Abstract
Dispersity or molar mass distribution (ÐM) profoundly influences polymer properties, but its control remains a challenge, especially for ring-opening polymerization (ROP). We report here a simple approach to tailor ÐM of aliphatic polyethers, e.g., poly(ethylene oxide) and poly(propylene oxide), by introducing an editable chain-transfer reaction in organocatalyzed ROP of epoxides. Trifluoroacetate, acting as the chain-transfer agent (CTA), brings about non-uniform growth of polyether chains while ensuring complete initiation efficiency and readily removable CTA residue. Triple control over ÐM (1.05–2.00), molar mass (3.6–17.7 kg mol−1), and end group is achieved simply by regulating the feed ratio, conforming well with the theoretical modeling. Experimental and calculation results reveal the orthogonality between chain growth and transesterification which is key to the three-modular ROP for independent ÐM control.
Similar content being viewed by others
Introduction
Dispersity or molar mass distribution (ÐM), used to quantify heterogeneity of chain lengths, has profound effects on polymers properties1,2. For more than half a century, the rapid development of living/controlled (chain-growth) polymerization techniques have been continuously empowering chemists to obtain low-ÐM polymer samples, which are usually favored by polymer physicists because the structure-property relationship can be easily clarified without being affected by dispersity3,4. On the other hand, high-ÐM polymers, usually obtained by step-growth polymerization and non-controlled chain-growth polymerization, have exhibited advantages over the low-ÐM ones in e.g., microphase separation, self-assembly, interfacial properties, melt rheology and processing. Therefore, ÐM control constitutes an indispensable section of macromolecular engineering5,6,7,8,9,10,11.
In principle, a high-ÐM polymer can be rationally designed and obtained through blending of low-ÐM ones with the same composition but different molar mass. Yet, application of this strategy has been limited by the long and costly multistep preparation as well as the difficulty in achieving continuous and unimodal distribution12,13. Recently, chemical strategies for the synthesis of ÐM-controlled polymers have been reported. Fors et al. tailored ÐM in living anionic and controlled radical polymerization of vinyl monomers by intermittent feeding of initiators14,15. Boyer et al. used continuous flow reactor to control ÐM by adjusting the initiator-monomer mixing process16,17,18,19. Chiu et al. used photochromic initiators or mediators to control ÐM through reversible photo-deactivation20,21,22. Anastasia et al. tailored ÐM by mixing two chain-transfer agents (CTAs) with distinct activities in reversible addition-fragmentation chain-transfer (RAFT) polymerization23, which was further developed into a strategy with in-situ switched CTA activity24,25,26. Matyjaszewski et al. demonstrated that ÐM could be regulated by the structure and concentration of catalyst, ligand or initiator in atom transfer radical polymerization (ATRP)27,28,29. Goto et al. exploited temperature-selective reversible complexation-mediated polymerization to control ÐM by using two monomers with distinct activities8. Besides, some theoretical studies dealt with the principles of ÐM control30,31. So far, all these studies have focus on vinyl-addition polymerizations12, while ÐM-controlled ring-opening polymerization (ROP) has not been reported.
Aliphatic polyethers such as poly(ethylene oxide) (PEO) and poly(propylene oxide) (PPO) are among the most important heterochain polymers in industry32,33,34. The easy production from bulk chemicals (epoxides), the flexible and oxygen-rich polymer chains with tunable polarity and hydrophilicity have enabled PEO/PPO to be extensively utilized as the main constituents of water reducers, polyurethanes, surfactants, drug modifiers/carriers, solid-state electrolytes, etc32,33,35. Low-ÐM polyethers are usually synthesized through living/controlled anionic ROP36,37,38,39,40,41,42. In the past two decades, they were widely achieved via organocatalytic ROP43,44. For example, Lewis pair type organocatalyst comprising a strong phosphazene base (e.g., 1-tert-butyl-2,2,4,4,4-pentakis(dimethylamino)−2λ5,4λ5-catenadi(phosphazene); tBuP2 in Fig. 1a) and excess triethylborane (Et3B) fulfilled highly efficient and chemoselective ROP of epoxides under mild conditions45,46,47. Polyethers with controlled molar mass, well-defined (end group) structure, and low ÐM (<1.1) were obtained even though the basic catalytic component was added far less than the protonic initiator, which has been attributed to a potent Lewis acid/base cooperative catalytic effect44.
a Proposed pathway of ECT-ROP of epoxides comprising proton transfer (purple) and editable chain transfer (blue), with the angular velocities of the colored gears indicating the relative reaction rates. b Illustration of the mechanism for modular ECT-ROP, Rti is the chain-transfer rate at initiation stage, with the proportions of pie-charts indicating the weights of the three modules effecting ÐM control.
