Abstract
High-pressure diamond anvil cells have been widely used to create novel states of matter. Nevertheless, the lack of universal in-situ magnetic measurement techniques at megabar pressures makes it difficult to understand the underlying physics of materials’ behavior at extreme conditions, such as high-temperature superconductivity of hydrides and the formation or destruction of the local magnetic moments in magnetic systems. Here, we break through the limitations of pressure on quantum sensors by modulating the uniaxial stress along the nitrogen-vacancy axis and develop the in-situ magnetic detection technique at megabar pressures with high sensitivity (\(\sim 1{{{\rm{\mu }}}}{{{\rm{T}}}}/\sqrt{{{{\rm{Hz}}}}}\)) and sub-microscale spatial resolution. By directly imaging the magnetic field and the evolution of magnetic domains, we observe the macroscopic magnetic transition of Fe3O4 in the megabar pressure range from ferrimagnetic (α-Fe3O4) to weak ferromagnetic (β-Fe3O4) and finally to paramagnetic (γ-Fe3O4). The scenarios for magnetic changes in Fe3O4 characterized here shed light on the direct magnetic microstructure observation in bulk materials at high pressure and contribute to understanding magnetism evolution in the presence of numerous complex factors such as spin crossover, altered magnetic interactions and structural phase transitions.
Similar content being viewed by others
Introduction
Pressure has been proved to be a powerful tool to tune the magnetic properties of materials as it can effectively increase intermolecular interaction and redistribute electrons1,2,3. For example, the spin crossover in 3d transition metal compounds is characterized by the competition of the spin exchange and crystal field energy on compression4, and the effect of covalency of the neighboring metal ions5. Additionally, measurements of magnetic properties at high pressures are extremely instrumental in high Tc superconducting materials such as polyhydrides, where there is a high controversy about their existence and properties6,7,8 due to a lack of sufficient evidence of the Meissner effect. Many efforts have been made to adapt magnetic detection methods to Diamond Anvil Cell (DAC) facilities. High energy photon/neutron scattering techniques such as x-ray magnetic circular dichroism (XMCD), Neutron magnetic scattering, and Mössbauer spectroscopy are widely used for magnetic measurements in DACs1. These techniques can probe atomic-scale magnetism and resolve local element-specific magnetism issues. However, these methods are not directly sensitive to magnetic phenomena like the Meissner effect. Moreover, they are technically restricted by sample and beam size at high pressure, and the quantitative analysis remains challenging9. The magnetization of the materials can be directly measured by integrating DAC into superconducting quantum interference devices (SQUID). However, the effect of the DAC apparatus’ background cannot be separated from the magnetization of the micrometer-scale samples, resulting in the lack of spatial resolution and the disadvantage of detecting the magnetization of inhomogeneous sample synthesized at high pressure and high temperature inside the high-pressure chamber10,11. Integration of inductively coupled coils in high pressure chamber enables the measurement of macroscopic magnetism by the AC susceptibility method12, however, it is still challenging to achieve sufficient sensitivity at megabar pressures.
In recent years, NV centers in diamond have been proposed as quantum sensors for new types of high-pressure magnetic measurements, as they can be placed at distances down to the nanoscales from the sample inside the pressure chamber to detect the complex free-space magnetic field textures generated by high-pressure samples and they are able to provide significant potential advantages in terms of sensitivity and spatial resolution13,14,15. However, the surrounding stress environment could dramatically degrade NV centers’ magnetic sensing capabilities associated with their optical and spin properties. Recent works show that in complex stress environment, the optical-spin readout contrast worsens, and spin resonance linewidth becomes broader, leading to a sharp drop in sensitivity as the pressure approaches the megabar level16,17. Understanding the stress-induced effect and maintaining excellent performances of NV centers present substantial challenges for applying this technique to reveal the magnetically related physics above megabar.
In this work, we explore the impact of stress on the optical and spin properties of NV centers. Then by modulating the uniaxial stress along the nitrogen-vacancy axis, we improve the magnetic detective sensitivity to \(\sim 1{{{\rm{\mu }}}}{{{\rm{T}}}}/\sqrt{{{{\rm{Hz}}}}}\) at 130 GPa, which is promising for nano-scale single-domain grain detection18,19. Based on the sensitivity of the NV quantum sensors achieved, we investigated the magnetism change of the Fe3O4—one of the oldest magnetic minerals on the earth20—at pressures well exceeding a megabar at room temperature.
