Abstract
Increasing belief in climate change is often considered a prerequisite to motivating climate action. However, partisan polarization has crystallized climate beliefs, and the narrowing window for climate mitigation demands urgent behavior change. This study investigates whether messages from co-partisan elected officials can directly boost intentions to adopt climate-friendly behaviors without changing underlying beliefs about climate change. In two preregistered survey experiments—one on solar panels (n = 9298) and one on electric vehicles (n = 9903)—I find that co-partisan elite messages can increase climate-mitigation intentions among self-reported Republicans and Democrats alike, even though such messages do not affect climate beliefs. Furthermore, I find that messages centering climate change are just as persuasive for Republicans as non-climate framings, challenging previous work showing that climate change rhetoric triggers a “backfire effect” reducing Republicans’ mitigation behaviors. Finally, I test the theory of “credibility-enhancing displays” and find limited evidence that partisan elites are more effective at motivating mitigation intentions when they themselves engage in those behaviors.
Similar content being viewed by others
Introduction
Many scholars have tried to design interventions that increase belief in climate change1,2,3,4,5,6,7. Intuitively, increasing belief in anthropogenic climate change may motivate people to take action6,8,9, because climate beliefs are key predictors of climate action9,10. Accordingly, even interventions seeking to motivate behavior change often try to do so by influencing climate beliefs11. For instance, the Gateway Belief Model generates support for climate mitigation by increasing climate belief through the scientific consensus on climate change5,12. The climate literature is not unique in its focus on beliefs; across disciplines, scholars often regard belief change as a prerequisite for behavior change13,14,15,16,17.
But in the United States, this approach to combating the climate crisis faces at least three challenges. First, increasing climate belief may be difficult due to partisan polarization18,19,20,21. In many settings, pushing climate messages on Republicans may be politically infeasible: entrenched partisan attitudes may have crystallized many Republicans’ climate beliefs through motivated reasoning and in-group norms1,20,21,22,23,24,25. Second, changing climate beliefs may be a slow process because Democrats and Republicans alike already hold strong priors about climate change. Even if the motivated reasoning account is incorrect and educational interventions can shift climate beliefs5,12,26,27, such interventions are likely to do so only gradually over the long run28. Third, increasing climate belief may not always translate into individual mitigation actions or into support for government action7, which are what confronting the climate crisis requires. As the window for effective climate action narrows, it is crucial to understand the mechanisms that can directly drive behavior change without the slow process of belief change.
One way to circumvent these challenges might be to leverage the influence of co-partisan elected officials, or “elites,” to directly change behavior. Messages from officials of one’s own party, or “co-partisan elite cues,” can be incredibly influential29,30,31. Research shows that Republican elites are especially effective at persuading Republicans to accept climate science and support climate mitigation32,33,34,35,36,37. But in addition to its source, how a message is framed can also influence its persuasiveness38,39,40,41,42,43. Scholars have demonstrated substantial framing effects on attitudes toward renewable energy and climate change44,45,46,47,48,49,50,51,52. Building on these literatures, I test four different frames delivered by co-partisan elites and assess which frames effectively boost climate mitigation intentions without necessarily changing climate beliefs.
In preregistered, nationally representative survey experiments on solar panels (n = 9298) and electric vehicles (n = 9903), respondents were randomized into one of five conditions in a between-subjects design. Based on their self-reported partisanship, those in the four treatment conditions read a news article about co-partisan officials urging the public to install solar panels (Study 1) or to drive electric vehicles (Study 2). In the “standard” treatment condition, the article contained only this baseline pro-solar or pro-EV appeal. In the “climate” treatment condition, the appeal was coupled with an explicit climate cue in which officials framed the technology as a way to combat climate change. In the “costly action” treatment condition, the article instead highlighted that the officials had themselves installed solar panels or purchased electric vehicles. The “combination” treatment article included both the climate cue and the costly action cue. Respondents in the control condition received no article.
Several hypotheses and research questions were preregistered on the Open Science Framework prior to data collection. Here, they retain their labeling from the preregistrations, but their order has been slightly altered for expositional clarity. The first three sets of hypotheses and research questions below use respondents’ intentions to install solar panels (Study 1) or to drive electric vehicles (Study 2) as the outcome variables.
First, given the importance of co-partisan elite cues in shaping public opinion29,30,31, I expected that exposure to a pro-solar or pro-EV message from co-partisan officials boosts intentions to install solar panels or to drive electric vehicles, respectively (H1).
Second, partisan polarization on climate change has fostered significant climate skepticism among Republicans22,24,53,54. I therefore expected that a climate-framed message is less effective for Republicans than a standard message (H2). I also tested whether a combination message with both the climate cue and the costly action cue is less effective for Republicans than the costly-action-only message (RQ3a). Given previous work showing that discussing climate change triggers a “backfire” or “boomerang” effect causing Republicans to become even less likely to believe in climate change or support mitigation measures21,24,25, I then explored whether a climate-framed message actually makes Republicans less likely to install solar panels or to drive electric vehicles (RQ1).
Third, I test the theory of “credibility-enhancing displays” (CREDs) in the political communication context. This theory suggests that people are more persuaded by a message promoting a costly action when the messenger is also engaging in the costly action; participation signals genuine belief in the behavior’s value, making those who actively engage in a behavior more credible advocates for that behavior55,56. In the context of climate mitigation, recent studies have found that community organizers who themselves installed solar panels could more effectively recruit residents to also install solar panels57, and that UK politicians who “led by example” were more likely to increase climate mitigation behaviors among the UK public58. Thus, I expected that a costly-action message from co-partisan elites will be more effective than a standard message (H3). For Republicans, I also tested whether a combination message is more effective than a climate-only message (RQ3b). For Democrats, I tested if the combination message is more effective than a climate-only message or costly-action-only message (RQ2).
Then, I retested all three sets of hypotheses and research questions above using new outcome variables (RQ4): respondents’ intention to participate in community solar (Study 1) and support for low-carbon transportation (Study 2). For Study 1, I also tested whether exposure to a pro-solar message makes non-homeowners more likely to participate in community solar than homeowners (RQ5).
Finally, I expected that exposure to a pro-solar or pro-EV message about climate change makes people more likely to believe in anthropogenic climate change (H4), again because of the influence of co-partisan elite cues29,30,31. Given the literature on CREDs55,56,57, I also tested if a combination message outperforms the climate-only message in raising climate belief, and whether this differs between Democrats and Republicans (RQ6).
Ultimately, I find that gradually shifting public opinion on climate change may not be necessary: climate mitigation intentions are surprisingly malleable and can be influenced independently of entrenched partisan beliefs about climate change. The results show that messages from co-partisan elites can increase climate mitigation intentions among both Republicans and Democrats—even without measurably increasing belief in climate change. Climate mitigation intentions may be more susceptible to change than climate change beliefs. Accordingly, interventions that seek to slowly increase climate belief might instead seek to directly motivate mitigation behaviors.
I also present two other main findings. First, I find that messages about climate change are just as effective at increasing mitigation intentions among Republicans as non-climate messages, challenging the “backfire effect” research discussed above21,24,25. In fact, attributing climate messages to Republican elites not only neutralizes any backlash, but actually matches the persuasive power of non-climate appeals. Second, despite recent studies showing the effectiveness of CREDs in the climate context, I find limited evidence that partisan elites in the US become more effective at motivating mitigation intentions when they themselves engage in climate mitigation.
Results
As preregistered, all results in the main text are based on the composite scales for each dependent variable. (See Supplementary Note B for results based on the individual measures.) Study 1 explored the effects of pro-solar messages from co-partisan elites, while Study 2 explored the effects of pro-EV messages from co-partisan elites. Results below are organized by dependent variable for each study. Supporting statistics for all null results reported in this paper are provided in the Supplementary Information in the form of Bayes Factors (Supplementary Tables 30–34). The results of a multiple testing adjustment are presented in Supplementary Note B.
Study 1: Reported likelihood of installing solar panels
As preregistered, I restrict the Study 1 sample to homeowners when analyzing respondents’ intentions to install solar panels, because non-homeowners are unlikely to install solar panels at their primary residence. (I analyze the other two dependent variables for Study 1 using responses from both homeowners and non-homeowners.)