In this study, we have synthesized polyethers via organocatalyzed ROP of epoxides with trifluoroacetate (TFA) as a CTA, where the chain-transfer rate (Rt) is regulated to be moderately lower than the chain-propagation rate (Rp) to ensure the non-uniform chain growth. Efforts are made to realize ternary-control over structure, molar mass, and ÐM in ROP.
Results
Selection of CTA for ROP of epoxides
We have investigated into the relation between ÐM and Rt or Rp (Supplementary Figs. 3 and 4). It shows that only when Rp and Rt perfectly match, i.e., Rt is moderately lower than Rp (ca. 10Rt < Rp < 1000Rt), dual control over molar mass and ÐM can be realized. Since the interchange between activated chain end (ACE, alkoxide) and dormant chain end (DCE, hydroxyl) is a quick proton transfer (Fig. 1a), it is a great challenge to harness Rt for ÐM control.
Transesterification is a common hydroxyl interchange reaction in anionic ROP48,49. It was inhibited (Rt → 0) during ROP of epoxides catalyzed by tBuP2-Et3B for aliphatic esters in our previous work50. Considering that TFA lies between aliphatic ester and activated epoxide in surface electrostatic potential (ESP) (Supplementary Figs. 5 and 6), it should afford an additional chain transfer with matching and editable Rt (blue gear in Fig. 1a). In the present work, TFA was used as the CTA to enable an editable-chain-transfer ROP (ECT-ROP) with three mutually orthogonal reactions, i.e., two chain transfers and one propagation (Fig. 1a; and Supplementary Fig. 7), with three independently regulatable modules for tuning ÐM (Fig. 1b).
Polymerization
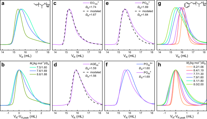
ROP of ethylene oxide (EO) is performed in THF catalyzed by tBuP2-Et3B Lewis pair with two-component initiation-transfer system comprising methanol (MeOH) and methyl trifluoroacetate (MTFA) yielding PEO (EO1601-EO1604; the subscript and superscript indicate targeted DP and experiment number in a series, respectively) with the degree of polymerization (DP) of 160 (Supplementary Table 1). EO is fully consumed in 1 h as verified by 1H NMR. The dual control over molar mass with Mn,th = [EO]0/([MeOH]0 + [MTFA]0)MEO and ÐM from 1.05 to 1.74 is confirmed by SEC traces and 1H NMR spectra (Fig. 2a). More PEOs are synthesized with targeted DPs of 80 (EO801-EO804), 240 (EO2401-EO2404), and 400 (EO4001-EO4003) by regulating the feed of EO (Supplementary Figs. 8–10). In the range of DP from 80 to 400, measured molar mass is close to the theoretical value Mn,th (Fig. 2d), and ÐM increases with the feed ratio of MTFA and MeOH, agreeing well with those fit from modified Müller equation30.
where α is [OH]0/([TFA]0 + [OH]0) (OH=hydroxyl group), β is (Rt/[TFA])/(Rp/[epoxide]), and our modeled results (Fig. 2d–h). The theoretical ÐM at α = 1 should be close to 1, so C = ÐM,α=1-1 is used to rule out the instrument error in experimental data. High ÐM of 1.95 and 2.05 can be achieved when the ratio of [MeOH]0/[MTFA]0 is 0.15/0.85 (EO805 and EO4004). However, the molar mass obtained by SEC (Mn,SEC) is higher than the value determined by NMR (Mn,NMR), which is ascribed to the partial participation of MTFA at such a low ratio of [MeOH]0/[MTFA]0. This agrees with the modeling results (white zones in Supplementary Figs. 39 and 40, in which initiation efficiency is lower than 90%), and also supported by the observation of residual MTFA in the crude product of EO805 (Supplementary Fig. 11).
SEC traces of dual-controlled PEOs with DP of 160 (a EO1601–4), dual-controlled PPOs with DP of 80 (b PO801–4), and dual-controlled PAGEs with DP of 60 (c AGE601–4). d [MTFA]0/[MeOH]0 dependence of ÐM (top) and controlled number-average molar mass from SEC traces (bottom). e–h The fitting of experimental ÐM with the modeled ones and those from Eq. (1), the fitting parameters for modified Müller equation are on the left.
Monomer is then extended to propylene oxide (PO) and allyl glycidyl ether (AGE). The ROP is carried out in bulk and the reaction time is prolonged to adapt to the decreased monomer activity. PO conversion reaches above 95% in 48 h (Supplementary Table 2) with controlled molar mass. As [MTFA]0 increases, ÐM increases from 1.05 to 1.69 for DP = 80 (PO801-PO804), from 1.06 to 1.63 for DP = 160 (PO1601-PO1604), and from 1.07 to 1.69 for DP = 240 (PO2401-PO2404) (Fig. 2b and Supplementary Figs. 12–14), This trend agrees with modeled results and Eq. (1) (Supplementary Figs. 15–17). Due to the bulky substituent, conversion of AGE only reaches 85% at the targeted DP of 60 in 48 h (Supplementary Table 3). The functional (pendant allyl) groups, molar mass, and ÐM (1.09–1.59) are all controlled (Fig. 2c and Supplementary Figs. 19 and 22).
