Abstract
We report the discovery of a new atomic nucleus 188At, which is the heaviest proton-emitting isotope known to date. The new activity was observed through the 107Ag(84Sr, 3n)188At fusion-evaporation reaction using the focal-plane spectrometer of the gas-filled recoil separator in the Accelerator Laboratory of the University of Jyväskylä, Finland. To fully interpret the experimental data, we have expanded the non-adiabatic quasiparticle model to treat nuclei in the beyond-lead region. The description reproduced the measured decay rate and pointed towards emission from an extremely prolate-deformed state with a dominant s1/2 proton component in the wave function. The Thomas-Ehrman shift can be enhanced in low angular momentum states, but such effects have not been observed in heavy nuclei. The single-proton separation energy of 188At deviates from that extrapolated from the systematics, which can be interpreted as the first evidence of this effect in heavy nuclei.
Similar content being viewed by others
Introduction
Nearly a century has passed since the process of α decay was described by Gamov1, and independently Gurney and Gondon2, with the concept of quantum mechanical tunneling through a barrier. This barrier arises from nuclear, electromagnetic, and centrifugal components, and the only way the particle may escape is via quantum mechanical tunneling. The tunneling is rather straightforward to model, however, the preformation of the α particle in the core is very complex. When the emitted particle is a constituent nucleon, such as a proton, the modeling is simpler. Neutron-deficient nuclei with negative proton-separation energies Sp may spontaneously emit a proton.
Proton emission was detected for the first time from an isomeric state of 53Co in the 1970s3,4, and the first ground-state proton emission was discovered in the early 1980s in 151Lu5. To date, approximately 506 cases of proton emission have been observed between 108I7 and 185Bi8. The previously heaviest known proton emitter 185Bi was first detected9 in 1996 with a half-life of 60 μs. This half-life led to inconsistencies with the systematics and with the half-life estimated through WKB tunneling probability calculations10. In 2021 Doherty et. al.8 identified a 58 μs isomeric state in 185Bi, and by using more advanced experimental techniques, showed that the half-life of the ground state is actually 2.8 μs, bringing the measured properties into line with the theoretical predictions and systematics.
The proton-emission rate depends on the energy released in the decay, the angular momentum carried away by the emitted proton, and on the deformation of the system. If the parent nucleus is spherical, the experimental results can be well described by simple phenomenological models, such as low-seniority shell-models11,12, or Geiger-Nuttall-like models13,14. Modeling of well-deformed proton emitters is more complex as the deformation must be accounted for. More refined approaches, such as the non-adiabatic quasiparticle model15, extend the studies to different shapes of nuclei. The model has been tested in lighter nuclei against extreme oblate deformation16,17,18, as well as triaxiality19,20,21. Notably, the model has been expanded to handle complex odd-odd nuclei22,23, which are particularly important for the understanding of the residual proton-neutron interaction.
Experimental studies of the proton-emission process are an example of decay spectroscopy, which is suitable to study the fundamental properties of the most exotic nuclei. Properties such as the decay energy, half-life, and the mass of the nucleus can be addressed via this method. The extreme selectivity of decay spectroscopy is achieved when the aforementioned decay properties are correlated to those of the previously known daughter species. Consequently, only a few events, even a single event24,25,26, is enough to reliably identify the activities, making it an ideal tool to search for new isotopes, which are often produced with minuscule yields.