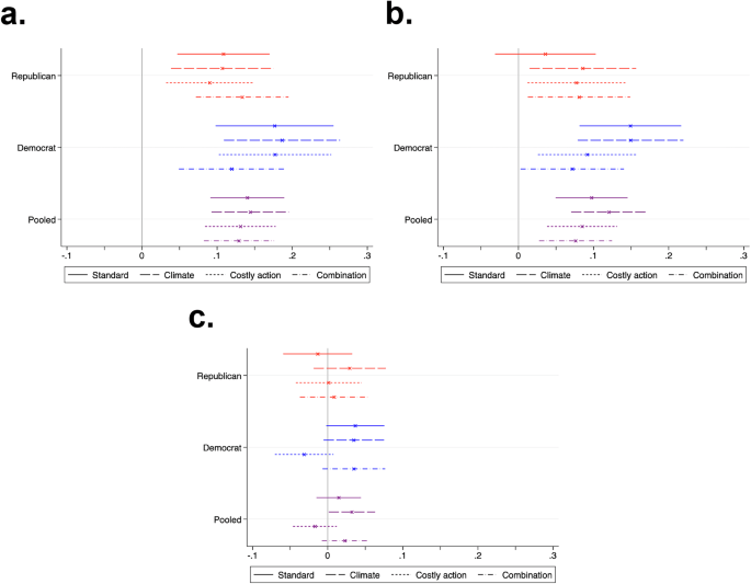
Consistent with H1, every pro-solar message boosted the pooled sample of homeowners’ intentions to install solar panels (Fig. 1a), including the standard message (β = 0.140 = 0.144 s.d., p < 0.001, 95% CI [0.091, 0.190]), climate message (β = 0.144 = 0.148 s.d., p < 0.001, 95% CI [0.093, 0.195]), costly action message (β = 0.131 = 0.135 s.d., p < 0.001, 95% CI [0.084, 0.178]), and combination message (β = 0.129 = 0.133 s.d., p < 0.001, 95% CI [0.082, 0.176]) (Supplementary Table 1).
a Treatment effects on respondents’ intentions to install solar panels (n = 3198). b Treatment effects on respondents’ intentions to participate in community solar (n = 4156). c Treatment effects on respondents’ belief in anthropogenic climate change (n = 7512). Data are presented as regression coefficient estimates with 95% confidence intervals from two-sided OLS regression with robust standard errors. Estimates for which the confidence intervals do not intersect the vertical line at 0 represent statistically significant treatment effects at the 0.05 level relative to the control condition. Dependent variables are composite scales based on factor scores from the individual measures.
All effects remain significant when analyzing results for homeowners in each party separately. Republicans’ intentions to install solar panels increased when exposed to the standard message (β = 0.108 = 0.120 s.d., p = 0.001, 95% CI [0.047, 0.170]), climate message (β = 0.107 = 0.118 s.d., p = 0.002, 95% CI [0.039, 0.175]), costly action message (β = 0.090 = 0.100 s.d., p = 0.002, 95% CI [0.032, 0.148]), or combination message (β = 0.133 = 0.148 s.d., p < 0.001, 95% CI [0.072, 0.195]) (Fig. 1a and Supplementary Table 2). To provide some illustration of substantive effect sizes, take just the first individual measure from the composite scale as an example. Compared to the control condition where only 35.9% of Republicans said they were at least “a little likely” to install solar panels at their primary residence in the next year, that percentage increased to 39.9% for the standard message condition, 42.0% for the climate message condition, 40.9% for the costly action message condition, and 45.6% for the combination message condition.
Democrats’ intentions to install solar panels also increased when exposed to the standard message (β = 0.177 = 0.173 s.d., p < 0.001, 95% CI [0.098, 0.255]), climate message (β = 0.187 = 0.182 s.d., p < 0.001, 95% CI [0.109, 0.264]), costly action message (β = 0.177 = 0.173 s.d., p < 0.001, 95% CI [0.102, 0.252]), or combination message (β = 0.120 = 0.117 s.d., p = 0.001, 95% CI [0.049, 0.190]) (Fig. 1a and Supplementary Table 2). Again, to illustrate substantive effect sizes, take just the first individual measure from the composite scale as an example. Compared to the control condition where only 51.0% of Democrats said they were at least “a little likely” to install solar panels at their primary residence in the next year, that percentage increased to 51.3% for the standard message condition, 60.8% for the climate message condition, 56.7% for the costly action message condition, and 52.5% for the combination message condition.
Figure 1 a shows that even the climate message boosted Republicans’ intentions to install solar panels (β = 0.107 = 0.118 s.d., p = 0.002, 95% CI [0.039, 0.175]), contrary to the “backfire effect” literature (RQ1). In fact, contrary to H2, there was no measurable difference between the standard message and the climate message in terms of shifting Republicans’ reported likelihood of installing solar panels (p = 0.969, 95% CI [-0.078, 0.075]) (Supplementary Table 2). Also, the combination message was no less effective than the costly action message for Republicans (p = 0.206, 95% CI [-0.024, 0.110]) (RQ3a).
Contrary to H3 and the literature on credibility-enhancing displays (CREDs), the costly action message was not measurably more effective than the standard message at increasing the pooled sample’s reported likelihood of installing solar panels (p = 0.732, 95% CI [-0.063, 0.044]) (Fig. 1a and Supplementary Table 1). This is also true when separately analyzing effects for Republicans (p = 0.592, 95% CI [-0.085, 0.049]) and Democrats (p = 0.991, 95% CI [-0.086, 0.087]) (Supplementary Table 2). Furthermore, for Republicans, the combination message was not more effective than the climate message (p = 0.496, 95% CI [-0.050, 0.103]) (RQ3b); for Democrats, the combination message was just as effective as the costly action message (p = 0.151, 95% CI [-0.136, 0.021]) and as the climate message (p = 0.105, 95% CI [-0.148, 0.014]) (RQ2).
Study 1: Reported likelihood of participating in community solar
For RQ4, I retest the above hypotheses and research questions using respondents’ reported likelihood of participating in community solar as the outcome variable. Every message boosted the pooled sample’s intentions to participate in community solar (Fig. 1b), including the standard message (β = 0.097 = 0.097 s.d., p < 0.001, 95% CI [0.050, 0.145]), climate message (β = 0.120 = 0.120 s.d., p < 0.001, 95% CI [0.070, 0.170]), costly action message (β = 0.085 = 0.085 s.d., p < 0.001, 95% CI [0.038, 0.131]), and combination message (β = 0.076 = 0.076 s.d., p = 0.002, 95% CI [0.028, 0.125]) (Supplementary Table 3).
Almost all effects remain significant when analyzing results for Republicans and Democrats separately. Every message except the standard message (p = 0.295, 95% CI [-0.031, 0.103]) boosted Republicans’ intentions to participate in community solar (Fig. 1b). The climate message (β = 0.086 = 0.092 s.d., p = 0.018, 95% CI [0.015, 0.157]), costly action message (β = 0.077 = 0.083 s.d., p = 0.020, 95% CI [0.012, 0.142]), and combination message (β = 0.081 = 0.086 s.d., p = 0.020, 95% CI [0.013, 0.149]) all had significant effects for Republicans (Supplementary Table 4).
Every message increased Democrats’ reported likelihood of participating in community solar (Fig. 1b), including the standard message (β = 0.149 = 0.145 s.d., p < 0.001, 95% CI [0.081, 0.217]), climate message (β = 0.149 = 0.145 s.d., p < 0.001, 95% CI [0.079, 0.220]), costly action message (β = 0.092 = 0.089 s.d., p = 0.006, 95% CI [0.026, 0.157]), and combination message (β = 0.072 = 0.070 s.d., p = 0.041, 95% CI [0.003, 0.140]) (Supplementary Table 4).
Even the climate message increased Republicans’ reported likelihood of participating in community solar (β = 0.086 = 0.092 s.d., p = 0.018, 95% CI [0.015, 0.157]), contrary to the “backfire effect” literature (Fig. 1b). In fact, there was no measurable difference between the standard message and the climate message in terms of shifting Republicans’ reported likelihood of participating in community solar (p = 0.203, 95% CI [-0.027, 0.127]) (Supplementary Table 4). Also, the combination message was not less effective than the costly action message for Republicans (p = 0.924, 95% CI [-0.069, 0.076]).
Again, contrary to H3 and the literature on CREDs, the costly action message was not more effective than the standard message at increasing the pooled sample’s reported likelihood of participating in community solar (p = 0.617, 95% CI [-0.063, 0.037]) (Fig. 1b and Supplementary Table 3). This is also true when separately analyzing effects for Republicans (p = 0.255, 95% CI [-0.030, 0.113]) and Democrats (p = 0.105, 95% CI [-0.127, 0.012]) (Supplementary Table 4). For Republicans, the combination message was not more effective than the climate message (p = 0.898, 95% CI [-0.083, 0.073]) (RQ3b). For Democrats, the combination message was just as effective as the costly action message (p = 0.577, 95% CI [-0.090, 0.050]), but slightly less effective than the climate message (β = − 0.078 = − 0.075 s.d., p = 0.043, 95% CI [-0.153, -0.003]).
There were no measurable differences in treatment effects between the pooled sample of homeowners and non-homeowners for the standard message (p = 0.317, 95% CI [-0.150, 0.049]), climate message (p = 0.951, 95% CI [-0.104, 0.098]), costly action message (p = 0.350, 95% CI [-0.140, 0.050]), or combination message (p = 0.996, 95% CI [-0.098, 0.099]) (Supplementary Table 5) (RQ5).