1H NMR spectra of the products demonstrate terminal residues of trifluoroacetate ester (CF3COOCH1/2−). It can readily convert into hydroxyl group after polymerization along with the purification process because of its high reactivity (Supplementary Figs. 20–22). Mass spectrometry of crude products provides further evidence for controlled ÐM, defined repeating unit and end group compositions of EO1601-EO1604 and PO801-PO804 (Supplementary Figs. 23 and 24). Clearly, MTFA can serve as a valid CTA for tuning ÐM of polyethers by [MeOH]0/[MTFA]0. Only small amounts of residual TFA chain ends are discernable in some of the mass spectra because the TFA groups are readily hydrolyzed during sample preparation and measurement (e.g., the product of PO803). Complete ester removal (liberation of hydroxy chain ends) can be achieved via alcoholysis (Supplementary Fig. 25). We also provide here the modeled mass spectra, which share good similarity with the experimentally acquired ones (Supplementary Figs. 26–33).
Experiments are also performed at different feed ratios of the two catalytic components. ÐM increases with [Et3B]0 while [tBuP2]0 remains constant (Fig. 3a, b). Specifically, ÐM is 1.88, 1.69, and 1.60 when [tBuP2]0/[Et3B]0 is 0.05/0.15 (PO806), 0.05/0.1 (PO804), and 0.05/0.075 (PO807), respectively. However, the molar mass of PPO of PO806 is uncontrolled, and a significant low-molar-mass tailing is observed in SEC. We have then modeled the SEC traces based on the parameters including Rp/Rt, DP, and [ACE]/[DCE] (Supplementary Table 4). All modeled traces do not agree with the experimental results due to the tailing (Supplementary Figs. 34–36), indicating some undetected factors in the polymerization.
a, b SEC traces of PPOs regulated by [tBuP2]0/[Et3B]0. c–e EO1604, AGE604, and PO804 vs. modeled traces from our program. f Effect of CTA structure on ÐM, PO804 (MeOH-MTFA) vs. PO80B4 (BnOH-BTFA). g, h SEC traces of PPOs regulated by [BnOH]0/[BTFA]0 with symmetric distribution (PO80B1-PO80B6).
An equilibrium reaction between TFA and alcohol is conducted to compare the activities of CTAs in different forms. 1H NMR spectrum of the product indicates that the ether-based TFA is more active than the original MTFA (Supplementary Fig. 37), which is also corroborated by comparative DFT calculations of transesterification reactions (Supplementary Fig. 50). Namely, the chain-transfer rate at initiation stage (Rti) is lower than that at propagation stage (Rt). After revising our model with this assumption (parameterized by Rt/Rti), a good fitting between experimental and modeled trace is achieved (Fig. 3c–e). Clearly, Rt/Rti determined by the structure of CTA can be utilized to regulate the extent of the low-molar-mass tailing (Supplementary Fig. 38 and Supplementary Table 4). Note that too high Rt/Rti would reduce the initiation efficiency, leading to uncontrolled molar mass (Supplementary Figs. 39 and 40).
To rule out slow transfer at initiation stage, benzyl trifluoroacetate (BTFA) is used as the CTA (Supplementary Table 5). As expected, the low-molar-mass tailing is removed and the obtained PPOs exhibit symmetric distribution (Fig. 3f and Supplementary Fig. 41). ÐM is also regulated by [OH]0/[TFA]0, following the Eq. (1) and our model (Fig. 3g, h, Supplementary Fig. 42). At [OH]0/[TFA]0 = 0.1/0.9, controlled molar mass and ÐM of 1.80 are obtained by using benzyl alcohol (BnOH) and BTFA (PO80B5). Increasing the feed of Et3B ([tBuP2]0/[Et3B]0 = 0.05/0.2; PO80B6) still results in controlled molar mass and ÐM of 2.00 (Fig. 3g, h, Supplementary Fig. 43b). In contrast, MeOH-MTFA leads to uncontrolled molar mass with multimodal distribution (PO805) (Supplementary Fig. 44).