This article reports the discovery of the heaviest proton-emitting isotope yet, 188At. To interpret the measured data thoroughly, the non-adiabatic quasiparticle model was extended to treat heavy nuclei. The model reproduces the measured decay frequency if the proton is emitted from a strongly prolate-deformed state. Within the model, the dominant proton wavefunction component of the proton-emitting state is s1/2. Such low angular momentum states are known27 to favor the Thomas-Ehrman shift28,29. The effect refers to the phenomenon in proton unbound nuclei where the wavefunction of the valence proton extends outside the nuclear interior, causing the repulsive Coulomb energy to be reduced. The shift has been observed in medium-mass and light nuclei27,30, thus it is of interest to consider the possibility of seeing the effect in heavy nuclei through the data obtained here. Despite multiple attempts31,32,33 rigorous evidence for the effect in heavy nuclei is still missing. Whereas a weak signal was reported in gold nuclei in ref. 33, refs. 31,32 suggested that the 1/2+ ground- or isomeric states of πs1/2 spherical origin in bismuth (refs. 8,10 and references therein), astatine (refs. 34,35,36,37), and francium (refs. 32,38,39,40) nuclei might provide a more fertile ground to identify the effect. Indeed, the one-proton separation energy of the lightest astatine isotopes, including the one measured in the present work, deviates from the systematics, which we suggest could be interpreted as being the first experimental evidence of the Thomas-Ehrman shift in heavy nuclei.
Results and discussion
Two decay events of the new isotope 188At were observed. The particle energies of the first and second decay of all decay sequences observed in this study, at the energy scale of interest, are presented in Fig. 1. The first decay must have occurred within 2 ms of the arrival of the ion to the detector. Previously known decay events from the proton-emitting isotope 185Bi, as well as a few escaping α particles were observed and identified in the figure. The lack of randomly correlated background events in Fig. 1 is of note, and demonstrates the cleanliness of the techniques used. The recorded decay data of the two full decay chains of the new isotope observed in this work are presented in Fig. 2. Event No. 1 is interpreted as a proton-emission event as it correlates with the 7531 keV α particle of 187Po, which is subsequently followed by the α decays of 183Pb and 179Hg. Event No. 2 is interpreted as an α decay escape event of 188At as it correlates with the subsequent α decays of 184Bi and 180Hg. The proton-particle energy extracted from the proton-emission event is Ep = 1500(40) keV and the half-life deduced, using maximum-likelihood method41, from the two decays is \({T}_{1/2}=19{0}_{-80}^{+350}\mu {{{\rm{s}}}}\). Schmidt’s probability test42 was applied to the measured decay times of the two events, resulting in a probability >90% that the two recorded decay times are consistent with the decay time distribution of a single radioactive species. Further support for the aforementioned interpretations can be obtained from the decay-energy (Q-value) systematics. With the present proton-emission Q-value of 188At, and with the previously known43 atomic masses of a proton, α particle, 184Bi and 187Po, it is possible to calculate an α-decay Q-value of 7900(200) keV for 188At. Following the formalism of Rasmussen44, this Qα-value and the presently measured partial α-decay half-life yield an α-decay hindrance factor typical for allowed α decay, further suggesting that the interpretations of the decay chains are consistent.
The searching time of the first decay event was set to 2 ms from the implantation. The α-decay of 188At has escaped from the detector, therefore, only part of its first α-decay energy was recorded. Selected previously identified67,68,69,70 particle energies are marked with dashed lines and blue labels.
The measured values are compared with the literature data67,68,71,72,73, which are separated with a dashed line. The values in parentheses indicate α particles that escaped from the detector depositing their energy only partially. The escaping α particle (*) of 179Hg was detected in the separate escape particle detector upstream of the main detector, see Sec. 3 for details of the detector geometry.
To fully construe the aforementioned experimental observations we have expanded the non-adiabatic quasiparticle model15 to treat nuclei in the region beyond lead. In this article we summarize the results which are the most relevant for interpreting the experimental data. A detailed description of these calculations, and the complete results are attached as Supplementary Note 1. We start the discussion by benchmarking the calculations against the 188At proton-emission daughter nucleus 187Po, which being an odd-even nucleus is more straightforward to interpret than the odd-odd mother nucleus. Andreyev et al.45 proposed, based on systematics and on particle plus rotor calculations, that the α-decaying ground state of 187Po has a spin and parity of (1/2−) and it could have a spherical parentage of ν2f5/2. Alternatively, it might also have a spin and parity of (5/2−) of mixed ν2f7/2 and ν2h9/2 origin. Within our model we have observed both states, see Supplementary Fig. 3b. The (5/2−) state is the lowest in energy at the expected46,47,48 deformation of β2 ≈ 0.3, whilst the lower spin state (1/2−) is found several hundred keV above the (5/2−) state. On the basis of the model, (5/2−) seems a likely assignment for the ground state of 187Po, which is also one of the possibilities given by Andreyev et al.45.