Study 1: Belief in anthropogenic climate change
Contrary to H4, I found little credible evidence that any pro-solar message from co-partisan officials made the pooled sample more likely to believe in anthropogenic climate change (Fig. 1c). Pooled respondents assigned to the control condition exhibited no measurable difference in climate belief compared to pooled respondents exposed to the standard message (p = 0.333, 95% CI [-0.015, 0.044]), costly action message (p = 0.249, 95% CI [-0.046, 0.012]), or combination message (p = 0.143, 95% CI [-0.008, 0.054]) (Supplementary Table 6). Pooled respondents exposed to the climate message appeared slightly more likely to believe in anthropogenic climate change (β = 0.032 = 0.032 s.d., p = 0.041, 95% CI [0.001, 0.063]) (Supplementary Table 6), but a Bayes Factor test indicates that the data strongly support the null model over the alternative for this treatment effect (see Supplementary Table 31).
Additionally, results for the climate message are null for Republicans and Democrats separately. Republicans assigned to the control condition exhibited no measurable difference in climate belief compared to Republicans exposed to the standard message (p = 0.570, 95% CI [-0.059, 0.033]), climate message (p = 0.231, 95% CI [-0.019, 0.077]), costly action message (p = 0.958, 95% CI [-0.042, 0.045]), or combination message (p = 0.711, 95% CI [-0.037, 0.054]) (Fig. 1c and Supplementary Table 7).
Similarly, Democrats assigned to the control condition exhibited no measurable difference in climate belief compared to Democrats exposed to the standard message (p = 0.063, 95% CI [-0.002, 0.075]), climate message (p = 0.090, 95% CI [-0.005, 0.075]), costly action message (p = 0.115, 95% CI [-0.070, 0.008]), or combination message (p = 0.101, 95% CI [-0.007, 0.077]) (Fig. 1c and Supplementary Table 7). Exploratory analyses show that null treatment effects on Democrats’ warming belief may be due to ceiling effects: for instance, 80.9% of Democrats in Study 1 said that global warming “definitely has been happening” in response to the pretreatment measure.
Contrary to the literature on CREDs, I do not find that the combination message is more effective than the climate message at increasing the pooled sample’s belief in climate change (p = 0.053, 95% CI [-0.104, 0.001]). This is also true for Democrats (p = 0.995, 95% CI [-0.045, 0.046]) and Republicans (p = 0.413, 95% CI [-0.070, 0.029]) separately, and the interaction reveals no measurable difference between Democrats and Republicans in this regard (p = 0.542, 95% CI [-0.088, 0.046]) (Fig. 1c and Supplementary Table 7) (RQ6).
Study 2: Reported likelihood of driving an electric vehicle
Consistent with H1, every pro-EV message increased the pooled sample’s intentions to drive an electric vehicle (Fig. 2a), including the standard message (β = 0.049 = 0.049 s.d., p = 0.002, 95% CI [0.017, 0.081]), climate message (β = 0.046 = 0.046 s.d., p = 0.006, 95% CI [0.013, 0.078]), costly action message (β = 0.069 = 0.069 s.d., p < 0.001, 95% CI [0.036, 0.102]), and combination message (β = 0.073 = 0.073 s.d., p < 0.001, 95% CI [0.041, 0.105]) (Supplementary Table 9).
a Treatment effects on respondents’ intentions to drive an electric vehicle (n = 6661). b Treatment effects on respondents’ support for low-carbon transportation (n = 8218). c Treatment effects on respondents’ belief in anthropogenic climate change (n = 8190). Data are presented as regression coefficient estimates with 95% confidence intervals from two-sided OLS regression with robust standard errors. Estimates for which the confidence intervals do not intersect the vertical line at 0 represent statistically significant treatment effects at the 0.05 level relative to the control condition. Dependent variables are composite scales based on factor scores from the individual measures.
Effects remain significant for Democrats, but not for Republicans. In contrast with the results from Study 1, I find no measurable evidence that any message shifted Republicans’ reported likelihood of driving electric vehicles (Fig. 2a). Republicans’ reported likelihood of driving electric vehicles did not measurably change when exposed to the standard message (p = 0.147, 95% CI [-0.011, 0.073]), climate message (p = 0.614, 95% CI [-0.030, 0.050]), costly action message (p = 0.991, 95% CI [-0.042, 0.042]), or combination message (p = 0.873, 95% CI [-0.037, 0.043]) (Supplementary Table 10).
However, every message increased Democrats’ reported likelihood of driving an electric vehicle, including the standard message (β = 0.066 = 0.063 s.d., p = 0.006, 95% CI [0.019, 0.112]), climate message (β = 0.077 = 0.074 s.d., p = 0.002, 95% CI [0.027, 0.126]), costly action message (β = 0.130 = 0.126 s.d., p < 0.001, 95% CI [0.081, 0.179]), and combination message (β = 0.135 = 0.131 s.d., p < 0.001, 95% CI [0.087, 0.184]) (Fig. 2a and Supplementary Table 10). Again, to provide some illustration of substantive effect sizes, take just the first individual measure from the composite scale as an example. Compared to the control condition where only 44.7% of Democrats said they were at least “a little likely” to buy or lease an electric vehicle in the next year, that percentage increased to 49.2% for the standard message condition, 48.2% for the climate message condition, 49.8% for the costly action message condition, and 51.2% for the combination message condition.
With regard to the effect of climate cues on Republicans, there were no measurable differences between the climate message and the standard message in terms of shifting Republicans’ reported likelihood of driving an electric vehicle (p = 0.361, 95% CI [-0.065, 0.024]) (Supplementary Table 10) (H2). Unlike in Study 1, here there was no measurable difference because all messages were equally ineffective at increasing Republicans’ reported likelihood of driving an electric vehicle (Fig. 2a). But again, contrary to the “backfire effect” literature, the climate message did not measurably decrease Republicans’ intentions to drive electric vehicles (p = 0.614, 95% CI [-0.030, 0.050]) (RQ1). Also, the combination message was not less effective than the costly action message for Republicans (p = 0.895, 95% CI [-0.042, 0.048]) (RQ3a).
Contrary to H3 and the literature on CREDs, the costly action message was not measurably more effective than the standard message at increasing the pooled sample’s reported likelihood of driving electric vehicles (p = 0.273, 95% CI [-0.016, 0.056]) (Fig. 2a and Supplementary Table 9). This effect remains null for Republicans (p = 0.196, 95% CI [-0.078, 0.016]); additionally, Fig. 2a and Supplementary Table 10 show that the combination message is not more effective than the climate message for Republicans (p = 0.750, 95% CI [-0.050, 0.036]) (RQ3b).
However, consistent with H3, for Democrats the costly action message was more effective than the standard message (β = 0.065 = 0.062 s.d., p = 0.017, 95% CI [0.012, 0.117]) (Supplementary Table 10). Furthermore, for Democrats, the combination message was more effective than the climate message (β = 0.059 = 0.056 s.d., p = 0.036, 95% CI [0.004, 0.113]) but not more effective than the costly action message (p = 0.856, 95% CI [-0.050, 0.060]) (RQ2). These results suggest that for Democrats, the inclusion of a costly action cue makes a pro-EV message more effective—but the inclusion of a climate cue does not.
Study 2: Support for low-carbon transportation
For RQ4, I retest the above hypotheses and research questions using respondents’ support for low-carbon transportation as the outcome variable. The pooled sample became more likely to support low-carbon transportation when exposed to the costly action message (β = 0.033 = 0.033 s.d., p = 0.039, 95% CI [0.002, 0.065]) or combination message (β = 0.039 = 0.039 s.d., p = 0.019, 95% CI [0.006, 0.071]), but effects are null for the standard message (p = 0.101, 95% CI [-0.005, 0.056]) and climate message (p = 0.210, 95% CI [-0.011, 0.051]) (Fig. 2b and Supplementary Table 11).
Effects are also null when analyzing results for respondents in each party separately. Republicans were not measurably more likely to support low-carbon transportation when exposed to the standard message (p = 0.249, 95% CI [-0.019, 0.072]), climate message (p = 0.555, 95% CI [-0.031, 0.058]), costly action message (p = 0.126, 95% CI [-0.010, 0.081]), or combination message (p = 0.078, 95% CI [-0.005, 0.088]) (Supplementary Table 12). Similarly, Democrats were not measurably more likely to support low-carbon transportation when exposed to the standard message (p = 0.239, 95% CI [-0.016, 0.066]), climate message (p = 0.262, 95% CI [-0.018, 0.067]), costly action message (p = 0.160, 95% CI [-0.012, 0.076]), or combination message (p = 0.110, 95% CI [-0.008, 0.081]) (Fig. 2b and Supplementary Table 12). The absence of movement on low-carbon-transportation preferences is perhaps unsurprising: the treatment messages promoted individual-level EV adoption, not low-carbon transportation generally. (As shown in Supplementary Note A, the low-carbon transportation measures consisted of one question about driving less and two questions about pro-EV policies.)