DFT calculations
DFT calculation is performed on the simplified structures in EO polymerization. Figure 4 shows the energy profile (the calculational details can be found in Supplementary Information). ACE can be generated via the deprotonation of the alcohol by tBuP2 and coordination with Et3B (exoergic process of ΔG = −5.9 kcal mol−1; Supplementary Fig. 45b). The strong coordination of Et3B exceedingly decreases the nucleophilicity of the alkoxide species, resulting in inhibited transesterification on regular aliphatic ester (AE) by a high energy barrier of 44.4 kcal mol−1 (IN1 → TS2-H → IN3-H). Thanks to the effective activation of EO by free Et3B (endoergic process of ΔG = 8.1 kcal mol−1; Supplementary Fig. 45c), the epoxy ring can still be opened by overcoming a reasonable energy barrier of 24.4 kcal mol−1 (IN1 → TS1 → IN2; Rp=kp[epoxide][ACE][Et3B]f, [Et3B]f = [Et3B]0-[ACE]; also see Supplementary Fig. 46 for more details).
Each energy and structure are acquired by DFT calculation including propagation (red lines) and chain transfer via transesterification on TFA (blue lines) with the optimized 3D structures of the main transition states. The inhibited transesterification on regular carboxylic ester (gray lines) is shown for comparison, and a matching zone for Rp and Rt is shown as a light purple area.
Fortunately, the strong electron-withdrawing effect of the CF3 group substantially enhances the electrophilicity of carbonyl group of TFA, reducing the energy barrier of transesterification from 44.4 kcal mol−1 to 28.4 kcal mol−1 (IN1 → TS2-F → IN3-F). Chain transfer to TFA is moderately slower than the propagation (24.4 kcal mol−1), which is consistent with the ESP rank of the reactants (Supplementary Figs. 5 and 6). The gap between the two energy barriers (4.0 kcal mol−1) is located at the matching zone estimated from our model (<5.0 kcal mol−1). It strongly supports that TFA is a valid CTA for ÐM control. In the second step of chain transfer (IN3-F → TS2’-F → IN1’), the assisting Et3B can be a new Et3B from the solution (first-order dependence on [Et3B]f) or the one released in the first step of TS2-F → IN3-F (Pathway 1 and 2 in Supplementary Fig. 47, respectively). Since the latter pathway (intramolecular Et3B migration) does not depend on the concentration of Et3B, the dependence of transfer reaction on [Et3B]f is thus a linear combination of zero-order and first-order based on the equation Rt = (kt,0-order+kt,1-order[Et3B]f)[ACE][TFA]. Clearly, Et3B impacts chain propagation and transfer rather differently, similar to the Janus catalytic effect previously observed in a copolymerization51. In other words, the catalyst ratio can be utilized to regulate Rp/Rt, affording another module for controlling ÐM (Supplementary Fig. 49).
Based on this assumption, β in Eq. (1) can be estimated as,
According to our experimental protocol, [Et3B]f = [epoxide]0/DP×(0.1-0.05), then
Therefore, β should increase with targeted DP, explaining for the increase of experimentally calculated β for EO160, EO240, EO400 groups (0.88, 1.02, and 1.30; Supplementary Fig. 48) as well as the significant decrease in ÐM (1.34) and increase in β (2.34) for EO8001 (Supplementary Table 1). Elucidation for the derivation of β value is detailed in Supplementary Information.
Several possible chain transfers in ECT-ROP are examined. The 31.4 kcal mol−1 barrier of transfer at initiation stage (Supplementary Fig. 50a) is higher than the 28.4 kcal mol−1 barrier at propagation stage, substantiating the slow initiation of MTFA-MeOH. This agrees with our experimental results and establishes a module for controlling ÐM by CTA structure.
Kinetics studies
PO2402-PO2404 in Supplementary Table 2 are monitored as a function of reaction time (Fig. 5 and Supplementary Figs. 51–58). When [MeOH]0/[MTFA]0 is 0.75/0.25 (PO2402), molar mass increases linearly with PO conversion (Fig. 5a). ÐM increases when conversion is <50% but slightly decreases when conversion is >50%, finally arriving at 1.13 (Fig. 5b). PO2403 shows kinetics similar to PO2402, with the correlation of molar mass and conversion slightly deviating from linearity (Fig. 5a). When [MeOH]0/[MTFA]0 is 0.25/0.75 (PO2404), molar mass increases rapidly at early stages but plateaus when conversion is >50%, and ÐM continuously increases until conversion reaches 75% (Fig. 5a, b), indicating that low [MeOH]0/[MTFA]0 significantly decreases the uniformity of propagation and prolongs the initiation stage. MTFA is fully consumed at a PO conversion of 96% (Fig. 5c, d at 24 h), confirming 100% initiation efficiency and molar mass control.
a, b Dependence of Mn,SEC or ÐM on the conversion of PO. c–f Time-dependence of the consumption of PO or MTFA. PO2402 (red points), PO2403 (purple points) and PO2404 (blue points) in Supplementary Table 2.