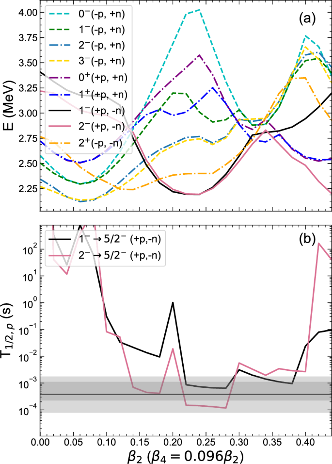
As 188At is an odd-odd nucleus, and likely highly deformed, the level density of the low-lying excited states is expected to be high, as is also found within the non-adiabatic quasiparticle model. In Fig. 3a we show the calculated rotational energy of those selected states, which at some deformation reproduce the order of magnitude of the measured partial proton-emission half-life of 188At. About a dozen candidates persist. We have labeled these states with their spin and parity, and, in parentheses, with the dominant proton p (neutron n) orbital parity. The proton-emitting state of 188At should be the lowest in energy, or at very low excitation energy, in Fig. 3a. Over a significant region of deformation in the expected range (β2 = 0.24 − 0.3), the 1− (+p, -n) and 2− (+p, -n) states are lowest in energy and compete to be the ground state. At smaller deformation (β2 ≈ 0.06) the 2− (-p, +n) and 3− (-p, +n) states are marginally lower in energy but the calculated partial proton-decay half-lives from these states are not comparable to the measured value at small deformation. Therefore the 1− (+p, -n) and 2− (+p, -n) states are the most likely candidates for the proton emitting state in 188At.
a The calculated rotational energies and b the partial proton-emission half-lives of selected states of 188At as a function of quadrupole deformation. The calculations were executed with the newly expanded non-adiabatic quasiparticle model. In b the presently measured partial half-life and uncertainty limits (σ in dark grey, 2σ in light grey) are marked. Each state is labeled with their spin and parity, and with the parity of the dominant proton p (neutron n) component of the state’s wave function.
In Fig. 3(b) the calculated partial proton-emission rate from these two states are compared to the measured one. In these calculations also the final state of the decay was allowed to vary. In the model the dominant proton component of the wave functions of the candidate states are d3/2 in 1− (+p, -n) and s1/2 in 2− (+p, -n). It is of note that the ground-state configurations of the nearby odd-A nuclei 191,193,195At34,35 are πs1/2. Additionally, in the only other known proton emitter 185Bi of the beyond lead region, the proton is emitted from the s1/2 orbital8. Therefore, from the systematics it is reasonable to expect that the s1/2 proton orbital is at the Fermi surface and plays a role in the proton emission from 188At, which is in line with the 2− (+p, -n) state of our model. For the odd neutron of 188At the model predicts a 5/2− projection of the spherical ν2f7/2 orbital. For the full wave functions, see Supplementary Note 1.