With regard to the effect of climate cues on Republicans’ support for low-carbon transportation, there were again no measurable differences between the climate message and the standard message (p = 0.560, 95% CI [-0.058, 0.032]) or between the combination message and the costly action message (p = 0.793, 95% CI [-0.041, 0.053]) (Supplementary Table 12). Here, as with electric vehicles above, there were no measurable differences because all messages were equally ineffective at increasing Republicans’ support for low-carbon transportation (Fig. 2b). But again, contrary to the “backfire effect” literature, the climate message did not make Republicans measurably less likely to support low-carbon transportation (p = 0.555, 95% CI [-0.031, 0.058]).
Contrary to the literature on CREDs, Fig. 2b and Supplementary Table 12 show that the costly action message was not more effective than the standard message for the pooled sample (p = 0.631, 95% CI [-0.024, 0.039]), for Republicans (p = 0.713, 95% CI [-0.037, 0.055]), or for Democrats (p = 0.759, 95% CI [-0.036, 0.049]). Also, for Republicans, the combination message was not more effective than the climate message (p = 0.227, 95% CI [-0.018, 0.074]). For Democrats, the combination message had no measurably different effects from the costly action message (p = 0.577, 95% CI [-0.090, 0.050]) or the climate message (p = 0.600, 95% CI [-0.033, 0.057]) (RQ2).
Supplementary Note C reports exploratory analyses omitting the 18% of Republican respondents who recognized a Democratic governor in their treatment article; in these exploratory analyses, only the costly action message successfully increased Republican support for low-carbon transportation (β = 0.055 = 0.056 s.d., p = 0.034, 95% CI [0.004, 0.106]) (Supplementary Fig. 18b and Supplementary Table 21). However, Supplementary Table 21 also shows that the costly action message is not statistically discernible from the standard message for Republicans (p = 0.238, 95% CI [-0.022, 0.089]).
Study 2: Belief in anthropogenic climate change
Contrary to H4 and prior literature on the importance of elite cues in shaping public opinion, I find no credible evidence that any pro-EV message from co-partisan officials made the pooled sample more likely to believe in anthropogenic climate change (Fig. 2c). Pooled respondents assigned to the control condition exhibited no measurable difference in climate belief compared to pooled respondents exposed to the standard message (p = 0.330, 95% CI [-0.047, 0.016]), climate message (p = 0.817, 95% CI [-0.029, 0.036]), costly action message (p = 0.266, 95% CI [-0.049, 0.014]), or combination message (p = 0.960, 95% CI [-0.031, 0.032]) (Supplementary Table 13).
Results remain null when analyzing respondents of each party separately (Fig. 2c). Republicans assigned to the control condition exhibited no measurable difference in climate belief compared to Republicans exposed to the standard message (p = 0.539, 95% CI [-0.064, 0.034]), climate message (p = 0.652, 95% CI [-0.061, 0.038]), costly action message (p = 0.107, 95% CI [-0.089, 0.009]), or combination message (p = 0.514, 95% CI [-0.061, 0.030]) (Supplementary Table 14).
Similarly, Democrats were not measurably more likely to believe in climate change when exposed to the standard message (p = 0.456, 95% CI [-0.058, 0.026]), climate message (p = 0.499, 95% CI [-0.028, 0.058]), costly action message (p = 0.984, 95% CI [-0.041, 0.041]), or combination message (p = 0.568, 95% CI [-0.031, 0.056]) (Fig. 2c and Supplementary Table 14). Again, exploratory analyses show that null treatment effects on Democrats’ warming belief may be due to ceiling effects: for instance, 78.8% of Democrats in Study 2 said that global warming “definitely has been happening” in response to the pretreatment measure.
Contrary to the literature on CREDs, I do not find that the combination message is more effective than the climate message at increasing the pooled sample’s belief in climate change (p = 0.859, 95% CI [-0.036, 0.030]). This is also true for Democrats (p = 0.995, 95% CI [-0.045, 0.046]) and Republicans (p = 0.924, 95% CI [-0.047, 0.043]) separately, and the interaction reveals no measurable difference between Democrats and Republicans in this regard (p = 0.963, 95% CI [-0.068, 0.065]) (Fig. 2c and Supplementary Table 14) (RQ6).
Discussion
The results above may be distilled into three main findings: 1) Co-partisan elites can motivate climate mitigation intentions despite the public’s polarized beliefs, 2) co-partisan elite messages about climate change are just as effective for Republicans as non-climate messages from co-partisan elites, and 3) credibility-enhancing displays (CREDs) generally do not increase the persuasiveness of mitigation messages from co-partisan elites.
First, climate beliefs are deeply entrenched—perhaps because of motivated reasoning for Republicans22,24, and perhaps because of ceiling effects for Democrats3,46,59—but climate mitigation intentions can still be increased. I find that messages from Republican elected officials increase Republicans’ intentions to install solar panels and participate in community solar, even though those messages do not measurably affect Republicans’ climate beliefs. Similarly, messages from Democratic elected officials increase Democrats’ intentions to install solar panels, participate in community solar, and drive electric vehicles, even though those messages do not measurably affect Democrats’ climate beliefs.
These findings have significant implications for climate communication research, because partisan motivated reasoning may render climate beliefs resistant to change22,24. And even if beliefs about climate change can be slowly influenced over time5,12,26,28, the urgency of the climate crisis60,61 demands interventions that directly shift behavior. Perhaps educational interventions meant to increase climate belief may not translate into mitigation behaviors quickly enough. Beyond climate communication, this finding also has important implications for many other literatures which regard belief change as a prerequisite for behavior change13. Recent studies in various fields have recognized the need to reorient scholarly focus from attitudes to behavior, precisely because attitudes are difficult and slow to change and may not even translate into behavior once changed62,63,64.
In some contexts, behavior change may even facilitate belief change. First, self-perception theory suggests that behaviors actually influence beliefs. According to this theory, people analyze their own actions and then attribute their actions to particular beliefs, which then shape future behavior65,66. Second, if believing in something such as anthropogenic climate change entails costly behavior changes, then people may be more inclined to engage in motivated reasoning and resist the belief change; but if the costly behavior change has already occurred, then the psychological barrier to belief change may be reduced67,68. For both of these reasons, personal behavior change may even facilitate future belief change, in contrast with the general assumption that shifting beliefs is a prerequisite to shifting behavior.
My results go beyond prior studies examining the effects of elite cues on policy preferences regarding renewable energy37,69,70: I show that elite cues remain effective at shifting even salient personal choices for which people likely hold stronger priors. This approach yields two advantages: first, it tests whether elite cues remain influential even in areas where people have strongly established priors, since people tend to rely less on source authority when evaluating messages about familiar topics71. The personal choice to drive an electric vehicle, for instance, is generally a more salient consideration than policy preferences regarding renewable portfolio standards. Second, it is more likely that respondents’ answers will reflect their true intentions. Asking about issues for which respondents do not have meaningful priors may produce uninformative responses not grounded in actual preferences.
Previous research from Palm et al.72 found that recommending costly personal behavior changes makes people less likely to engage in climate mitigation behavior, because people dislike being told what to do. If this is always true, then perhaps slowly shifting climate beliefs over time is necessary for problem recognition to motivate solution seeking. But Palm et al. tested messages only from climate scientists and unnamed sources. In the context of electric vehicles and solar panels, I show that when co-partisan elites recommend personal behavior changes, reported intentions to engage in those behaviors only increase or stay the same—never decrease.
These findings reaffirm the potential for politics to be a strategy for achieving climate solutions73. Previous research has emphasized the importance of shifting “second-order climate beliefs,” as people are more likely to support climate mitigation when they think others in their in-group(s) hold these same attitudes74,75,76,77. Given the importance of partisanship as a social identity and political party as an in-group78,79,80,81,82,83, interventions seeking to induce climate mitigation behaviors should harness the power of political partisanship and co-partisan elite cues. Accordingly, scholars should focus on amplifying the messages of Republican elites who do endorse mitigation behaviors, such as the Conservative Climate Caucus, while renewing their efforts to appeal to Republican elites who do not—thus following Thomas-Walters et al.’s84 guidance on “targeting social referents.”
More importantly, however, this study sheds light on an important psychological mechanism for behavior change in the climate context—specifically, that increasing belief in climate change is not necessarily a prerequisite to motivating climate mitigation. Future research should explore whether other mechanisms (e.g., messages from religious leaders or messages about cost savings) can also motivate mitigation without affecting climate belief.
The second main finding is that co-partisan elite messages about climate change are just as effective for Republicans as non-climate messages from co-partisan elites.
Pro-solar appeals increased Republicans’ intentions to adopt solar energy even when the rationale explicitly referenced climate change—directly contradicting “backfire-effect” claims that climate language alienates the right and triggers Republican opposition to mitigation21,24,25. My results thus support previous work showing limited backfire effects generally85,86,87, as well as for climate change specifically88.