Figure 5e, f presents the evolution of the consumption of PO and MTFA. In principle, Rp=kp[PO][ACE][Et3B]f, and kp,obs=kp[ACE][Et3B]f. Considering that [ACE] is roughly equal to [tBuP2]0, [Et3B]f can be estimated as [Et3B]0-[tBuP2]0, kp,obs is thus constant and independent of [MeOH]0/[MTFA]0, which is confirmed by Fig. 5e. However, the kinetic plots for MTFA in Fig. 5f are not linear. Actually, there are two kinds of ACEs at the initiation stage. The consumption of MTFA is only driven by the ACE during chain propagation (ACEp) in that the interchange between MTFA and un-initiated ACE (methoxide) do not consume MTFA (Supplementary Fig. 50), entitling the MTFA consumption rate to be RMTFA=kti[ACEp][MTFA]. Apparently, [ACEp] is positively correlated with the conversion of MTFA, the slopes of the plots in Fig. 5f thus increase at the early stages. When MTFA is consumed up, only ACEp exists, which is reasonably estimated as [tBuP2]0 and the same for the three experiments. Therefore, the three plots exhibit similar slopes at late stages irrespective of the feed ratio, and the chain-transfer rate can be generally expressed as Rt=kt[ACE][TFA].
Kinetics studies are conducted in PO804 and PO806 to insight into the effect of catalyst ratio on propagation and transfer (Supplementary Figs. 57–59). Notably, the fact that kp,obs of PO806 is 1.84 times as large as that of PO804 (Supplementary Fig. 59e) indicates the first-order dependence of propagation on [Et3B]f as kp,obs=kp[Et3B]f[ACE]. The increase of kti,obs (observed rate constant of chain transfer at initiation stage) with [Et3B]f deviates from first-order dependence (Supplementary Fig. 59f), which supports the above-proposed kinetics equation depicting a linear combination of first-order and zero-order dependence on [Et3B]f, and explains the difference in ÐM of PO804 and PO806 conducted with varied amount of Et3B. Accordingly, regulating catalyst ratio is another module for ÐM control.
Discussion
Chain-transfer reaction can be used to synthesize ÐM-controlled aliphatic polyethers. The key lies in transesterification on the elaborately selected ester, TFA, as CTA in the ROP of epoxides catalyzed by acid-excess organic Lewis pairs. The rates of transfer and propagation reactions are well-matched and simultaneously editable by simply varying the feed ratio. The TFA groups can be readily removed from the products. Ternary control over ÐM, molar mass, and end group can hence be achieved in a broad range. The program and equations can be designed to model ECT-ROP and control ÐM by optimizing the feed ratio. This study provides a facile approach to ÐM-tailored polymers by fulfilling multidimensionally controlled ROP.
Methods
See Supplementary Information for more details of experimental and modeled methods.
ECT-ROP of EO
A typical procedure is given as follows (EO1604 in Supplementary Table 1). A dried reaction flask was transferred into a glovebox, where THF (4.0 mL, 49.4 mmol), MeOH (5.1 μL, 0.126 mmol), MTFA (38.1 μL, 0.379 mmol), Et3B (1.0 M, 50.5 μL, 0.051 mmol), and tBuP2 (2.0 M, 12.5 μL, 0.025 mmol) were successively loaded. The flask was connected to the vacuum line, and purified EO (4.0 mL, 80.0 mmol) was cryo-condensed in the flask at −70 °C ([EO]0 = 10.0 M). Then the reaction mixture was warmed up to 0 °C, then kept stirring at 0 °C until a large amount of white solid (crystallized PEO) appeared (in ca. 1 h). 1H NMR (400 MHz, CDCl3): δ/ppm = 4.51–4.48 (CF3COOCH2CH2O−), 3.82–3.45 (−OCH2CH2O−), 3.74–3.71 (−OCH2CH2OH), 3.39–3.37 (−OCH3). Mn,NMR = 7.3 kg mol−1. MeOH (1.0 mL, 24.7 mmol) was added into the flask to release the hydroxyl end groups (60 °C, 4 h), followed by precipitation in cold diethyl ether and vacuum drying overnight at 40 °C. Mn,SEC (THF, PEO standards)=7.2 kg mol−1, ĐM = 1.74. 1H NMR (400 MHz, in CDCl3): δ/ppm = 3.82–3.45 (−OCH2CH2O−), 3.74–3.71 (−OCH2CH2OH), 3.39–3.37 (−OCH3). Mn,NMR = 7.3 kg mol−1.