From our model, it can be expected that the proton emission proceeds from the ground state of 188At to the ground state of 187Po. Under this ansatz it is straightforward to obtain the single-proton separation energy (Sp = −Qp) from the measured proton-emission data. In Fig. 4 this is compared to the other Sp values of nearby bismuth, astatine, and francium isotopes. From Fig. 4 one may immediately notice the odd-even staggering caused by the residual proton-neutron interaction, and that the newly obtained value of 188At is larger than that expected from the systematics. To further visualize and quantify this deviation we adopt the fitting procedure introduced in ref. 31, and fit a function of Sp = a + bA−1/3 + cA−1 arising from the liquid-drop model to the proton-bound (Sp > 0) data, and extrapolate the fitted function to the nuclei beyond drip line (Sp < 0). The approach yields a statistically meaningful deviation of 3.8σ between the Sp(188At) and the fitted function as shown in Fig. 4. It is of note that the isotopes 184,185Bi show similar shifts, while the francium isotopes do not. The common denominator for the most exotic Bi8 and At34,35 isotopes is a strong πs1/2 component in the wave function of the ground state. In contrast, the ground state of 197Fr was proposed to have a spin and parity of 7/2−24 (likely from a dominant πf7/2 configuration), the situation remains unclear for 199Fr, where both states 7/2− (πf7/2) and 1/2+ (πs1/2) have been suggested as the ground state24,39. The ground state of the heavier francium isotopes likely involve the πh9/2 orbital. The dominant πs1/2 configuration of the lightest Bi and At isotopes provides a possible explanation for the abnormally high Sp observed in these nuclei. As was discussed in detail in ref. 27, the Thomas-Ehrman effect is at strongest in proton unbound nuclei with low angular momentum proton orbitals. The effect refers to the phenomenon where the valence protons have a wave function extending outside nuclear interior, reducing the repulsive Coulomb effect. In other words, in the presence of a Thomas-Ehrman shift the valence protons appear to be more bound to the core. The behavior of the Sp values in Fig. 4 is in qualitative agreement with that expected from such Thomas-Ehrman shift for bismuth and astatine nuclei, and also provides a satisfactory explanation why the lightest francium nuclei, involving higher angular momentum orbitals, do not deviate from the expected value. Since the discovery of the effect by Thomas29 and Ehrman28 in the 1950’s it has been characterized in many light49 and medium mass nuclei30. This, however, is the first instance when a meaningful signal of the possible Thomas-Ehrman effect has been observed in heavy nuclei.
The data are from this work (solid square), from ref. 74, and from Atomic Mass Evaluation AME202043. The Sp > 0 data points are fitted with a liquid-drop model based function, which is then extrapolated to proton-unbound nuclei. Isotopes with proposed (This work,8,34,35) dominant s1/2 proton component in the wave function of the ground state are indicated. All uncertainties are one standard deviation.
To summarize, we have identified 188At, the heaviest proton-emitting isotope observed to date, at the Accelerator Laboratory of the University of Jyväskylä, Finland. The extracted one proton-separation energy of 188At confirms the increasing trend in the deviation of the separation energies of the lightest astatine nuclei from that extrapolated using a liquid-drop model. We interpret this deviation as the first possible sign of the Thomas-Ehrman effect in heavy nuclei. To fully construe the experimental results we expanded the non-adiabatic quasiparticle model, and propose that the proton is emitted from a prolate deformed (2−) state with a dominant s1/2 proton component in the wave function. This is in agreement with the shape evolution predicted by other models, further supported by the measured changes in the mean-square charge radii50, as well as with other spectroscopic results51,52,53,54, of heavier astatine isotopes. To further stimulate the theoretical studies of charged-particle decaying heavy nuclei, and their shape evolution, narrowing down the present uncertainties of the decay energy and half-life by observing more 188At decay events is essential. Equally interesting would be to study the decay of presently unknown nucleus 189At, which might also be a proton-emitting nucleus, however, this remains to be seen in future experiments.
