Aberrant upregulation of miR-21 in placental tissues of macrosomia. J Perinatol. 2014;34:658–63.
Whitehead CL, Teh WT, Walker SP, Leung C, Larmour L, Tong S. Circulating MicroRNAs in maternal blood as potential biomarkers for fetal hypoxia in-utero. PLoS One. 2013;8:e78487.
Chaiwangyen W, Ospina-Prieto S, Photini SM, Schleussner E, Markert UR, Morales-Prieto DM. Dissimilar microRNA-21 functions and targets in trophoblastic cell lines of different origin. Int J Biochem Cell Biol. 2015;68:187–96.
Liu ZL, Wang H, Liu J, Wang ZX. MicroRNA-21 (miR-21) expression promotes growth, metastasis, and chemo- or radioresistance in non-small cell lung cancer cells by targeting PTEN. Mol Cell Biochem. 2013;372:35–45.
Lou Y, Yang X, Wang F, Cui Z, Huang Y. MicroRNA-21 promotes the cell proliferation, invasion and migration abilities in ovarian epithelial carcinomas through inhibiting the expression of PTEN protein. Int J Mol Med. 2010;26:819–27.
Oldham S, Stocker H, Laffargue M, Wittwer F, Wymann M, Hafen E. The Drosophila insulin/IGF receptor controls growth and size by modulating PtdInsP3 levels. Development. 2002;129:4103–9.
Garcia-Cao I, Song MS, Hobbs RM, Laurent G, Giorgi C, De Boer VCJ, et al. Systemic elevation of PTEN induces a tumor-suppressive metabolic state. Cell. 2012;149:49–62.
Ortega-Molina A, Efeyan A, Lopez-Guadamillas E, Muñoz-Martin M, Gómez-López G, Cañamero M, et al. Pten positively regulates brown adipose function, energy expenditure, and longevity. Cell Metab. 2012;15:382–94.
Muralimanoharan S, Guo C, Myatt L, Maloyan A. Sexual dimorphism in miR-210 expression and mitochondrial dysfunction in the placenta with maternal obesity. Int J Obes. 2015;39:1274–81.
Li L, Huang X, He Z, Xiong Y, Fang Q. miRNA-210-3p regulates trophoblast proliferation and invasiveness through fibroblast growth factor 1 in selective intrauterine growth restriction. J Cell Mol Med. 2019;23:4422–33.
Luo R, Wang Y, Xu P, Cao G, Zhao Y, Shao X, et al. Hypoxia-inducible miR-210 contributes to preeclampsia via targeting thrombospondin type I domain containing 7A. Sci Rep. 2016;6:19588.
Mutharasan RK, Nagpal V, Ichikawa Y, Ardehali H. microRNA-210 is upregulated in hypoxic cardiomyocytes through Akt- and p53-dependent pathways and exerts cytoprotective effects. Am J Physiol Circ Physiol. 2011;301:H1519–30.
Milovanovic I, Njuieyon F, Deghmoun S, Chevenne D, Levy-Marchal C, Beltrand J. Innate small babies are metabolically healthy children. J Clin Endocrinol Metab. 2012;97:4407–13.
Mestdagh P, Lefever S, Pattyn F, Ridzon D, Fredlund E, Fieuw A, et al. The microRNA body map: dissecting microRNA function through integrative genomics. Nucleic Acids Res. 2011;39:e136–e136.
Tan H, Huang S, Zhang Z, Qian X, Sun P, Zhou X. Pan-cancer analysis on microRNA-associated gene activation. EBioMedicine. 2019;43:82–97.
Pecot CV, Rupaimoole R, Yang D, Akbani R, Ivan C, Lu C, et al. Tumour angiogenesis regulation by the miR-200 family. Nat Commun. 2013;4:1–14.
Wu D, Chen X, Wang L, Chen F, Cen H, Shi L. Hypoxia-induced microRNA-141 regulates trophoblast apoptosis, invasion, and vascularization by blocking CXCL12β/CXCR2/4 signal transduction. Biomed Pharmacother. 2019;116:108836.