ECT-ROP of PO and AGE
A typical procedure is given as follows (PO803 in Supplementary Table 2). A dried reaction flask was transferred into a glovebox, where PO (6.0 mL, 85.7 mmol), MeOH (21.7 μL, 0.536 mmol), CF3COOMe (53.9 μL, 0.536 mmol), Et3B (1.0 M, 107 μL, 0.107 mmol), and tBuP2 (2.0 M, 26.8 μL, 0.054 mmol) were loaded. The mixture was stirred at room temperature for 4 h. Aliquot (ca. 50 μL) was withdrawn for 1H NMR and SEC analysis. Conversion of PO was >99%. Mn,SEC (THF, PS standards) = 7.4 kg mol−1, ĐM = 1.36. 1H NMR (400 MHz, in CDCl3): δ/ppm = 5.28–5.19 (CF3COOCH(CH3)CH2O−), 3.97–3.89 (−OCH2CH(CH3)OH), 3.64–3.46 (−OCH2CH(CH3)O−), 3.46–3.28 (−OCH2CH(CH3)O−), 1.35–1.28 (−OCH2CH(CH3)OH), 1.18–1.09 (−OCH2CH(CH3)O−).
Data availability
All data generated in this study are provided within the article, Supplemental Information, Supplementary Data 1 and Source Data file. All the data are available from the corresponding author upon request. Source data are provided with this paper.
Code availability
The authors declare that the pseudocode and flowchart are provided in the Supplementary Information. The provisional DOI of the computer capsule is https://doi.org/10.24433/CO.4941084.v1. The code is also available from the corresponding author upon request.
References
Lynd, N. A., Meuler, A. J. & Hillmyer, M. A. Polydispersity and block copolymer self-assembly. Prog. Polym. Sci. 33, 875–893 (2008).
Doncom, K. E. B., Blackman, L. D., Wright, D. B., Gibson, M. I. & O’Reilly, R. K. Dispersity effects in polymer self-assemblies: a matter of hierarchical control. Chem. Soc. Rev. 46, 4119–4134 (2017).
Hadjichristidis, N., Pitsikalis, M., Pispas, S. & Iatrou, H. Polymers with complex architecture by living anionic polymerization. Chem. Rev. 101, 3747–3792 (2001).
Zhou, Y. N., Li, J. J., Wang, T. T., Wu, Y. Y. & Luo, Z. H. Precision polymer synthesis by controlled radical polymerization: fusing the progress from polymer chemistry and reaction engineering. Prog. Polym. Sci. 130, 101555 (2022).
Terreau, O., Luo, L. & Eisenberg, A. Effect of poly(acrylic acid) block length distribution on polystyrene-b-poly(acrylic acid) aggregates in solution. 1. Vesicles. Langmuir 19, 5601–5607 (2003).
Listak, J. et al. Effect of symmetry of molecular weight distribution in block copolymers on formation of “metastable” morphologies. Macromolecules 41, 5919–5927 (2008).
Schmitt, A. K. & Mahanthappa, M. K. Order and disorder in high χ/low n, broad dispersity aba triblock polymers. Macromolecules 50, 6779–6787 (2017).
Liu, X., Wang, C.-G. & Goto, A. Polymer dispersity control by organocatalyzed living radical polymerization. Angew. Chem. Int. Ed. 58, 5598–5603 (2019).
Romio, M. et al. Dispersity within brushes plays a major role in determining their interfacial properties: the case of oligoxazoline-based graft polymers. J. Am. Chem. Soc. 143, 19067–19077 (2021).
Shi, Y. et al. Shape control over the polymer molecular weight distribution and influence on rheological properties. Macromolecules 56, 545–555 (2023).
Gentekos, D. T., Sifri, R. J. & Fors, B. P. Controlling polymer properties through the shape of the molecular-weight distribution. Nat. Rev. Mater. 4, 761–774 (2019).
Lynd, N. A. & Hillmyer, M. A. Influence of polydispersity on the self-assembly of diblock copolymers. Macromolecules 38, 8803–8810 (2005).
Zaquen, N., Yeow, J., Junkers, T., Boyer, C. & Zetterlund, P. B. Visible light-mediated polymerization-induced self-assembly using continuous flow reactors. Macromolecules 51, 5165–5172 (2018).
Gentekos, D. T., Dupuis, L. N. & Fors, B. P. Beyond dispersity: deterministic control of polymer molecular weight distribution. J. Am. Chem. Soc. 138, 1848–1851 (2016).
Kottisch, V., Gentekos, D. T. & Fors, B. P. “Shaping” the future of molecular weight distributions in anionic polymerization. ACS Macro Lett. 5, 796–800 (2016).
Corrigan, N., Almasri, A., Taillades, W., Xu, J. & Boyer, C. Controlling molecular weight distributions through photoinduced flow polymerization. Macromolecules 50, 8438–8448 (2017).
Corrigan, N. et al. Copolymers with controlled molecular weight distributions and compositional gradients through flow polymerization. Macromolecules 51, 4553–4563 (2018).