Methods
The 188At nuclei were produced in the Accelerator Laboratory of the University of Jyväskylä (JYFL-ACCLAB). The fusion-evaporation reaction 107Ag(84Sr, 3n)188At was induced by irradiating a 1 mg cm−2 thick NATAg target with a 84Sr beam. The K-130 cyclotron of JYFL-ACCLAB provided the strontium beam with an average intensity of 12 particle nA (7.5 × 1010 ions s−1). The beam energies were varied using carbon-degrader foils with a thickness of 100 and 200 μg cm−2 in front of the target. The used experimental conditions are listed in Supplementary Table 2. The fusion-evaporation residues, hereafter referred to as the recoils, were separated from the primary beam and other undesired ions using the gas-filled recoil separator RITU (Recoil-Ion Transport Unit55,56), see Supplementary Fig. 10 for the schematic layout of the experimental devices. The GREAT (Gamma Recoil Electron Alpha Tagging57) spectrometer placed at the focal plane of RITU was used to analyse the produced recoils. When entering GREAT, the recoils passed through the MWPC (Multi-Wire Proportional Counter), followed by an implantation into the double-sided silicon strip detector (DSSD). The energy loss of the particles in the MWPC and the time-of-flight between the detectors were measured, and using this information, the recoils were distinguished from the target-like particles and scattered beam. To consider a signal as a decay event it was required to be observed only in the DSSD. Two DSSDs with 60 horizontal and 40 vertical strips were set adjacent to each other in order to increase the active detector area. The width of each strip was 1 mm and the thicknesses of both DSSDs were 300 μm. The DSSD energy response was calibrated using known activities produced in the reaction of 78Kr + 92Mo with a beam energy of 365 MeV. The gain parameter of the linear energy response function was obtained using the α-decaying isotopes of 150Dy, 162W, 163W, 166Os, 167Os, and 167mIr58,59,60,61,62 while the offset parameter was deduced from the proton-emission activities of 166Ir, 166mIr, 167Ir, and 167mIr63,64. Altogether 28 Silicon-PIN diodes were arranged in a tunnel geometry upstream of the DSSD to detect charged particles escaping from the DSSD. The maximum energy range of the PIN diodes was set to ~1 MeV to optimize the detection of internal conversion electrons, hence, only a logic signal is available for escaping α particles that saturate the PIN diodes. The data were collected with Total Data Readout (TDR) acquisition system, time-stamped with a 100 MHz clock, and analysed with the GRAIN65 software package.
References
Gamow, G. Zur quantentheorie des atomkernes. Z. Physik 51, 204 (1928).
Gurney, R. W. & Condon, E. U. Wave mechanics and radioactive disintegration. Nature 122, 439 (1928).
Cerny, J., Esterl, J. E., Gough, R. A. & Sextro, R. G. Confirmed proton radioactivity of 53Com. Phys. Lett. B 33, 284–286 (1970).
Jackson, K. P., Cardinal, C. U., Evans, H. C., Jelley, N. A. & Cerny, J. 53Com: A proton-unstable isomer. Phys. Lett. B 33, 281–283 (1970).
Hofmann, S. et al. Proton radioactivity of 151Lu. Z Phys. A 305, 111 (1982).
Qi, C., Liotta, R. & Wyss, R. Recent developments in radioactive charged-particle emissions and related phenomena. Prog. Part. Nucl. Phys. 105, 214–251 (2019).
Auranen, K. et al. Proton decay of 108I and its significance for the termination of the astrophysical rp-process. Phys. Lett. B 792, 187–192 (2019).
Doherty, D. T. et al. Solving the puzzles of the decay of the heaviest known proton-emitting nucleus 185Bi. Phys. Rev. Lett. 127, 202501 (2021).
Davids, C. N. et al. Proton decay of an intruder state in 185Bi. Phys. Rev. Lett. 76, 592–595 (1996).
Andreyev, A. N. et al. Shape-changing particle decays of 185Bi and structure of the lightest odd-mass Bi isotopes. Phys. Rev. C 69, 054308 (2004).
Woods, P. J. & Davids, C. N. Nuclei beyond the proton drip-line. Annu. Rev. Nuclear Particle Sci. 47, 541–590 (1997).
Davids, C. N. et al. New proton radioactivities 165,166,167Ir and 171Au. Phys. Rev. C 55, 2255–2266 (1997).
Delion, D. S., Liotta, R. J. & Wyss, R. Systematics of proton emission. Phys. Rev. Lett. 96, 072501 (2006).
Chen, Jiu-Long et al. New geiger-nuttall law for proton radioactivity. Eur. Phys. J. A 55, 214 (2019).
Fiorin, G., Maglione, E. & Ferreira, L. S. Theoretical description of deformed proton emitters: Nonadiabatic quasiparticle method. Phys. Rev. C 67, 054302 (2003).
Auranen, K. et al. Nanosecond-scale proton emission from strongly oblate-deformed 149Lu. Phys. Rev. Lett. 128, 112501 (2022).
Taylor, M. J. et al. Oblately deformed isomeric proton-emitting state in 151Lu. Phys. Rev. C 91, 044322 (2015).