Results and discussion
Quantum sensors at megabar pressures
Firstly, to ensure the sensors work well at extreme pressure, an understanding of how the pressure alters the states of quantum sensors is necessary. In particular, the non-hydrostatic pressure components like shear stress have been found to greatly affect phase transition occurrence21,22. We investigated the electronic energy level of the NV center under uniaxial stress with different directions by first-principles calculations. As shown in Fig. 1b, the stress component \({\sigma }_{\perp }\) perpendicular to the NV axis breaks the C3V symmetry and lifts the degenerate energy levels ex and ey. As the stress increases, the electrons will undergo redistribution, favoring staying in the same ex levels, resulting in a single state (S = 0) and loss of magnetic detection ability. In contrast, the symmetry is not broken for the stress applied along the NV axis, and the quantum sensor stays in the spin-triplet state (S = 1), enabling high-pressure magnetic measurements. This stress orientation-dependent spin crossover effect will provide insight into understanding spin-crossover phenomena in other materials at high pressures.
a Schematic of the DAC geometry. The shallow layer of NV centers is embedded in the diamond anvil culet and a single crystal of Fe3O4 is placed on the surface of the same culet. The inset shows the uniaxial stress component \(\sigma\) perpendicular to the surface of culet. b The electronic ground state levels of the NV center under megabar uniaxial stress along [111] direction by first-principles calculations. Left: NV centers along \([1\bar{1}\bar{1}]\),\(\,[\bar{1}1\bar{1}]\),and\(\,[\bar{1}\bar{1}1]\) direction. Right: NV centers along [111] direction. c The spin ground state energy structure of the NV− and the evolution with the existence of both magnetic field and stress environment. The fluorescence intensity of the NV center is dependent on the spin states (ms = 0, bright; ms = ± 1, dark). And the spin states can be initialized to ms = 0 by laser and coherently manipulated by microwave. D0 = 2.87 GHz is the zero-field splitting. \({\Delta }_{B}\) is half of the Zeeman splitting energy with external magnetic field. Ds is the energy shift of the zero-field splitting caused by the axial stress component. \({\Delta }_{{\sigma }_{\perp }}\) is half of the splitting in ms = ± 1 spin sublevels produced by the \({\sigma }_{\perp }\) in NV’s frame.\(\,\varGamma\) is the additional broadening of the sublevels for the ensemble NV centers in inhomogeneous stress. d The corresponding optically detected magnetic resonance (ODMR) spectrum at 46.3 GPa presenting the spin states in (c). The dashed grey line marks the peak position (D0) at ambient conditions with no magnetic field, and the dashed red line marks the central position (D0 + Ds) of two separated peaks at high pressure with a parallel magnetic field (~133 G). The data extraction of D0, Ds,\(\,\Delta\), and \(\varGamma\) allow us to determine the magnitude of the stress and external magnetic fields.
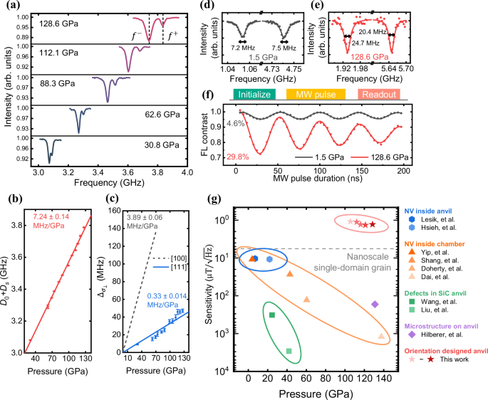
In experiments, the stress at the anvil tip comprises hydrostatic pressure (\(\rho\)) and uniaxial stress (\(\sigma\)) perpendicular to the surface23, allowing for modulation of uniaxial stress direction on NV centers through control of anvil crystal orientation. For NV centers oriented along [111] direction in the (111)-cut anvil, the component \({\sigma }_{\perp }\) can be minimized, in contrast to the increased component \({\sigma }_{\perp }\) for NV centers in the other three crystallographically equivalent directions (\([1\bar{1}\bar{1}]\),\(\,[\bar{1}1\bar{1}]\),\(\,[\bar{1}\bar{1}1]\)). As a result, the contrast in the ODMR spectrum for [111] NV centers remains high as pressure increases to the megabar range (Fig. 2a), and the ODMR signal of NV centers in the other three directions disappear and loss sensing capability (Supplementary Fig. 6). The reason for the asymmetry in the ODMR peaks intensity is the asymmetry in effective driving strength due to \({\sigma }_{\perp }\) (see Supplementary Note 1, section 3.5). Notably, at 130 GPa, we observed a contrast enhancement to ~30%, much higher than that at 1.5 GPa (Fig. 2f). We suspect that NV centers oriented in the other directions, which produce intense optical background signals at low pressure, fluorescence quenching may occur at high pressure and thus increase the ODMR contrast (see Supplementary Note 2). In conclusion, the observed high contrast is approximately two orders of magnitude higher than previous results at similar pressures16,17.