In fact, across both Study 1 and Study 2, climate messages were never less effective than the other messages for Republicans. Thus, not only does the inclusion of the climate cue fail to generate a backfire effect, it also fails to reduce the overall persuasiveness of the message for Republicans. Republican elected officials can discuss climate change as a reason to support renewable energy, and their discussion of climate change will not necessarily reduce the persuasiveness of their message for fellow Republicans. Future research should test the mechanism for this finding by including treatment conditions with no source effects and testing for climate-based backfire effects in those conditions. Perhaps attributing the climate message to a Republican elite is what counteracts the backfire effect. In other words, the source effect may be overriding the framing effect. Future research may also test for source-based backfire effects by including messages from opposition partisan elites4; I test only for content-based backfire effects from the discussion of climate change21,24,25 by co-partisan elites.
In Study 2, the climate messages were not less effective than the other messages for Republicans, because all messages were equally ineffective at increasing Republicans’ intentions to drive electric vehicles. These findings contrast with the results from Study 1, where both climate-framed and non-climate-framed messages were equally effective at increasing Republicans’ intentions to adopt solar energy. Republicans viewing solar panels and electric vehicles differently is consistent with recent polls showing that solar energy may be more popular among Republicans than electric vehicles89,90,91.
Why might Republicans view solar panels differently from electric vehicles? Given prior research finding that Republicans’ consumer energy preferences are shaped mostly by price considerations92, perhaps Republicans perceive solar panels as a better way to save on energy costs than electric vehicles. Alternatively, perhaps Republicans simply hold stronger priors for their choice of vehicle than their choice of whether to install solar panels. One limitation of this research is that Study 1 and Study 2 tested only two types of renewable energy. Future research should explore potential differences in how Republicans perceive different kinds of renewable energy; perhaps solar panels and/or electric vehicles are outliers. Future research might also explore climate mitigation behaviors which might be perceived as even more costly—such as reducing air travel or meat consumption.
The third main finding is that credibility-enhancing displays (CREDs)55,56,57 generally do not increase the persuasiveness of mitigation messages from co-partisan elites.
In the context of renewable energy messages, I find limited evidence supporting the effectiveness of CREDs for co-partisan elites in the US. This contrasts with recent research from Westlake et al.58, who found that CREDs from UK politicians and celebrities increase climate mitigation behaviors among the UK public. Future research should explore if CREDs might be less effective for elected officials in the US. My findings also contrast with those of Kraft-Todd et al.57, who demonstrated the effectiveness of CREDs for community organizers in the US seeking to motivate solar installation. The divergence in our findings is arguably surprising: insofar as partisan elites are perceived as “higher status” than community organizers, one might expect that status-based motives for pro-environmental behaviors93 would make CREDs even more effective for partisan elites than for community organizers.
That said, one potential explanation for Kraft-Todd et al.’s divergent findings is that individuals in the community may have already enjoyed a high degree of trust in these community organizers (e.g., based on shared experiences such as living in the same town or even based on direct relationships with individual community organizers). As a result, seeing community organizers install solar panels might impact people differently compared to being motivated by a co-partisan elite, with whom the only commonality or source of trust might be political partisanship. Furthermore, people may feel they have less in common with partisan elites, so any effect of increased credibility may be counteracted by a perception that solar panels and electric vehicles are only financially affordable for elites. Thus, in more general terms, if one perceives oneself as significantly different from the advocate in some way, perhaps that perception nullifies the persuasive effect of personally performing the behavior (i.e., CREDs).
The question of how CREDs affect political communication in the US has important implications beyond the climate context. For instance, does a Republican official’s pro-vaccine message become more effective if she herself has gotten vaccinated? Previous research has studied how partisans who speak against their own interest can be more persuasive94,95, including in the context of climate change3, but such research is distinct from research on CREDs, which explores whether personally engaging in a behavior makes one more persuasive when promoting that behavior—not just whether costly messaging generally is more persuasive. Future research should continue to explore whether CREDs can be effective for political elites in the US, and if not, whether the explanations proposed here are reasons why not. For instance, future research might explore which groups tend to associate with political elites and aspire to mimic political elites’ behaviors. Future research may also explore whether these explanations hold true in the US context but not the UK context, given the findings of Westlake et al.58.
Methods
This research complies with all relevant ethical regulations. Study 1 and Study 2 were both approved by the Committee for the Protection of Human Subjects at Dartmouth College.
Preregistration
The hypotheses, research questions, experimental design, and statistical analyses for each study were preregistered on the Open Science Framework prior to data collection for that study. The analysis plan for Study 1 was preregistered on March 1, 2022 at https://osf.io/67wqh/. The analysis plan for Study 2 was preregistered on September 29, 2022 at https://osf.io/2j4m8/.
Unless otherwise noted, all analyses follow the preregistered analysis plan for Study 1 or Study 2. The main text reports the results of all preregistered analyses. Deviations from the preregistrations consist only of exploratory analyses, which are labeled as such when discussed.
Samples
Data collection occurred from March 1–22, 2022 for Study 1 and from September 30–October 15, 2022 for Study 2. Different samples were collected for each study; respondents who participated in Study 1 were excluded from participation in Study 2. Responses were collected using Lucid Theorem, which uses quotas to provide a nationally representative sample based on age, gender, ethnicity, and region. Following my preregistered analysis plan, I excluded respondents under the age of 18, respondents who did not reside in the United States, and respondents who failed one or both of the two pretreatment attention checks. The final samples consisted of 9,298 respondents for Study 1 and 9903 respondents for Study 2. No statistical method was used to predetermine sample size.
For both studies, I conducted pretests using nationally representative online samples from Lucid Theorem, in order to test the survey flow and refine question phrasing. For the Study 1 pretest, I collected data from 926 respondents from February 5–7, 2022. For the Study 2 pretest, I collected data from 436 respondents from September 15–30, 2022. As preregistered, I do not include data from the pretests in my final samples for Study 1 or Study 2. The pretest data therefore do not affect the analyses in this paper. However, the pretest data helped to identify any issues in the survey design, such as unclear or biased question wording, and to ensure the reliability and validity of the measures.
Informed consent was obtained from all participants at the outset of all four surveys (the two main surveys and the two pretests). Participants were compensated by Lucid Theorem. Supplementary Tables 8 and 15 show the self-reported sex and age of participants in Study 1 and Study 2, respectively.
Experimental design and treatments
Respondents were randomized into one of five conditions for both studies: a control condition, a standard message condition, a climate message condition, a costly action message condition, and a combination message condition (Fig. 3).
Each condition in both studies had roughly equal numbers of respondents. In Study 1, there were 1558 respondents assigned to the control condition, 1494 respondents assigned to the standard message condition, 1535 respondents assigned to the climate message condition, 1567 respondents assigned to the costly action message condition, and 1557 respondents assigned to the combination message condition. In Study 2, there were 1645 respondents assigned to the control condition, 1748 respondents assigned to the standard message condition, 1672 respondents assigned to the climate message condition, 1653 respondents assigned to the costly action message condition, and 1652 respondents assigned to the combination message condition.
I include the standard message condition in order to test which cues from co-partisan elites are most effective. By including this condition in which respondents are exposed to a baseline pro-solar or pro-EV message without any reference to climate change or costly action, I can isolate the effect of the climate cue or the costly action cue and determine how well they fare compared to the standard message. Comparing only against the control (in which respondents receive no message at all) would not reveal if attitudes were shifting due to or despite the additional cues beyond the baseline pro-solar or pro-EV message from co-partisan elites.
The treatment messages were conveyed using fabricated news articles, because news media are how most people receive information about climate change18 and about elected officials’ positions on issues. Fabricating the treatment articles allowed me to maximize parallelism between the articles while varying only the cues of interest. The baseline pro-solar or pro-EV content of the articles was essentially identical across treatments; the inclusion of a climate cue and/or costly action cue was the only substantive difference. I also eliminated potential form-based confounds by keeping constant the media outlet, author name, and more. None of the treatment conditions were significantly different from each other in tone, length, or style. To facilitate comparison between the two studies, I kept the pro-solar and pro-EV articles as parallel as possible as well; with the exception of solar- or EV-related content, the articles and their cues were essentially identical across studies. All treatment articles are available in Supplementary Note A.
Respondents always received a treatment article about co-partisan elites: Self-reported Democrats and Democratic leaners received an article about Democratic elected officials, while self-reported Republicans and Republican leaners received an article about Republican elected officials. (Pure independents received an article about an elected official of randomized partisanship.) Within treatment conditions, the articles were identical with the exception that the partisanship of the elected official was varied. Since pure independents were unable to receive articles from co-partisan elites, results are reported only for Republicans and Democrats, as preregistered. References to “pooled sample” or “pooled respondents” thus refer to the pooled sample of Republicans and Democrats.