Rubens, M. & Junkers, T. Comprehensive control over molecular weight distributions through automated polymerizations. Polym. Chem. 10, 6315–6323 (2019).
Zhou, Y., Fu, Y. & Chen, M. Facile control of molecular weight distribution via droplet-flow light-driven reversible-deactivation radical polymerization. Chin. J. Chem. 40, 2305–2312 (2022).
Liu, D., Sponza, A. D., Yang, D. & Chiu, M. Modulating polymer dispersity with light: cationic polymerization of vinyl ethers using photochromic initiators. Angew. Chem. Int. Ed. 58, 16210–16216 (2019).
Chen, M. et al. Controlling polymer molecular weight distribution through a latent mediator strategy with temporal programming. Angew. Chem. Int. Ed. 60, 19705–19709 (2021).
Xing, D. et al. Controlling polymer molecular weight distributions by light through reversible addition-fragmentation chain transfer-hetero-diels–alder click conjugation. J. Polym. Sci. 60, 3463–3470 (2022).
Whitfield, R., Parkatzidis, K., Truong, N. P., Junkers, T. & Anastasaki, A. Tailoring polymer dispersity by RAFT polymerization: a versatile approach. Chem 6, 1340–1352 (2020).
Antonopoulou, M.-N. et al. Concurrent control over sequence and dispersity in multiblock copolymers. Nat. Chem. 14, 304–312 (2022).
Ma, Q., Qiao, G. G. & An, Z. Visible light photoiniferter polymerization for dispersity control in high molecular weight polymers. Angew. Chem. Int. Ed. 62, e202314729 (2023).
Shimizu, T. et al. Controlling primary chain dispersity in network polymers: elucidating the effect of dispersity on degradation. Chem. Sci. 14, 13419–13428 (2023).
Whitfield, R., Parkatzidis, K., Rolland, M., Truong, N. P. & Anastasaki, A. Tuning dispersity by photoinduced atom transfer radical polymerisation: monomodal distributions with ppm copper concentration. Angew. Chem. Int. Ed. 58, 13323–13328 (2019).
Wang, Z. et al. Control of dispersity and grafting density of particle brushes by variation of atrp catalyst concentration. ACS Macro Lett. 8, 859–864 (2019).
Rolland, M., Truong, N. P., Whitfield, R. & Anastasaki, A. Tailoring polymer dispersity in photoinduced iron-catalyzed ATRP. ACS Macro Lett. 9, 459–463 (2020).
Litvinenko, G. & Müller, A. H. E. General kinetic analysis and comparison of molecular weight distributions for various mechanisms of activity exchange in living polymerizations. Macromolecules 30, 1253–1266 (1997).
Kearns, M. M. et al. A general model for the ideal chain length distributions of polymers made with reversible deactivation. Polym. Chem. 13, 898–913 (2022).
Ionescu, M. Chemistry and Technology of Polyols for Polyurethanes (iSmithers Rapra Publishing, 2005).
Li, W., Zhan, P., De Clercq, E., Lou, H. & Liu, X. Current drug research on pegylation with small molecular agents. Prog. Polym. Sci. 38, 421–444 (2013).
Harris, J. M. & Chess, R. B. Effect of pegylation on pharmaceuticals. Nat. Rev. Drug Discov. 2, 214–221 (2003).
Fan, L.-Z., He, H. & Nan, C.-W. Tailoring inorganic–polymer composites for the mass production of solid-state batteries. Nat. Rev. Mater. 6, 1003–1019 (2021).
Childers, M. I., Longo, J. M., Van Zee, N. J., LaPointe, A. M. & Coates, G. W. Stereoselective epoxide polymerization and copolymerization. Chem. Rev. 114, 8129–8152 (2014).
Herzberger, J. et al. Polymerization of ethylene oxide, propylene oxide, and other alkylene oxides: synthesis, novel polymer architectures, and bioconjugation. Chem. Rev. 116, 2170–2243 (2016).
Yang, G. W., Zhang, Y. Y., Xie, R. & Wu, G. P. High-activity organocatalysts for polyether synthesis via intramolecular ammonium cation assisted sn2 ring-opening polymerization. Angew. Chem. Int. Ed. 59, 16910–16917 (2020).
Naumann, S., Thomas, A. W. & Dove, A. P. N-heterocyclic olefins as organocatalysts for polymerization: preparation of well-defined poly(propylene oxide). Angew. Chem. Int. Ed. 54, 9550–9554 (2015).
Wang, X. et al. Exploration of the synergistic effect in a one-component Lewis pair system: Serving as a dual initiator and catalyst in the ring-opening polymerization of epoxides. ACS Catal. 12, 8434–8443 (2022).