a Zero magnetic field ODMR spectrum of NV centers under pressure. \({f}^{\pm }\) are the resonant frequencies of the left and right peaks in the spectral line respectively, ODMR center frequency is \({D}_{0}+\,{D}_{s}=({f}^{+}+{f}^{-})/2\), and ODMR splitting induced by \({\sigma }_{\perp }\) is \({2\Delta }_{{\sigma }_{\perp }}={f}^{+}-{f}^{-}\). Please note that due to the ODMR not being performed under optimized conditions, there is a reduction in contrast compared to the results shown in (f). b Pressure dependence of \({D}_{0}+{D}_{s}\). The data are represented by red filled circles with error bars, and the red solid line represents the linear fitting of the data. c Pressure dependence of \({\Delta }_{{\sigma }_{\perp }}\), which is measured by the half of splitting in ODMR peaks in zero magnetic field (\({\Delta }_{B}\) = 0). The blue filled circles with error bars represent the data in (111)-cut anvil, and the blue solid line provides a trendline for the deviation of \({\Delta }_{{\sigma }_{\perp }}\) from linearity. The dashed grey line represents the result in (100)-cut anvil by Hilberer et al16. The error bars in (b) and (c) correspond to a 95% confidence interval. d, e The ODMR spectrum linewidth (\(\varGamma\)) tested in ~660 G magnetic field at 1.5 GPa and 128.6 Gpa. The spectrum broadening is shown respectively. The Y axes are set equal scales for comparison. f Rabi oscillations of NV electron spins at 1.5 GPa and 128.6 Gpa. The ODMR contrast is shown respectively. The experimental data are fitted by damped sine wave function and plotted by the gray and red solid lines. g Comparison of high-pressure magnetometry techniques based on color centers in diamond anvil cell. Our work is marked by red stars. The performance of NV inside the diamond anvil (blue hexagons)13,14, NV inside the pressure chamber (orange triangles)15,17,46,47, microstructure on anvil (violet diamonds)16 and defects in SiC anvil (green squares)48,49 are plotted together for comparison. The dashed grey line indicates the magnitude of the remnant magnetic field (\(\sim 5.8{{{\rm{\mu }}}}{{{\rm{T}}}}\)) generated by a nanoscale single-domain grain (magnetic moment \({10}^{-17}{{{\rm{A}}}}\cdot {{{{\rm{m}}}}}^{2}\), distance \(700{{{\rm{nm}}}}\)).
Secondly, we investigate the effect of inhomogeneous stress on the broadening of the ODMR spectrum (\(\varGamma\)). Together with the ODMR spectrum contrast (\(C\)), these two parameters are crucial in determining the sensitivity of magnetic measurements24,25:
with the Planck constant \(h\), g-factor \({g}_{{{{\rm{e}}}}}\), Bohr magneton \({\mu }_{{{{\rm{B}}}}}\), and photon-detection rate \(R\).
As shown in Fig. 1c, d and Fig. 2b, in the presence of axial stress, the center frequency of ms = ±1 spin sublevel shifts from \({D}_{0}\)(2.87 GHz) to \({{D}_{0}+D}_{s}\)26,27. In addition, inhomogeneous axial stress along the NV axis also broadens the ODMR spectrum and reduces the magnetic measurement sensitivity (see Supplementary Note 3). However, since the stress gradient is mainly perpendicular to the anvil surface and the distribution of the NV centers in the z direction is highly concentrated (~4 nm thickness through low-energy (9 keV) ion implantation), we can largely suppress the linewidth broadening. As shown in Fig. 2d, e, the linewidth of the ODMR spectrum is narrowed to approximately 20 MHz, a five-fold reduction compared to previous work16,17. With an external magnetic field projected along NV axis (\({B}_{z}\)) and stress component \({\sigma }_{\perp }\), the energy splitting between ms = ± 1 sublevels can be expressed as 2 \(\Delta=2\sqrt{{{\Delta }_{B}}^{2}+{{\Delta }_{{\sigma }_{\perp }}}^{2}}\), determined by the Zeeman splitting (\({2\Delta }_{B}={2\gamma }_{{{{\rm{e}}}}}{B}_{z}\)) and the stress splitting (\({2\Delta }_{{\sigma }_{\perp }}\)). In this work, we minimize the \({\sigma }_{\perp }\) component using a (111)-cut anvil and obtain \(\,\Delta \cong {\Delta }_{B}\) since \({\Delta }_{B} \, \gg \, {\Delta }_{{\sigma }_{\perp }}\) (Fig. 2c).