Despite their fabricated nature, the treatment articles resembled real Associated Press publications, as shown in Supplementary Note A. To ensure a realistic presentation, the treatment articles’ layout and appearance were adapted from Associated Press articles. I then replaced the articles’ wording and imagery with those of the treatments. I chose to mimic Associated Press articles in order to minimize media source effects and isolate the effects of partisan elite cues; according to a 2018 survey, Americans were most likely to rate PBS News and the Associated Press as being “not biased at all” or “not very biased”96.
Using realistic news articles likely increased the credibility of the treatment. This was essential because respondents may suspect that a simple block of text was fabricated for the purpose of a survey—especially when it assigns an unlikely stance to a partisan elite. Research has shown that counter-stereotypical messengers can be especially persuasive97, but that is likely true only if people actually believe the messengers made the statements attributed to them. (Researchers may not always have video recordings of the messenger espousing the ideologically incongruent belief, as Larsen et al.98 did.) Treatment credibility thus becomes an important consideration for researchers. Previous studies which attribute climate change messages to Republican elites21 may reach inaccurate conclusions about the persuasiveness of climate messaging from Republican elites if they use simple blocks of text rather than realistically formatted treatments.
To further increase external validity, the images chosen for the articles were sourced from real news articles about state governors advocating for solar panels or electric vehicles. In Study 1, the treatment articles included an image depicting former Governor Charlie Crist giving a press conference in front of solar panels. In Study 2, the treatment articles included an image depicting Governor Gavin Newsom giving a press conference in front of electric vehicles. (One might worry that Republican respondents recognized the picture of Newsom and identified him as a Democratic governor, not a co-partisan Republican governor. Indeed, 18% of Republican respondents in Study 2 indicated that they thought the person in the image was a Democrat. However, exploratory analyses omitting these Republicans yield exactly the same main findings; see Supplementary Note C. In fact, all results based on the composite scales remain the same except for one difference discussed above in the Results.)
At the end of each survey, participants were debriefed regarding the use of fabricated news articles.
Outcome measures
As shown in Fig. 3, Study 1 contains three outcome variables: the respondent’s likelihood of installing solar panels, likelihood of participating in community solar, and belief in anthropogenic climate change. Study 2 also contains three outcome variables: the respondent’s likelihood of driving an electric vehicle, support for low-carbon transportation, and belief in anthropogenic climate change. As shown in Fig. 4, each outcome variable is composed of two to four individual outcome measures. (Measures of belief in anthropogenic climate change were sourced from Nyhan et al.99.) The full survey instrument, including all treatment articles and exact wording for all measures, is provided in Supplementary Note A.
I use principal component factor analysis to create a composite scale from the individual measures for each variable. See Supplementary Note D for tables summarizing the results of the factor analysis. Results in the main text are based on the composite scales for each dependent variable. See Supplementary Note B for results based on the individual measures.
As an inevitable limitation of nearly all survey research, my dependent variables measure behavioral intentions rather than actual behavior: I could not monitor whether respondents actually installed solar panels or drove electric vehicles, for example. However, survey research has relied on behavioral intentions as a proxy for actual behavior for decades, and this reliance is bolstered by recent research: Corneille and Gawronski100 find that self-report measures generally predict behavior more accurately than implicit measures, and Kaiser and Oswald101 find that even subjective survey responses about feelings translate to actual behavior.
Additionally, I use specific question wordings to better capture respondents’ true behavioral intentions. For example, one of my outcome measures is the question, “In the next year, how likely is it that you will visit a dealership or search online to look for electric vehicles?” This question wording forces the respondent to consider the specific actions of visiting a dealership or searching online, instead of simply asking the respondent directly whether they would drive an electric vehicle. Also, specifying “in the next year” forces the respondent to concretize their response to a specific timeframe, whereas a more vague or open-ended question wording may increase the likelihood of an answer driven by social desirability bias. Thus, if a treatment increases the share of respondents selecting “Extremely likely” on this item, then—holding other factors constant—it indicates a higher likelihood that respondents will actually drive an electric vehicle.
Finally, using a multi-item scale and collapsing those items into a composite scale with factor analysis also makes it more likely that the resulting composite scale captures respondents’ true behavioral intentions. By including multiple individual measures of behavioral intentions, I better capture the complexity of the construct that I truly seek to measure: actual behavior. I carefully designed the individual measures to cover various facets of the actual behaviors (see Fig. 4), thereby providing a more comprehensive assessment of whether respondents would actually engage in the behaviors. Additionally, this approach reduces the impact of random errors or anomalies on individual items, such as misunderstanding of a particular question wording102.
Statistical analysis
Statistical analyses were conducted in Stata using two-sided OLS regression with robust standard errors. I report 95% confidence intervals to illustrate the precision of null effects; for significant effects at the p < 0.05 level, I also report estimated effect sizes and estimated effect sizes in terms of standard deviations of the outcome variable. Supplementary Note E reports the results of power calculations, as well as results of Bayes factor analyses for null effects on the composite scales. (These analyses were not preregistered.) Supplementary Note B contains the results of an exploratory multiple testing adjustment (see Supplementary Tables 16 and 17 for sharpened False Discovery Rate two-stage q-values).
I use a lasso variable selection procedure to determine the set of prognostic covariates to include in models for each dependent variable, as per Bloniarz et al.103; in each table in the Supplementary Information, “Controls” refers to that set of prognostic covariates. The full list of covariates input into the lasso is available in Supplementary Note A. Pretreatment values of the outcome measures were included in the lasso, per Clifford et al.104 and Broockman et al.105. Versions of the main figures omitting controls entirely are available in Supplementary Note B (see Supplementary Figs. 15 and 16).
Reporting summary
Further information on research design is available in the Nature Portfolio Reporting Summary linked to this article.
Data availability
All data needed to reproduce the analyses, figures, and tables are available via the Harvard Dataverse: https://doi.org/10.7910/DVN/DWQMFE106.
Code availability
All code needed to reproduce the analyses, figures, and tables are available via the Harvard Dataverse: https://doi.org/10.7910/DVN/DWQMFE106.
References
Rode, J. B. et al. Influencing climate change attitudes in the United States: a systematic review and meta-analysis. J. Environ. Psychol. 76, 101623 (2021).
Ehret, P. Reaching Republicans on climate change. Nat. Clim. Change 11, 560–561 (2021).
Benegal, S. D. & Scruggs, L. A. Correcting misinformation about climate change: The impact of partisanship in an experimental setting. Clim. change 148, 61–80 (2018).
Chockalingam, V. et al. The limited effects of partisan and consensus messaging in correcting science misperceptions. Res. Politics 8, 20531680211014980 (2021).
Van der Linden, S. L., Leiserowitz, A. A., Feinberg, G. D. & Maibach, E. W. The scientific consensus on climate change as a gateway belief: experimental evidence. PloS one 10, e0118489 (2015).
Goldberg, M. H., Gustafson, A., Rosenthal, S. A. & Leiserowitz, A. Shifting Republican views on climate change through targeted advertising. Nat. Clim. Change 11, 573–577 (2021).
Većkalov, B. et al. A 27-country test of communicating the scientific consensus on climate change. Nat. Hum. Behav. 8, 1892−1905 (2024).
Bain, P. G., Hornsey, M. J., Bongiorno, R. & Jeffries, C. Promoting pro-environmental action in climate change deniers. Nat. Clim. Change 2, 600–603 (2012).
Blennow, K., Persson, J., Tome, M. & Hanewinkel, M. Climate change: believing and seeing implies adapting. PloS one 7, e50182 (2012).
Milfont, T. L., Wilson, M. S. & Sibley, C. G. The public’s belief in climate change and its human cause are increasing over time. PloS one 12, e0174246 (2017).
Vlasceanu, M. et al. Addressing climate change with behavioral science: a global intervention tournament in 63 countries. Sci. Adv. 10, eadj5778 (2024).
Van der Linden, S. The gateway belief model (GBM): A review and research agenda for communicating the scientific consensus on climate change. Curr. Opin. Psychol. 42, 7–12 (2021).
Vlasceanu, M., Dyckovsky, A. M. & Coman, A. A network approach to investigate the dynamics of individual and collective beliefs: advances and applications of the bending model. Perspect. Psychol. Sci. https://doi.org/10.1177/17456916231185776 (2023).
Sulat, J. S., Prabandari, Y. S., Sanusi, R., Hapsari, E. D. & Santoso, B. The validity of health belief model variables in predicting behavioral change: a scoping review. Health Educ. 118, 499–512 (2018).
Bechler, C. J., Tormala, Z. L. & Rucker, D. D. The attitude–behavior relationship revisited. Psychol. Sci. 32, 1285–1297 (2021).
Hochbaum, G. M. Public Participation In Medical Screening Programs: A Socio-Psychological Study, Vol. 23 (US Department of Health, Education, and Welfare, Public Health Service, 1958).
Ajzen, I. The theory of planned behavior. Organ. Behav. Hum. Decis. Process. 50, 179–211 (1991).
Bolsen, T. & Shapiro, M. A. The US news media, polarization on climate change, and pathways to effective communication. Environ. Commun. 12, 149–163 (2018).