Chim SSC, Shing TKF, Hung ECW, Leung T-Y, Lau T-K, Chiu RWK, et al. Detection and characterization of placental microRNAs in maternal plasma. Clin Chem. 2008;54:482–90.
Gunel T, Hosseini MK, Gumusoglu E, Kisakesen HI, Benian A, Aydinli K. Expression profiling of maternal plasma and placenta microRNAs in preeclamptic pregnancies by microarray technology. Placenta. 2017;52:77–85.
Guo Y, Xiao P, Lei S, Deng F, Xiao GG, Liu Y, et al. How is mRNA expression predictive for protein expression? A correlation study on human circulating monocytes. Acta Biochim Biophys Sin (Shanghai). 2008;40:426–36.
Williams RL, Creasy RK, Cunningham GC, Hawes WE, Norris FD, Tashiro M. Fetal growth and perinatal viability in California. Obstet Gynecol 1982;59:624–32.
Pölzlberger E, Hartmann B, Hafner E, Stümpflein I, Kirchengast S. Maternal height and pre-pregnancy weight status are associated with fetal growth patterns and newborn size. J Biosoc Sci 2017;49:392–407.
Zeve D, Regelmann MO, Holzman IR, Rapaport R. Small at birth, but how small? the definition of SGA revisited. Horm Res Paediatr. 2016;86:357–60.
Janssen AB, Tunster SJ, Savory N, Holmes A, Beasley J, Parveen SAR, et al. Placental expression of imprinted genes varies with sampling site and mode of delivery. Placenta. 2015;36:790–5.
Acknowledgements
We thank the pregnant women who participated in the study and doctors and nurses who made this study possible. The contribution of the research assistants Ms. Nancy N, Ms. Roopashree C, Ms. Aruna BS and Ms. Arogya M who collected the samples and data is acknowledged. Histopath technician Ms. Mahalakshmi S assisted the pathologists in placental grossing experiments. We gratefully acknowledge the guiding role of Prof. TS Sridhar in initial establishment of human placental tissue-related protocols.
Funding
This work was supported by the Women Scientist Scheme, Department of Science & Technology, Government of India to PK (Reference no. SR/WOS-A/LS-669/2016) and the Department of Biotechnology, Government of India grants to AM and AVK (Grant sanction nos. BT/PR22326/MED/97/349/2016 and BT/PR30276/MED/97/399/2018).
Author information
Authors and Affiliations
Contributions
AM, AVK and PK designed the study. AM and PK contributed to the planning of the experiments. PD, GR, AT and JC provided samples and clinical information for the study. PK performed all experiments, AM and TT conducted the statistical analyses. AM and PK wrote the manuscript. AM, AVK, TT and PD contributed to the interpretation of the results and manuscript writing. All authors discussed the results, have seen and approved the final version of the manuscript.
Corresponding author
Ethics declarations
Competing interests
The authors declare no competing interests.
Additional information
Publisher’s note Springer Nature remains neutral with regard to jurisdictional claims in published maps and institutional affiliations.
Rights and permissions
About this article
Cite this article
Kochhar, P., Dwarkanath, P., Ravikumar, G. et al. Placental expression of miR-21-5p, miR-210-3p and miR-141-3p: relation to human fetoplacental growth. Eur J Clin Nutr 76, 730–738 (2022). https://doi.org/10.1038/s41430-021-01017-x
Received:
Revised:
Accepted:
Published:
Version of record:
Issue date:
DOI: https://doi.org/10.1038/s41430-021-01017-x
This article is cited by
-
First trimester maternal serum MicroRNA expression and pre-eclampsia: a retrospective nested case-control study
BMC Pregnancy and Childbirth (2025)
-
The effect of MicroRNAs variants on idiopathic recurrent pregnancy loss
Journal of Assisted Reproduction and Genetics (2023)
-
The Role of Cow’s Milk Consumption in Breast Cancer Initiation and Progression
Current Nutrition Reports (2023)