As shown in Fig. 2g, the improvement of ODMR contrast and the suppression of spectrum broadening result in a magnetic detection sensitivity of \(\sim 1{{{\rm{\mu }}}}{{{\rm{T}}}}/\sqrt{{{{\rm{Hz}}}}}\) at megabar pressure. Moreover, the sensor has a sub-microscale spatial resolution, as estimated from the optical diffraction limit of the confocal optical system. With such detection sensitivity and resolution, our quantum sensors can investigate the remnant magnetic field generated by nanoscale single-domain grains18,19 at megabar pressures.
Magnetic properties investigation at megabar pressures
As an illustrative example, the NV center quantum sensors are utilized to investigate the evolution of the magnetic properties of Fe3O4 across a wide pressure range, from ambient to megabar scale. As a widely studied and representative magnetic material in geomagnetism, its macroscopic magnetic behavior under high pressure remains not fully understood.
Previous studies have utilized various microscale detection techniques, such as neutron scattering, Mössbauer spectroscopy, Fe K-edge X-ray absorption, and magnetic circular dichroism measurements to infer the macroscopic magnetic behavior at high pressure28,29,30,31,32. These investigations focused on exploring spin crossover and exchange interactions at different atomic Fe sites. However, understanding the complex process of macroscopic magnetism involves the interplay of structural, spin transition, and magnetic orders, among other mechanisms. Obtaining a comprehensive understanding of macroscopic magnetism from a microscopic perspective is challenging and can lead to controversial conclusions4,29,30,31,32. In our study, according to direct stray field measurement, we observed the magnetic transition from ferrimagnetic to weak ferromagnetic and paramagnetic with the structural evolution from α-Fe3O4 (\({Fd}\bar{3}m\)) to β-Fe3O4 (Bbmm) and γ-Fe3O4 (Pbcm)33. These results address the controversy of magnetism in β-Fe3O4 (Bbmm) below 40 GPa29,32 and exclude the possibility of magnetism recovery from 65 GPa to 120 GPa at room temperature4.
The pressure dependence of magnetic properties is characterized by the ODMR spectra of two kinds of NV centers (Fig. 3a, b). The NVo, located approximately 1 μm away from the Fe3O4, acts as a high-dynamical pressure range magnetometer for detecting magnetite-induced static stray fields. These stray fields cause additional spectral shifts relative to the external constant bias magnetic field (Fig. 3c). On the other hand, NVi positioned a few nanometers beneath the Fe3O4, serves as a high-precision and high spatial resolution magnetometer. The linewidth broadening of the ODMR spectrum in NVi is attributed not only to inhomogeneous stresses but also to strong spatial magnetic field gradients and potential magnetic fluctuations34,35 near the surface of magnetite (Fig. 3d).
a, b The Fluorescence (FL) imaging of NV centers in DACs exp1 and exp2, respectively. The fluorescence intensity tends to be lower beneath the Fe3O4 sample. The dashed blue square represents the area of Fe3O4 sample for eye guide. The filled black and white circle marks the NV centers below the side (NVo) and beneath (NVi) the Fe3O4 sample, respectively. c, d The ODMR spectra of NVo and NVi change with elevated pressures, respectively. The horizontal axis represents the frequency shift relevant to the center frequency of ms = ± 1 spin sublevels. The dashed black lines mark the resonant frequency of the NV centers far away from the sample, which is used to characterize the magnitude of the external magnetic field along NV axis (~130 G). The dashed blue lines and arrows mark the resonant frequency shift induced by the magnetic field from the sample. The dashed orange lines and arrows mark the spectrum broadening.
As illustrated in the schematic figure (Fig. 4a), variations in magnetization strength and configuration under pressure lead to significant changes in the stray magnetic field, which can be detected by NV centers. The magnetic evolution of magnetite from ferrimagnetic (FiM) to weak ferromagnetic (FM) and finally to paramagnetic (PM) is depicted in the high-pressure phase diagram (Fig. 4e) based on measurements of the stray magnetic fields (Fig. 4b–d). Magnetic imaging further enriches the details of the orientation and distribution evolution of magnetic domains (Fig. 4f, g).