Ballew, M. T. et al. Climate change in the American mind: data, tools, and trends. Environ.: Sci. Policy Sustain. Dev. 61, 4–18 (2019).
Mayer, A. Partisanship, politics, and the energy transition in the United States: a critical review and conceptual framework. Energy Res. Soc. Sci. 53, 85–88 (2019).
Zhou, J. Boomerangs versus javelins: how polarization constrains communication on climate change. Environ. Politics 25, 788–811 (2016).
Saunders, K. L. The impact of elite frames and motivated reasoning on beliefs in a global warming conspiracy: the promise and limits of trust. Res. Politics 4, 2053168017717602 (2017).
Doell, K. C., Pärnamets, P., Harris, E. A., Hackel, L. M. & Van Bavel, J. J. Understanding the effects of partisan identity on climate change. Curr. Opin. Behav. Sci. 42, 54–59 (2021).
Hart, P. S. & Nisbet, E. C. Boomerang effects in science communication: how motivated reasoning and identity cues amplify opinion polarization about climate mitigation policies. Commun. Res. 39, 701–723 (2012).
Ma, Y., Dixon, G. & Hmielowski, J. D. Psychological reactance from reading basic facts on climate change: The role of prior views and political identification. Environ. Commun. 13, 71–86 (2019).
Druckman, J. N. & McGrath, M. C. The evidence for motivated reasoning in climate change preference formation. Nat. Clim. Change 9, 111–119 (2019).
Stoetzer, L. S. & Zimmermann, F. A representative survey experiment of motivated climate change denial. Nat. Clim. Change 14, 19−204 (2024).
Bago, B., Rand, D. G. & Pennycook, G. Reasoning about climate change. PNAS nexus 2, pgad100 (2023).
Zaller, J. R. et al. The Nature and Origins of Mass Opinion, Vol. 382 (Cambridge University Press, 1992).
Druckman, J. N., Peterson, E. & Slothuus, R. How elite partisan polarization affects public opinion formation. Am. Political Sci. Rev. 107, 57–79 (2013).
Bisgaard, M. & Slothuus, R. Partisan elites as culprits? how party cues shape partisan perceptual gaps. Am. J. Political Sci. 62, 456–469 (2018).
Fielding, K. S., Hornsey, M. J., Thai, H. A. & Toh, L. L. Using ingroup messengers and ingroup values to promote climate change policy. Clim. Change 158, 181–199 (2020).
Ehret, P. J., Van Boven, L. & Sherman, D. K. Partisan barriers to bipartisanship: Understanding climate policy polarization. Soc. Psychol. Personal. Sci. 9, 308–318 (2018).
Hoffman, A. J. How Culture Shapes the Climate Change Debate Vol 110 (Stanford University Press, 2015).
Bolsen, T., Palm, R. & Kingsland, J. T. The impact of message source on the effectiveness of communications about climate change. Sci. Commun. 41, 464–487 (2019).
Nisbet Matthew, C. Engaging in science policy controversies: Insights from the us debate over climate change. In The Handbook of the Public Communication of Science and Technology (eds. Bucchi, M., Trench, B.) 13 (Routledge, 2014).
Rinscheid, A., Pianta, S. & Weber, E. U. What shapes public support for climate change mitigation policies? The role of descriptive social norms and elite cues. Behav. Public Policy 5, 503–527 (2021).
Levin, I. P., Schneider, S. L. & Gaeth, G. J. All frames are not created equal: A typology and critical analysis of framing effects. Organ. Behav. Hum. Decis. Process. 76, 149–188 (1998).
Nelson, T. E., Oxley, Z. M. & Clawson, R. A. Toward a psychology of framing effects. Political Behav. 19, 221–246 (1997).
Druckman, J. N. Evaluating framing effects. J. Econ. Psychol. 22, 91–101 (2001).
Frisch, D. Reasons for framing effects. Organ. Behav. Hum. Decis. Process. 54, 399–429 (1993).
Druckman, J. N. On the limits of framing effects: Who can frame? J. Politics 63, 1041–1066 (2001).
Druckman, J. N. The implications of framing effects for citizen competence. Political Behav. 23, 225–256 (2001).
Bayulgen, O. & Benegal, S. Green priorities: how economic frames affect perceptions of renewable energy in the United States. Energy Res. Soc. Sci. 47, 28–36 (2019).
Whitmarsh, L., Xenias, D. & Jones, C. R. Framing effects on public support for carbon capture and storage. Palgrave Commun. 5, 17 (2019).
Feldman, L. & Hart, P. S. Climate change as a polarizing cue: framing effects on public support for low-carbon energy policies. Glob. Environ. Change 51, 54–66 (2018).
Scrase, J. I. & Ockwell, D. G. The role of discourse and linguistic framing effects in sustaining high carbon energy policy—an accessible introduction. Energy Policy 38, 2225–2233 (2010).
Newman, C. L., Howlett, E., Burton, S., Kozup, J. C. & Heintz Tangari, A. The influence of consumer concern about global climate change on framing effects for environmental sustainability messages. Int. J. Advert. 31, 511–527 (2012).
Nisbet, E. C., Hart, P. S., Myers, T. & Ellithorpe, M. Attitude change in competitive framing environments? open-/closed-mindedness, framing effects, and climate change. J. Commun. 63, 766–785 (2013).
Sapiains, R., Beeton, R. J. & Walker, I. A. Individual responses to climate change: framing effects on pro-environmental behaviors. J. Appl. Soc. Psychol. 46, 483–493 (2016).
Gainous, J. & Merry, M. K. Climate change as a national security issue: examining framing effects across party. Am. Politics Res. 50, 199–212 (2022).
Baumer, E. P., Polletta, F., Pierski, N. & Gay, G. K. A simple intervention to reduce framing effects in perceptions of global climate change. Environ. Commun. 11, 289–310 (2017).
Tesler, M. Elite domination of public doubts about climate change (not evolution). Political Commun. 35, 306–326 (2018).
Uscinski, J. E., Klofstad, C. & Atkinson, M. D. What drives conspiratorial beliefs? The role of informational cues and predispositions. Political Res. Q. 69, 57–71 (2016).
Henrich, J. The evolution of costly displays, cooperation and religion: Credibility enhancing displays and their implications for cultural evolution. Evol. Hum. Behav. 30, 244–260 (2009).
Lanman, J. A. & Buhrmester, M. D. Religious actions speak louder than words: exposure to credibility-enhancing displays predicts theism. Relig., Brain Behav. 7, 3–16 (2017).
Kraft-Todd, G. T., Bollinger, B., Gillingham, K., Lamp, S. & Rand, D. G. Credibility-enhancing displays promote the provision of non-normative public goods. Nature 563, 245–248 (2018).
Westlake, S., Demski, C. & Pidgeon, N. Leading by example from high-status individuals: exploring a crucial missing link in climate change mitigation. Hum. Soc. Sci. Commun. 11, 1292 (2024).
Merkley, E. & Stecula, D. A. Party cues in the news: Democratic elites, Republican backlash, and the dynamics of climate skepticism. Br. J. Political Sci. 51, 1439–1456 (2021).
Budryk, Z. Analysis: World Has 9 Years to Avoid Critical Climate Change Threshold. https://thehill.com/policy/energy-environment/3730949-analysis-world-has-9-years-to-avoid-critical-climate-change-threshold/ (2022).
Friedlingstein, P. et al. Global carbon budget 2021. Earth Syst. Sci. Data 14, 1917–2005 (2022).
Brauer, M. Stuck on intergroup attitudes: the need to shift gears to change intergroup behaviors. Perspect. Psychol. Sci. 19, 280−294 (2023).
Nilsson, D., Fielding, K. & Dean, A. J. Achieving conservation impact by shifting focus from human attitudes to behaviors. Conserv. Biol. 34, 93–102 (2020).
Albarracín, D., Fayaz-Farkhad, B. & Granados Samayoa, J. A. Determinants of behaviour and their efficacy as targets of behavioural change interventions. Nat. Rev. Psychol. 1–16 (2024).
Jervis, R. Understanding beliefs. Political Psychol. 27, 641–663 (2006).
Bem, D. J. Self-perception theory. Adv. Exp. Soc. Psychol. 6, 1−62(1972).
Masson, T. & Fritsche, I. Adherence to climate change-related ingroup norms: do dimensions of group identification matter? Eur. J. Soc. Psychol. 44, 455–465 (2014).
Lind, A. V., Morton, T. A. & Dalege, J. Comparing attitudinal structures between political orientations: a network analysis of climate change attitudes. J. Environ. Psychol. 97, 102370 (2024).
Mayer, A. National energy transition, local partisanship? elite cues, community identity, and support for clean power in the United States. Energy Res. Soc. Sci. 50, 143–150 (2019).
Stokes, L. C. & Warshaw, C. Renewable energy policy design and framing influence public support in the United States. Nat. Energy 2, 1–6 (2017).