Procter, M. G. et al. Proton emission from an oblate nucleus 151Lu. Phys. Lett. B 725, 79–84 (2013).
Auranen, K. et al. Probing triaxiality beyond the proton drip line: spectroscopy of 147Tm. Phys. Rev. C 108, 011303 (2023).
Arumugam, P., Ferreira, L. S. & Maglione, E. Proton emission, gamma deformation, and the spin of the isomeric state of 141Ho. Phys. Lett. B 680, 443–447 (2009).
Arumugam, P., Ferreira, L. S. & Maglione, E. Fine structure in proton radioactivity: an accurate tool to ascertain the breaking of axial symmetry in 145Tm. Phys. Rev. C 78, 041305 (2008).
Siwach, P., Arumugam, P., Modi, S., Ferreira, L. S. & Maglione, E. Interpretation of 108I as an odd-odd γ-deformed proton emitter. Phys. Rev. C 103, 031303 (2021).
Siwach, P., Arumugam, P., Modi, S., Ferreira, L. S. & Maglione, E. Effects of triaxiality and residual np interaction in the proton emission from 140Ho. Phys. Rev. C 106, 044322 (2022).
Kalaninová, Z. et al. α decay of the very neutron-deficient isotopes 197−199Fr. Phys. Rev. C 87, 044335 (2013).
Devaraja, H. M. et al. Observation of new neutron-deficient isotopes with Z≥92 in multinucleon transfer reactions. Phys. Lett. B 748, 199–203 (2015).
Wang, J. G. et al. α-decay properties of new neutron-deficient isotope 203Ac. Phys. Lett. B 850, 138503 (2024).
Shlomo, S. Nuclear coulomb energies. Rep. Prog. Phys. 41, 957 (1978).
Ehrman, J. B. On the displacement of corresponding energy levels of C13 and N13. Phys. Rev. 81, 412–416 (1951).
Thomas, R. G. An analysis of the energy levels of the mirror nuclei, C13 and N13. Phys. Rev. 88, 1109–1125 (1952).
Nazarewicz, W. et al. Structure of proton drip-line nuclei around doubly magic 48Ni. Phys. Rev. C 53, 740–751 (1996).
Novikov, Y. N. et al. Mass mapping of a new area of neutron-deficient suburanium nuclides. Nuclear Phys. A 697, 92–106 (2002).
Auranen, K. et al. Exploring the boundaries of the nuclear landscape: α-decay properties of 211Pa. Phys. Rev. C 102, 034305 (2020).
Lykiardopoulou, E. M. et al. Exploring the limits of existence of proton-rich nuclei in the Z = 70 - 82 region. Phys. Rev. C 107, 024311 (2023).
Kettunen, H. et al. α-decay studies of the new isotopes 191At and 193At. Eur. Phys. J. A 17, 537–558 (2003).
Kettunen, H. et al. Investigations into the α-decay of 195At. Eur Phys J A 16, 457–467 (2003).
Auranen, K. et al. Experimental study of \({\frac{1}{2}}^{+}\) isomers in 199,201At. Phys. Rev. C 90, 024310 (2014).
Auranen, K. et al. Experimental study of isomeric intruder \({\frac{1}{2}}^{+}\) states in 197,203At. Phys. Rev. C 95, 044311 (2017).
Uusitalo, J. et al. α decay studies of very neutron-deficient francium and radium isotopes. Phys. Rev. C 71, 024306 (2005).
Uusitalo, J. et al. α-decay studies of the francium isotopes 198Fr and 199Fr. Phys. Rev. C 87, 064304 (2013).
Jakobsson, U. et al. Spectroscopy of the proton drip-line nucleus 203Fr. Phys. Rev. C 87, 054320 (2013).
Schmidt, K.-H., Sahm, C.-C., Pielenz, K. & Clerc, H.-G. Some remarks on the error analysis in the case of poor statistics. Zeitschrift für Physik A Atoms and Nuclei 316, 19–26 (1984).
Schmidt, K. H. A new test for random events of an exponential distribution. Eur. Phys. J. A 8, 141–145 (2000).