a Schematic diagram of the evolution of magnetic domains and their stray magnetic fields in magnetite with pressure. b, c Pressure dependence of the magnetite magnetic field \({B}_{z}^{{{{\rm{mag}}}}}\). In (b), the black, red, and blue lines indicate the magnetic field \({B}_{z}^{{{{\rm{mag}}}}}\) with an external magnetic field of ~240 G at positions NVo1, NVo2, and NVo3 in exp2, respectively, in the inset. The dashed blue line in the inset marks the Fe3O4 sample. c Black and red lines show the magnetic field \({B}_{z}^{{{{\rm{mag}}}}}\) in exp1 (at positions NVo in Fig. 3a) and exp2 (at positions NVo in Fig. 3b) with an external magnetic field of ~130 G and ~570 G along NV axis respectively. The external magnetic fields used in exp1 and exp2 are to ensure the \({\Delta }_{B}\gg {\Delta }_{{{{{\rm{\sigma }}}}}_{\perp }}\) condition in 80 GPa and 120 GPa, respectively. (See Supplementary Note 4, section 6.4 for details of measurement deviation) (d) Pressure dependence of the linewidth broadening \({\varGamma }^{{{{\rm{mag}}}}}\). The black and red dots show the data from exp1 (at positions NVi in Fig. 3a) and exp2 (at positions NVi in Fig. 3b), respectively. The dotted lines are guide lines describing the trend of changes. The error bars in (b), (c), and (d) correspond to a 95% confidence interval. e The phase diagram of Fe3O430. FM stands for ferromagnetic, FiM stands for ferrimagnetic, and PM stands for paramagnetic. f–j Magnetic field imaging of the surface of Fe3O4 in exp2 with an external magnetic field of ~240 G at pressures of 38.2, 45.5, 50.4, 58.4 and 65.0 GPa, respectively. The dashed blue line in (e) marks the Fe3O4 sample and dashed gray lines mark the magnetic domain wall. (The details of error analysis are in Supplementary Note 4).
In α-Fe3O4, we observe the orientation of magnetic domains undergo dynamic changes as pressure increases. This results in a distinct evolution of the stray magnetic fields associated with different magnetic domains, which can be observed using NVo at different sites (Fig. 4b). It is important to note that this evolution is accompanied by an overall reduction in the magnetic strength observed at all sites, especially as the first structure transition occurs around 30 GPa. This reduction in magnetic strength is confirmed by two independent measurements of the stray fields from two different samples of single crystal magnetite (Fig. 4c).
In β-Fe3O4, the macroscopic magnetism experiences a significant decrease, resulting in stray magnetic fields that are too weak to be detected using NVo (Fig. 4b, c). In contrast, the NVi beneath the Fe3O4 demonstrates the advantage in measuring and imaging such weak stray magnetic fields (Fig. 4f–j). The presence of both stray magnetic fields and the linewidth broadening (Fig. 4d) indicate that β-Fe3O4 exhibits weak ferromagnetism. The drastic reduction of magnetism in comparison to α-Fe3O4 also explains the disappearance of ODMR spectra in NVi at 0-30 GPa (Fig. 3d) due to excessive line broadening caused by strong spatial magnetic field gradient and potential magnetic fluctuations. Additionally, the images reveal that the magnetic domains tend to be opposite to each other. The weak ferromagnetism observed in β-Fe3O4 can be influenced by various complex factors such as altered magnetic interactions and spin crossover. Ab initio calculations further support the possibility of the presence of multiple complex magnetic orders and spin transitions in β-Fe3O436.
In γ-Fe3O4, we observe the disappearance of both the stray magnetic fields and the linewidth broadening above 70 GPa (Fig. 4d), indicating a magnetic transition to PM phase. This observation is consistent with the Mössbauer spectroscopic studies that suggest magnetite becomes paramagnetic above 70 GPa at room temperature28,37. Interestingly, before this magnetic transition occurs, we observe the fragmentation in magnetic domains around 60 GPa (Fig. 4h–j) resulting in an increase of the line-broadening in ODMR spectra (Fig. 4d). We extend the magnetism measurements beyond 120 GPa and no further magnetic transition is observed, ruling out the possibility that the magnetism might recover above 65 GPa at room temperature4.
Our work extends magnetic measurement techniques based on NV centers to the megabar pressure range. It provides a new tool for quantitatively analyzing macroscopic magnetism at extreme pressures. A combination of complex factors such as electron spins, magnetic interactions, and crystal structures at the microscopic molecular scale determines the evolution of the magnetic properties of materials under extreme pressure. Utilizing the improved performance of the quantum sensors, we have realized the direct observation of magnetite’s magnetism under extreme pressure in various complex situations. The high spatial resolution and high sensitivity magnetic measurement can overcome the inhomogeneity of the samples and reveal the local magnetic evolution on the micrometer and nanometer scales.
This technique also applies to in-situ direct detection of high-temperature superconducting materials under megabar pressure, including various super hydride compounds7,38. We note a contemporaneous work using NV centers on the (111)-cut anvil for the detection of the Meissner effect in the CeH9 hydride superconductor39. In addition to the DC magnetic field measurements, our NV centers’ optical and spin properties also lift the limitations of nuclear magnetic resonance (NMR) and electron spin resonance (ESR) measurements under megabar pressures40. Thus, this work is promising to enable magnetic resonance imaging (MRI) in pressure chambers, thus providing an opportunity to make a great impact in investigating high-temperature superconductivity at high pressures6,7,41,42,43.
