Abstract
Magnetic random-access memory (MRAM) provides a promising candidate for the next-generation memory technology with high-energy efficiency and fast operation speed. Spin splitting band structure in nonrelativistic collinear antiferromagnet with de-coupled crystal and spin symmetry provides a unique way for the flexible and efficient control of the polarization and flow directions of the spin current. Here, by integrating the potential altermagnetic (101)-RuO2 writing channel with the magnetic tunnel junction (MTJ) device, we demonstrate the all-electrical field-free altermagnetic spin splitting torque (SST)-driven switching of the perpendicular-MTJ in the 3-terminal altermagnetic SST-MRAM device, with the tilted spin polarization and the transversal flow of the spin current. The z-spin torque is further characterized by the altermagnetic SST-induced shift of the magnetic hysteresis loop, and the field-free altermagnetic SST-driven magnetic domain switching of the recording layer is directly observed by the magneto-optic Kerr effect (MOKE) microscope. Our research establishes groundwork for advancing the development of the altermagnetic SST-MRAM, paving the way for the future all-electrical, energy-efficient and high-endurance MRAM applications with separated writing/reading channels.
Similar content being viewed by others
Introduction
Non-volatile magnetic memory technology provides a promising candidate for the next-generation memory devices beyond Moore’s law, with high-endurance, low-power, fast-speed and logic-in-computing performances. In the current magnetic random-access memory (MRAM) architecture1,2, the magnetic tunnel junction (MTJ) serves as the memory cell, with the relative orientation of parallel and antiparallel representing the “0” and “1”, where the reading of the information based on the low/high resistance states originates from the tunneling magnetoresistance (TMR)3,4. The writing of the MRAM has undergone a revolution from the magnetic field (Toggle-MRAM) to electrical current-induced magnetization switching by spin transfer torque (STT-MRAM) towards lower power consumption and higher storage density, where the spin-polarized current is employed to exert the spin torque on the recording layer and switches the magnetization beyond the critical switching current density5,6,7,8.
One of the major challenges for STT-MRAM is that a high writing current density needs to pass through an ultrathin-tunnel barrier (~1 nm), and thus the endurance of the MTJ is limited5,6. Three-terminal spin-orbit torque-driven MRAM (SOT-MRAM) has a better endurance due to the separation of the writing and reading channels, where the spin torque is injected from an additional layer with strong spin-orbit coupling (SOC)7,8,9,10. Another advantage for SOT-MRAM is that abundant emergent SOC materials can be integrated with MTJ besides conventional heavy metals such as topological insulators11,12,13,14,15,16,17,18, 2-dimensional materials19,20, Rashba interfaces21,22,23, antiferromagnets24, and so on25,26,27,28. However, the spin polarization of SOT is typically fixed (mostly in-plane) by the symmetry breaking, and thus the high-density SOT-MRAM based on pMTJ with perpendicular magnetic anisotropy (PMA) needs an additional magnetic field or symmetry design to assist the SOT switching.
Recently, the nonrelativistic spin-splitting band structures in nonrelativistic collinear antiferromagnetism with zero net magnetization have been proposed and experimentally observed by the angle-resolved photoemission spectroscopy29,30, with the distinctive alternation of spin polarizations in both the real-space crystal structure and the momentum-space band structure, giving rise to the term altermagnetism. Moreover, the spin-torque measurement31,32,33,34 demonstrated the Néel vector-dependent and crystal direction-dependent spin splitting torque (SST) in the altermagnet/ferromagnet heterostructures, inspiring a unique altermagnetic spin splitting torque-driven-MRAM (SST-MRAM), with flexible control of the two degrees of freedom of spin current: the spin polarization direction aligns along the Néel vector direction (N), and the spin current flow direction depends on the deviation in orientation between the electrical current and crystal axis. Therefore, the memory device-level altermagnetic SST-MRAM is urgently realized, with adjustable spin polarization and transversal spin current flow, aiming to realize the all-electrical field-free operation of MRAM with separate read/write channels, high endurance and flexible manipulation.
In this work, the altermagnetic (101)-RuO2 is employed to provide the transversal spin current with a tilted spin polarization along the Néel vector and exerts the SST on the adjacent perpendicular magnetization, under the electrical current applied along the [010] crystal direction. The out-of-plane component of SST is quantified by the current-induced hysteresis loop shift method, with an amplitude of 1.02 × 10–6 Oe A–1cm2. Under this unique spin current, the field-free SST switching is achieved in the Hall device with a structure of RuO2/Mo/CoFeB/MgO/Ta. Nevertheless, the z-spin vanishes with the electrical current along the [\(\bar{1}\)01] direction required by the symmetry, and no spin current is caused by SST for this case. Based on these, by integrating the 250 nm-size MTJ as the memory cell with the (101)-RuO2 writing channel, the SST-MRAM device is fabricated with a 54% TMR ratio, and the field-free all-electrical SST-driven switching of the MTJ is realized with the current density of 2.1 × 106 A cm–2, where the field-free SST-driven magnetic domain switching of the recording layer of MTJ is further confirmed by the magneto-optic Kerr effect (MOKE) microscope. This work demonstrates the field-free altermagnetic SST-driven MRAM devices, aiming for the future SST-MRAM with flexible spin polarization and spin current directions.