Nicholson, S. P. Dominating cues and the limits of elite influence. J. Politics 73, 1165–1177 (2011).
Palm, R., Bolsen, T. & Kingsland, J. T. "Don’t tell me what to do": resistance to climate change messages suggesting behavior changes. Weather Clim. Soc. 12, 827–835 (2020).
Meckling, J. & Karplus, V. J. Political strategies for climate and environmental solutions. Nat. Sustain. 6, 742–751 (2023).
Mildenberger, M. & Tingley, D. Beliefs about climate beliefs: the importance of second-order opinions for climate politics. Br. J. Political Sci. 49, 1279–1307 (2019).
Goldberg, M. H., van der Linden, S., Leiserowitz, A. & Maibach, E. Perceived social consensus can reduce ideological biases on climate change. Environ. Behav. 52, 495–517 (2020).
Geiger, N. & Swim, J. K. Climate of silence: pluralistic ignorance as a barrier to climate change discussion. J. Environ. Psychol. 47, 79–90 (2016).
Jachimowicz, J. M., Hauser, O. P., O’Brien, J. D., Sherman, E. & Galinsky, A. D. The critical role of second-order normative beliefs in predicting energy conservation. Nat. Hum. Behav. 2, 757–764 (2018).
Bolsen, T., Druckman, J. N. & Cook, F. L. The influence of partisan motivated reasoning on public opinion. Political Behav. 36, 235–262 (2014).
Huddy, L., Mason, L. & Aarøe, L. Expressive partisanship: campaign involvement, political emotion, and partisan identity. Am. Political Sci. Rev. 109, 1–17 (2015).
Huddy, L. & Bankert, A. Political partisanship as a social identity. Oxford Res. Encyclopedia Politics https://doi.org/10.1093/acrefore/9780190228637.013.250 (2017).
West, E. A. & Iyengar, S. Partisanship as a social identity: Implications for polarization. Political Behav. 44, 807–838 (2020).
Strickland, A. A., Taber, C. S. & Lodge, M. Motivated reasoning and public opinion. J. Health politics, policy law 36, 935–944 (2011).
Kahan, D. M. The politically motivated reasoning paradigm, part 1: What politically motivated reasoning is and how to measure it. Emerging Trends in Social & Behavioral Sciences (2016).
Thomas-Walters, L. et al. Reframing conservation audiences from individuals to social beings. Conserv. Lett. 17, e13064 (2024).
Haglin, K. The limitations of the backfire effect. Res. Politics 4, 2053168017716547 (2017).
Wood, T. & Porter, E. The elusive backfire effect: mass attitudes’ steadfast factual adherence. Political Behav. 41, 135–163 (2019).
Nyhan, B. Why the backfire effect does not explain the durability of political misperceptions. Proc. Natl. Acad. Sci. USA 118, e1912440117 (2021).
Rode, J. B., Dent, A. L. & Ditto, P. H. Climate change consensus messages may cause reactance in conservatives, but there is no meta-analytic evidence that they backfire. Environ. Commun. 17, 60–66 (2023).
Carey, I. W., Tyson, A. & Spencer, A. Americans Support Incentives for Electric Vehicles But Are Divided Over Buying One Themselves. https://www.pewresearch.org/fact-tank/2022/08/01/americans-support-incentives-for-electric-vehicles-but-are-divided-over-buying-one-themselves/ (2022)
Leppert, R. & Kennedy, B. Home Solar Panel Adoption Continues To Rise In The U.S. https://www.pewresearch.org/fact-tank/2022/10/14/home-solar-panel-adoption-continues-to-rise-in-the-u-s/. (2022).
Tyson, A., Funk, C. & Kennedy, B. Americans Largely Favor U.U. Taking Steps to Become Carbon Neutral by 2050. https://www.pewresearch.org/science/2022/03/01/americans-largely-favor-u-s-taking-steps-to-become-carbon-neutral-by-2050/ (2022).
Wu, V. Y. Partisan energy preferences in the United States: Republicans prioritize price, Democrats also consider renewables. Energy Res. Soc. Sci. 123, 103997 (2025).
Griskevicius, V., Tybur, J. M. & Van den Bergh, B. Going green to be seen: status, reputation, and conspicuous conservation. J. Personal. Soc. Psychol. 98, 392 (2010).
Baum, M. A. & Groeling, T. Shot by the messenger: partisan cues and public opinion regarding national security and war. Political Behav. 31, 157–186 (2009).
Clayton, K. & Willer, R. Endorsements from Republican politicians can increase confidence in U.S. elections. SSRN https://doi.org/10.1177/20531680221148967 (2021).
Gallup and Knight Foundation. Perceived Accuracy And Bias In The News Media. https://knightfoundation.org/reports/perceived-accuracy-and-bias-in-the-news-media/ (2018).
Baker, S. M. & Petty, R. E. Majority and minority influence: source-position imbalance as a determinant of message scrutiny. J. Personal. Soc. Psychol. 67, 5 (1994).
Larsen, B. J. et al. Counter-stereotypical messaging and partisan cues: moving the needle on vaccines in a polarized United States. Sci. Adv. 9, eadg9434 (2023).
Nyhan, B., Porter, E. & Wood, T. J. Time and skeptical opinion content erode the effects of science coverage on climate beliefs and attitudes. Proc. Natl Acad. Sci. USA 119, e2122069119 (2022).
Corneille, O. & Gawronski, B. Self-reports are better measurement instruments than implicit measures. Nat. Rev. Psychol. 3, 835−846 (2024).
Kaiser, C. & Oswald, A. J. The scientific value of numerical measures of human feelings. Proc. Natl Acad. Sci. USA 119, e2210412119 (2022).
Kane, J. V. More than meets the ITT: a guide for investigating null results. J. Exp. Political Sci. 12, 110−125 (2023).
Bloniarz, A., Liu, H., Zhang, C.-H., Sekhon, J. S. & Yu, B. Lasso adjustments of treatment effect estimates in randomized experiments. Proc. Natl Acad. Sci. 113, 7383–7390 (2016).
Clifford, S., Sheagley, G. & Piston, S. Increasing precision without altering treatment effects: repeated measures designs in survey experiments. Am. Political Sci. Rev. 115, 1048–1065 (2021).
Broockman, D. E., Kalla, J. L. & Sekhon, J. S. The design of field experiments with survey outcomes: a framework for selecting more efficient, robust, and ethical designs. Political Anal. 25, 435–464 (2017).
Wu, V. Motivating Planned Climate Mitigation Behaviors Despite Partisan Polarization in Climate Beliefs (Harvard Dataverse, 2023).
Acknowledgements
I thank Brendan Nyhan, John Carey, Robert Cooper, and Talbot Andrews for providing helpful comments and advice. I am also grateful for the feedback from participants at the 2023 American Political Science Association (APSA) Conference, the 2023 APSA Political Psychology Pre-Conference, the 2023 and 2024 Midwest Political Science Association (MPSA) Conferences, the 2023 Western Political Science Association (WPSA) Conference, the 2023 Conference of the American Psychological Association’s Society for Environmental, Population and Conservation Psychology, the 2024 Society for Personality and Social Psychology (SPSP) Sustainability Preconference, and the 2024 APSA Virtual Research Meeting.
Author information
Authors and Affiliations
Contributions
V.Y.W. conceived the research, conducted the literature reviews, wrote the preregistered analysis plans, designed and fielded the experiments, collected and analyzed the data, created the tables and figures, and wrote the manuscript.
Corresponding author
Ethics declarations
Competing interests
The author declares no competing interests.
Peer review
Peer review information
Nature Communications thanks Christopher Warshaw, and the other, anonymous, reviewer(s) for their contribution to the peer review of this work. A peer review file is available.
Additional information
Publisher’s note Springer Nature remains neutral with regard to jurisdictional claims in published maps and institutional affiliations.
Supplementary information
Rights and permissions
Open Access This article is licensed under a Creative Commons Attribution-NonCommercial-NoDerivatives 4.0 International License, which permits any non-commercial use, sharing, distribution and reproduction in any medium or format, as long as you give appropriate credit to the original author(s) and the source, provide a link to the Creative Commons licence, and indicate if you modified the licensed material. You do not have permission under this licence to share adapted material derived from this article or parts of it. The images or other third party material in this article are included in the article’s Creative Commons licence, unless indicated otherwise in a credit line to the material. If material is not included in the article’s Creative Commons licence and your intended use is not permitted by statutory regulation or exceeds the permitted use, you will need to obtain permission directly from the copyright holder. To view a copy of this licence, visit http://creativecommons.org/licenses/by-nc-nd/4.0/.
About this article
Cite this article
Wu, V.Y. Messages from co-partisan elected officials can increase climate mitigation intentions without changing climate beliefs. Nat Commun 16, 9675 (2025). https://doi.org/10.1038/s41467-025-64678-3
Received:
Accepted:
Published:
Version of record:
DOI: https://doi.org/10.1038/s41467-025-64678-3