Methods
In our experiments, we used a BeCu symmetric diamond anvil cell (Fig. 1a) compressing rhenium gasket to provide a high-pressure environment for Fe3O4 samples. 532 nm laser is used to optically initialize and read out the spin state of NV centers. Ruby fluorescence and diamond edge Raman are used to calibrate pressures in DAC chamber. A platinum wire was compressed between the gasket and anvil pavilion facets and served as the microwave radiation guide for controlling the spin state. Nano cBN mixed with epoxy powder isolated the Pt foil and gasket. The sample chamber confined by the gasket and diamond culets was filled with pressure-transmitting medium (PTM) KCl to provide a quasi-hydrostatic environment. The magnetite sample (Fe3O4 single crystal) was placed on the diamond surface and compressed together with PTM. Ruby fluorescence (below 20 GPa) and Raman spectra of the diamond (above 20 GPa) were used as pressure calibrants44,45.
The diamond anvils we used in experiments were cut and polished from HPHT type-IIas (Non-fluorescent) single crystal diamonds. Both 100 µm and 150 µm diameter the culets were used. The NV centers layer used for magnetic sensing was positioned about ~9 nm deep from the surface of the anvil. The NV centers layer was created by 14N+ ion implantation (Energy: 6 keV Dose: 1 × 1013/cm2) and vacuum annealing treatment (1000 °C ~2 h). The size of the magnetite sample was about 4 µm × 5 µm × 1 µm, which was cut from a bulk 99.99% purity single crystal Fe3O4 (HeFei Crystal&Surface Technical Material Co., Ltd).
Data availability
All data and code that support the findings of this study are available from the corresponding author upon request.
References
Mao, H.-K., Chen, X.-J., Ding, Y., Li, B. & Wang, L. Solids, liquids, and gases under high pressure. Rev. Mod. Phys. 90, 015007 (2018).
Diamond, M. R. et al. Electron density changes across the pressure-induced iron spin transition. Phys. Rev. Lett. 129, 025701 (2022).
Ushakov, A. V., Shorikov, A. O., Anisimov, V. I., Baranov, N. V. & Streltsov, S. V. Suppression of magnetism under pressure in FeS: A DFT+DMFT study. Phys. Rev. B 95, 205116 (2017).
Ju, S., Cai, T.-Y., Lu, H.-S. & Gong, C.-D. Pressure-induced crystal structure and spin-state transitions in magnetite (Fe3O4). J. Am. Chem. Soc. 134, 13780–13786 (2012).
Streltsov, S. V. & Khomskii, D. I. Covalent bonds against magnetism in transition metal compounds. Proc. Natl Acad. Sci. 113, 10491–10496 (2016).
Eremets, M. I. et al. High-temperature superconductivity in hydrides: experimental evidence and details. J. Supercond. Nov. Magn. 35, 965–977 (2022).
Errea, I. Superconducting hydrides on a quantum landscape. J. Phys.: Condens. Matter 34, 231501 (2022).
Lilia, B. et al. The 2021 room-temperature superconductivity roadmap. J. Phys.: Condens. Matter 34, 183002 (2022).
Troyan, I. et al. Observation of superconductivity in hydrogen sulfide from nuclear resonant scattering. Science 351, 1303–1306 (2016).
Drozdov, A. P., Eremets, M. I., Troyan, I. A., Ksenofontov, V. & Shylin, S. I. Conventional superconductivity at 203 kelvin at high pressures in the sulfur hydride system. Nature 525, 73–76 (2015).
Drozdov, A. P. et al. Superconductivity at 250 K in lanthanum hydride under high pressures. Nature 569, 528–531 (2019).
Jackson, D. D. et al. Magnetic susceptibility measurements at high pressure using designer diamond anvils. Rev. Sci. Instrum. 74, 2467–2471 (2003).
Hsieh, S. et al. Imaging stress and magnetism at high pressures using a nanoscale quantum sensor. Science 366, 1349–1354 (2019).
Lesik, M. et al. Magnetic measurements on micrometer-sized samples under high pressure using designed NV centers. Science 366, 1359–1362 (2019).
Yip, K. Y. et al. Measuring magnetic field texture in correlated electron systems under extreme conditions. Science 366, 1355–1359 (2019).
Hilberer, A. et al. Enabling quantum sensing under extreme pressure: nitrogen-vacancy magnetometry up to 130 GPa. Phys. Rev. B 107, L220102 (2023).
Dai, J.-H. et al. Optically detected magnetic resonance of diamond nitrogen-vacancy centers under megabar pressures. Chin. Phys. Lett. 39, 117601 (2022).