Morris, L. S., Childers, M. I. & Coates, G. W. Bimetallic chromium catalysts with chain transfer agents: a route to isotactic poly(propylene oxide)s with narrow dispersities. Angew. Chem. Int. Ed. 57, 5731–5734 (2018).
Childers, M. I. et al. Isospecific, chain shuttling polymerization of propylene oxide using a bimetallic chromium catalyst: a new route to semicrystalline polyols. J. Am. Chem. Soc. 139, 11048–11054 (2017).
Kiesewetter, M. K., Shin, E. J., Hedrick, J. L. & Waymouth, R. M. Organocatalysis: opportunities and challenges for polymer synthesis. Macromolecules 43, 2093–2107 (2010).
McGraw, M. L. & Chen, E. Y. X. Lewis pair polymerization: Perspective on a ten-year journey. Macromolecules 53, 6102–6122 (2020).
Chen, Y. et al. High efficiency organic Lewis pair catalyst for ring-opening polymerization of epoxides with chemoselectivity. Macromolecules 51, 8286–8297 (2018).
Zhang, C. J., Duan, H. Y., Hu, L. F., Zhang, C. H. & Zhang, X. H. Metal-free route to precise synthesis of poly(propylene oxide) and its blocks with high activity. ChemSusChem 11, 4209–4213 (2018).
Tang, J., Li, M., Wang, X. & Tao, Y. Switchable polymerization organocatalysis: from monomer mixtures to block copolymers. Angew. Chem. Int. Ed. 61, e202115465 (2022).
Zhang, P., Ladelta, V., Abou-hamad, E., Müller, A. J. & Hadjichristidis, N. Catalyst switch strategy enabled a single polymer with five different crystalline phases. Nat. Commun. 14, 7559 (2023).
Xia, X., Suzuki, R., Gao, T., Isono, T. & Satoh, T. One-step synthesis of sequence-controlled multiblock polymers with up to 11 segments from monomer mixture. Nat. Commun. 13, 163 (2022).
Liu, S. et al. Biased Lewis pairs: a general catalytic approach to ether-ester block copolymers with unlimited ordering of sequences. Angew. Chem. Int. Ed. 58, 15478–15487 (2019).
Song, Q. et al. Janus effect of Lewis acid enables one-step block copolymerization of ethylene oxide and n-sulfonyl aziridine. Angew. Chem. Int. Ed. 62, e202300187 (2023).
Acknowledgements
The financial support of National Key Research and Development Program of China (2022YFC2805103 for J.Z.), National Natural Science Foundation of China (52022031, 52373005 for J.Z.), and Guangdong Provincial Key Laboratory of Luminescence from Molecular Aggregates (2023B1212060003 for J.Z.) is acknowledged.
Author information
Authors and Affiliations
Contributions
J.Z. conceived the idea. J.Z. and G.Z. supervised the research. J.Z. and Y.Z. designed the experiments. Y.Z. conducted the experiments, modeling, and calculations. Y.Z. drafted manuscript. J.Z. and G.Z. co-revised the manuscript. All authors discussed and analyzed the data.
Corresponding author
Ethics declarations
Competing interests
The authors declare no competing interests.
Peer review
Peer review information
Nature Communications thanks the anonymous reviewers for their contribution to the peer review of this work. A peer review file is available.
Additional information
Publisher’s note Springer Nature remains neutral with regard to jurisdictional claims in published maps and institutional affiliations.
Source data
Rights and permissions
Open Access This article is licensed under a Creative Commons Attribution-NonCommercial-NoDerivatives 4.0 International License, which permits any non-commercial use, sharing, distribution and reproduction in any medium or format, as long as you give appropriate credit to the original author(s) and the source, provide a link to the Creative Commons licence, and indicate if you modified the licensed material. You do not have permission under this licence to share adapted material derived from this article or parts of it. The images or other third party material in this article are included in the article’s Creative Commons licence, unless indicated otherwise in a credit line to the material. If material is not included in the article’s Creative Commons licence and your intended use is not permitted by statutory regulation or exceeds the permitted use, you will need to obtain permission directly from the copyright holder. To view a copy of this licence, visit http://creativecommons.org/licenses/by-nc-nd/4.0/.
About this article
Cite this article
Zhou, Y., Zhao, J. & Zhang, G. Dispersity-controlled ring-opening polymerization of epoxide. Nat Commun 16, 6860 (2025). https://doi.org/10.1038/s41467-025-62028-x
Received:
Accepted:
Published:
Version of record:
DOI: https://doi.org/10.1038/s41467-025-62028-x







![Fig. 5: Effects of [MeOH]0/[MTFA]0 on kinetics of ECT-ROP.](http://media.springernature.com/lw685/springer-static/image/art%3A10.1038%2Fs41467-025-62028-x/MediaObjects/41467_2025_62028_Fig5_HTML.png)