Wang, M., Huang, W. J., Kondev, F. G., Audi, G. & Naimi, S. The AME 2020 atomic mass evaluation (ii). tables, graphs and references*. Chinese Phys. C 45, 030003 (2021).
Rasmussen, J. O. α-decay barrier penetrabilities with an exponential nuclear potential: even-even nuclei. Phys. Rev. 113, 1593–1598 (1959).
Andreyev, A. N. et al. α-decay of the new isotope 187Po: probing prolate structures beyond the neutron mid-shell at N = 104. Phys. Rev. C 73, 044324 (2006).
Möller, P., Sierk, A. J., Ichikawa, T. & Sagawa, H. Nuclear ground-state masses and deformations: FRDM(2012). Atomic Data Nuclear Data Tables 109-110, 1–204 (2016).
Hilaire, S. & Girod, M. Large-scale mean-field calculations from proton to neutron drip lines using the D1S gogny force. Eur. Phys. J. A 33, 237–241 (2007).
Hilaire, S. & Girod, M. AMEDEE Database. https://www-phynu.cea.fr/science_en_ligne/carte_potentiels_microscopiques/carte_potentiel_nucleaire_eng.htm (2024).
Comay, E., Kelson, I. & Zidon, A. The Thomas-Ehrman shift across the proton dripline. Phys. Lett. B 210, 31–34 (1988).
Cubiss, J. G. et al. Charge radii and electromagnetic moments of 195−−211At. Phys. Rev. C 97, 054327 (2018).
Nyman, M. et al. γ-ray and decay spectroscopy of 194,195,196At. Phys. Rev. C 88, 054320 (2013).
Auranen, K. et al. Spectroscopy of 201At including the observation of a shears band and the 29/2+ isomeric state. Phys. Rev. C 91, 024324 (2015).
Auranen, K. et al. Prompt and delayed spectroscopy of 203At: observation of a shears band and a 29/2+ isomeric state. Phys. Rev. C 97, 024301 (2018).
Andgren, K. et al. γ-ray spectroscopy of 197At. Phys. Rev. C 78, 044328 (2008).
Sarén, J., Uusitalo, J., Leino, M. & Sorri, J. Absolute transmission and separation properties of the gas-filled recoil separator RITU. Nucl. Instr. Methods Phys. Res. A 654, 508–521 (2011).
Leino, M. et al. Gas-filled recoil separator for studies of heavy elements. Nucl. Instr. Methods Phys. Res., Sect. B 99, 653–656 (1995).
Page, R. D. et al. The GREAT spectrometer. Nucl. Instrum. Methods Phys. Res. Sect. B 204, 634–637 (2003).
Khazov, Y., Rodionov, A. & Shulyak, G. Nuclear data sheets for A = 146. Nuclear Data Sheets 136, 163–452 (2016).
Nica, N. Nuclear data sheets for A = 158. Nuclear Data Sheets 141, 1–326 (2017).
Reich, C. W. Nuclear data sheets for A = 159. Nuclear Data Sheets 113, 157–363 (2012).
Reich, C. W. Nuclear data sheets for A = 162. Nuclear Data Sheets 108, 1807–2034 (2007).
Reich, C. W. & Singh, B. Nuclear data sheets for A = 163. Nuclear Data Sheets 111, 1211–1469 (2010).
Jain, A. K., Ghosh, A. & Singh, B. Nuclear data sheets for A = 165. Nuclear Data Sheets 107, 1075–1346 (2006).
Baglin, C. M. Nuclear data sheets for A = 166. Nuclear Data Sheets 109, 1103–1382 (2008).
Rahkila, P. Grain–A Java data analysis system for total data readout. Nucl. Instrum. Methods Phys. Res., Sect. A 595, 637–642 (2008).
Sarén, J. et al. JYFL-ACCLAB-R34 Probing Beyond the Proton Dripline Above Lead, 189At. Jyväskylän Yliopisto. https://doi.org/10.23729/0a9fb1a9-c0e8-4f4d-8976-148cb1ef4c6a (2023).