Fu, R. R., Lima, E. A., Volk, M. W. R. & Trubko, R. High-sensitivity moment magnetometry with the quantum diamond microscope. Geochem. Geophys. Geosyst. 21, e2020GC009147 (2020).
Nagy, L., Williams, W., Tauxe, L., Muxworthy, A. R. & Ferreira, I. Thermomagnetic recording fidelity of nanometer-sized iron and implications for planetary magnetism. Proc. Natl Acad. Sci. 116, 1984–1991 (2019).
Ferré, E. C., Kupenko, I., Martín-Hernández, F., Ravat, D. & Sanchez-Valle, C. Magnetic sources in the Earth’s mantle. Nat. Rev. Earth Environ. 2, 59–69 (2021).
Nie, A. et al. Direct observation of room-temperature dislocation plasticity in diamond. Matter 2, 1222–1232 (2020).
Ji, C. et al. Shear-induced phase transition of nanocrystalline hexagonal boron nitride to wurtzitic structure at room temperature and lower pressure. Proc. Natl Acad. Sci. 109, 19108–19112 (2012).
Ruoff, A. L., Luo, H. & Vohra, Y. K. The closing diamond anvil optical window in multimegabar research. J. Appl. Phys. 69, 6413–6416 (1991).
Dréau, A. et al. Avoiding power broadening in optically detected magnetic resonance of single NV defects for enhanced dc magnetic field sensitivity. Phys. Rev. B 84, 195204 (2011).
Barry, J. F. et al. Optical magnetic detection of single-neuron action potentials using quantum defects in diamond. Proc. Natl Acad. Sci. 113, 14133–14138 (2016).
Barson, M. S. J. et al. Nanomechanical sensing using spins in diamond. Nano Lett. 17, 1496–1503 (2017).
Udvarhelyi, P., Shkolnikov, V. O., Gali, A., Burkard, G. & Pályi, A. Spin-strain interaction in nitrogen-vacancy centers in diamond. Phys. Rev. B 98, 075201 (2018).
Greenberg, E. et al. High-pressure magnetic, electronic, and structural properties of MFe2O4 (M = Mg, Zn, Fe) ferric spinels. Phys. Rev. B 95, 195150 (2017).
Chen, K. et al. Revisiting the phase transition of magnetite under pressure. J. Phys. Chem. C. 123, 21114–21119 (2019).
Kozlenko, D. P. et al. Magnetic and electronic properties of magnetite across the high pressure anomaly. Sci. Rep. 9, 4464 (2019).
Ding, Y. et al. Novel pressure-induced magnetic transition in magnetite (Fe3O4). Phys. Rev. Lett. 100, 045508 (2008).
Baudelet, F. et al. Absence of abrupt pressure-induced magnetic transitions in magnetite. Phys. Rev. B 82, 140412 (2010).
Khandarkhaeva, S. et al. Structural diversity of magnetite and products of its decomposition at extreme conditions. lnorg. Chem. 61, 1091–1101 (2022).
Kronseder, M. et al. Real-time observation of domain fluctuations in a two-dimensional magnetic model system. Nat. Commun. 6, 6832 (2015).
Jenkins, A. et al. Single-spin sensing of domain-wall structure and dynamics in a thin-film skyrmion host. Phys. Rev. Mater. 3, 083801 (2019).
Bengtson, A., Morgan, D. & Becker, U. Spin state of iron in Fe3O4 magnetite and h-Fe3O4. Phys. Rev. B 87, 155141 (2013).
Xu, W. M., Machavariani, G. Y., Rozenberg, G. K. & Pasternak, M. P. Mössbauer and resistivity studies of the magnetic and electronic properties of the high-pressure phase of Fe3O4. Phys. Rev. B 70, 174106 (2004).
Novakovic, L. et al. Dispersion interactions in proposed covalent superhydride superconductors. Phys. Rev. B 105, 024512 (2022).
Bhattacharyya, P. et al. Imaging the Meissner effect in hydride superconductors using quantum sensors. Nature 627, 73–79 (2024).
Wang, Z. et al. AC sensing using nitrogen-vacancy centers in a diamond anvil cell up to 6 GPa. Phys. Rev. Appl. 16, 054014 (2021).
Dasenbrock-Gammon, N. et al. Evidence of near-ambient superconductivity in a N-doped lutetium hydride. Nature 615, 244–250 (2023).
Ming, X. et al. Absence of near-ambient superconductivity in LuH2 ± xNy. Nature 620, 72–77 (2023).
Meier, T., Petitgirard, S., Khandarkhaeva, S. & Dubrovinsky, L. Observation of nuclear quantum effects and hydrogen bond symmetrisation in high pressure ice. Nat. Commun. 9, 2766 (2018).
Dewaele, A., Datchi, F., Loubeyre, P. & Mezouar, M. High pressure–high temperature equations of state of neon and diamond. Phys. Rev. B 77, 094106 (2008).
Akahama, Y. & Kawamura, H. Pressure calibration of diamond anvil Raman gauge to 310GPa. J. Appl. Phys. 100, 043516 (2006).
Doherty, M. W. et al. Electronic properties and metrology applications of the diamond NV- center under pressure. Phys. Rev. Lett. 112, 047601 (2014).
Shang, Y.-X. et al. Magnetic sensing inside a diamond anvil cell via nitrogen-vacancy center spins. Chin. Phys. Lett. 36, 086201 (2019).
Wang, J.-F. et al. Magnetic detection under high pressures using designed silicon vacancy centres in silicon carbide. Nat. Mater. 22, 489–494 (2023).
Liu, L. et al. Coherent control and magnetic detection of divacancy spins in silicon carbide at high pressures. Nano Lett. 22, 9943–9950 (2022).
Acknowledgements
The fabrication of diamond sensors was partially performed at the USTC Center for Micro and Nanoscale Research and Fabrication, and the authors particularly thank Dr. Xiaolei Wen, Xiwen Wang, Cunliang Xin, and Hongfang Zuo for their assistance in Fe3O4 and sensors fabrication process. Alexander F. Goncharov thanks for the support of Carnegie Science. This work is supported by the National Natural Science Foundation of China (Grants No.T2325023, 92265204, 12104447, 12204485, 62304216), the CAS (GJJSTD20200001), the National Key R&D Program of China (Grants No.2021YFB3202800, 2023YFF0718400, 2023YFB3209901), the Innovation Program for Quantum Science and Technology (Grant No. 2021ZD0302200), the Anhui Initiative in Quantum Information Technologies (Grant No. AHY050000), the Postdoctoral Fellowship Programof CPSF (Grant No. GZB20240717), the China Postdoctoral Science Foundation (Grant No. 2024M753084), the Fundamental Research Funds for the Central Universities.
Author information
Authors and Affiliations
Contributions
J.D., Ya.W., and Yu.W. supervised the project, Ya.W., Yu.W., and M.W. proposed the idea of the experiment. M.W. and Z.L. built the experimental setup and performed the measurements. Yu.W. and G.X. prepared the diamond anvil cell integrated quantum sensor. M.W., P.Y., H.S., and X.Y. prepared the NV center and the magnetite sample. B.Y. performed a first-principles calculation. M.W., Yu.W., Z.L., G.X., and Ya.W. performed the data analysis and wrote initial draft of the manuscript. A.F.G. and J.Z. reviewed and revised the manuscript. All authors discussed the results and commented on the manuscript.
Corresponding authors
Ethics declarations
Competing interests
The authors declare no competing interests.
Peer review
Peer review information
Nature Communications thanks Guanghui He, Gang-Qin Liu, and the other, anonymous, reviewer for their contribution to the peer review of this work. A peer review file is available.
Additional information
Publisher’s note Springer Nature remains neutral with regard to jurisdictional claims in published maps and institutional affiliations.
Supplementary information
Rights and permissions
Open Access This article is licensed under a Creative Commons Attribution 4.0 International License, which permits use, sharing, adaptation, distribution and reproduction in any medium or format, as long as you give appropriate credit to the original author(s) and the source, provide a link to the Creative Commons licence, and indicate if changes were made. The images or other third party material in this article are included in the article’s Creative Commons licence, unless indicated otherwise in a credit line to the material. If material is not included in the article’s Creative Commons licence and your intended use is not permitted by statutory regulation or exceeds the permitted use, you will need to obtain permission directly from the copyright holder. To view a copy of this licence, visit http://creativecommons.org/licenses/by/4.0/.
About this article
Cite this article
Wang, M., Wang, Y., Liu, Z. et al. Imaging magnetic transition of magnetite to megabar pressures using quantum sensors in diamond anvil cell. Nat Commun 15, 8843 (2024). https://doi.org/10.1038/s41467-024-52272-y
Received:
Accepted:
Published:
Version of record:
DOI: https://doi.org/10.1038/s41467-024-52272-y
This article is cited by
-
High sensitivity pressure and temperature quantum sensing in pentacene-doped p-terphenyl single crystals
Nature Communications (2025)
-
Entanglement-enhanced nanoscale single-spin sensing
Nature (2025)
-
Probing stress and magnetism at high pressures with two-dimensional quantum sensors
Nature Communications (2025)
-
Magnetic imaging under high pressure with a spin-based quantum sensor integrated in a van der Waals heterostructure
Nature Communications (2025)