Baglin, C. M. Nuclear data sheets for A = 179. Nuclear Data Sheets 110, 265–506 (2009).
McCutchan, E. A. Nuclear data sheets for A = 180. Nuclear Data Sheets 126, 151–372 (2015).
Baglin, C. M. Nuclear data sheets for A = 184. Nuclear Data Sheets 111, 275–523 (2010).
Singh, B. & Roediger, J. C. Nuclear data sheets for A = 182. Nuclear Data Sheets 111, 2081–2330 (2010).
Baglin, C. M. Nuclear data sheets for A = 183. Nuclear Data Sheets 134, 149–430 (2016).
Basunia, M. S. Nuclear data sheets for A = 176. Nuclear Data Sheets 107, 791–1026 (2006).
Basunia, M. S. Nuclear data sheets for A = 175. Nuclear Data Sheets 102, 719–900 (2004).
Kokkonen, H. et al. Properties of the new α-decaying isotope 190At. Phys. Rev. C 107, 064312 (2023).
Acknowledgements
This research was supported by Research Council of Finland under the Contracts No. 323710, 347154, and 353786 (K.A. and H.K.), the United Kingdom Science and Technology Facilities Council through grant number ST/V001027/1 (A.D.B and R.D.P), the Slovak Research and Development Agency under contract No. APVV-20-0532 (M.V.), Slovak grant agency VEGA (contract No. 2/0067/21) (M.V.). Support for this work was partly provided through Scientific Discovery through Advanced Computing (SciDAC) program funded by U.S. Department of Energy, Office of Science, Advanced Scientific Computing Research and Nuclear Physics (P.S.). It was partly performed under the auspices of the U.S. Department of Energy by the Lawrence Livermore National Laboratory under Contract No. DE-AC52-07NA27344 (P.S.).
Author information
Authors and Affiliations
Contributions
J.U. and C.S. prepared the original research proposal for the JYFL-ACCLAB Program Advisory Committee. H.K. and K.A. together with R.D.P. and A.D.B. analysed and interpreted the experimental data, and prepared the manuscript. P.S., P.A. L.S.F. and E.M. expanded the non-adiabatic quasiparticle model, performed the theoretical calculations, and contributed to the interpretation of the results. J.U., S.E., T.G., P.T.G., P.J., R.J., S.J., M.L., A.-P.L., M.N., J.P., P.R., J.Sarén., C.S., J.Sorri. and M.V. prepared the experimental setup and monitored the data acquisition, detector performance and beam conditions over the experiment.
Corresponding authors
Ethics declarations
Competing interests
The authors declare no competing interests.
Peer review
Peer review information
Nature Communications thanks Chong Qi, Krzysztof Rykaczewski, and the other, anonymous, reviewer(s) for their contribution to the peer review of this work. A peer review file is available.
Additional information
Publisher’s note Springer Nature remains neutral with regard to jurisdictional claims in published maps and institutional affiliations.
Supplementary information
Rights and permissions
Open Access This article is licensed under a Creative Commons Attribution-NonCommercial-NoDerivatives 4.0 International License, which permits any non-commercial use, sharing, distribution and reproduction in any medium or format, as long as you give appropriate credit to the original author(s) and the source, provide a link to the Creative Commons licence, and indicate if you modified the licensed material. You do not have permission under this licence to share adapted material derived from this article or parts of it. The images or other third party material in this article are included in the article’s Creative Commons licence, unless indicated otherwise in a credit line to the material. If material is not included in the article’s Creative Commons licence and your intended use is not permitted by statutory regulation or exceeds the permitted use, you will need to obtain permission directly from the copyright holder. To view a copy of this licence, visit http://creativecommons.org/licenses/by-nc-nd/4.0/.
About this article
Cite this article
Kokkonen, H., Auranen, K., Siwach, P. et al. New proton emitter 188At implies an interaction unprecedented in heavy nuclei. Nat Commun 16, 4985 (2025). https://doi.org/10.1038/s41467-025-60259-6
Received:
Accepted:
Published:
Version of record:
DOI: https://doi.org/10.1038/s41467-025-60259-6