Results
Structural properties of the RuO2 layer
Ruthenium dioxide (RuO2), a rutile structure with the space group P42/mnm, is a prominent room-temperature metallic collinear antiferromagnet, as shown in Fig. 1a. The collinear exchange coupling between magnetic (Ru) atoms located in the anisotropic crystalline environments of nonmagnetic (O) atoms35,36, along with an anisotropic band spin splitting of the nonrelativistic electronic structure. The resulting spin-current generation exhibits odd behavior under time-reversal symmetry \({{\mathcal{T}}}\), with the spin polarization aligned to the N, driven by a spin-splitting band structure37,38,39,40,41. When the electric field (E) is along the ϕ = 45° axis, i.e., the polar axis of the anisotropic spin-splitting band structure, only the longitudinal spin-polarized current is generated in Fig. 1b. However, when the E is away from the ϕ = 45° axis (−45° < ϕ < 45°), due to the anisotropic spin-splitting band structure/conductivity42,43,44, the spin-up (j↑) and spin-down (j↓) currents are not collinear with the E direction and tilt to the opposite directions, as a result, the transverse spin current (j↓-j↑) generates. For ϕ = 0°, the transverse spin current reaches its maximum since j↑ and j↓ flowing along opposite directions have maximum magnitudes as shown in Fig.1c. When the E is applied along the [010] direction [yellow arrow, left in Fig. 1a], it indeed generates a Js along the [100] direction. Notably, for the (101)-RuO2 film we used in this work, the actual film plane rotates an angle compared to the lattice in Fig. 1a (represented by the orange plane), regarding the (101) crystal surface, the Js along [100] can be decomposed into components: one perpendicular (\({J}_{{\mbox{s}}}^{\perp }\), purple arrows) and one parallel (\({J}_{{\mbox{s}}}^{\parallel }\), azure arrow) to the (101) plane. The perpendicular component (\({J}_{{\mbox{s}}}^{\perp }\)) aligns with the [101] direction, with its magnitude being approximately Jssinθ. Consequently, the spin-split Fermi surface shown in Fig. 1b, c still corresponds to the excited spin current in the out-of-plane direction for (101)-RuO2. As a result, in the (101)-oriented RuO2-pMTJ film, when a charge current is applied along the [010] axis, it generates a transverse \({{\mathcal{T}}}\)-odd spin current flowing in the out-of-plane [101] direction, as depicted in Fig. 1d. Recent experiments have validated the presence of spin-splitting band structures in altermagnets MnTe229 and MnTe30, corroborating the theoretical predictions36,38,40. Additionally, related studies31,32,33,34,45 provide evidence for the anisotropic spin splitting effect (ASSE)-induced SST in the collinear antiferromagnet RuO2.
a The crystal structure of RuO2 with spin orientations indicated (green and blue arrows) with (001)-RuO2 plane and the coordinate system defined by the a[100], b[010] and c[001] axes (red arrows) (Left). The purple spheres represent the Ru atoms. The (101) crystal plane highlighted in orange, with its coordinates by the x[10\(\bar{1}\)], y[010] and z[101] axis (black arrows) (Right). The applied E is along the axis with b[010]. Right: The front view from the crystal structure with (001)-RuO2 (Left). θ is the angle of the N to the z[101] axis. When E (yellow arrow) is away from the axis with ϕ = 45° in (b) the charge current (Jc, purple arrow) is along kx (or ky) axis and leads to the flow of transverse spin-polarized current (Js, red arrow) induced by SST in (c). ϕ is the angle of the electric field relative to the kx axis. d Real space for (101)-oriented RuO2-pMTJ transversal spin current flowing along the out-of-plane induced by the charge current along the [010] axis. e x-ray diffraction 2θ/ω scan for 12 nm RuO2 film. Inset: rocking curve of (101)-RuO2. f High-resolution HAADF image of the cross-section of Al2O3//RuO2 thin film. g Schematic of XMLD measurement geometry. XAS spectra with ϕ = 0° and 90° of Ru4+ M3 and M2 edges in (h) Al2O3(1\(\bar{1}\)02)//RuO2(101). i The XMLD intensity of Ru4+ M3 for (101)-, (110)- and (001)-RuO2 samples at room temperature.
Firstly, high-quality (101)-oriented RuO2 thin films are grown on the Al2O3(1\(\bar{1}\)02) substrates by the magneton sputtering under the 350 °C substrate temperature. The x-ray diffraction (XRD) pattern of a 12-nm-thick RuO2 single layer shows a strong (101) RuO2 peak with clear Laue oscillations, as shown in Fig. 1e, and the corresponding rocking curve of the (101) RuO2 peak displays a small full-width at-half-maximum (FWHM) of approximately 0.037°, indicating the high-crystalline quality and (101)-orientation of the RuO2 films (Supplementary Note 1). As depicted in Fig. 1f, the high-resolution scanning transmission electron microscopy (HR-STEM) of Al2O3(1\(\bar{1}\)02)//RuO2(101) is conducted and shows the epitaxial growth and atomic structure of the RuO2 along the [010] direction with a lattice constant of 4.51 Å, revealing the high crystal quality of the RuO2(101) film through the high-resolution high-angle annular dark field (HADDF) image. Then, we utilized the element-specific x-ray magnetic linear dichroism (XMLD) effect, which arises from the difference in the absorption of linear polarized x-ray with polarization parallel to and perpendicular to the Néel order of the antiferromagnet (AFM), to determine the spin orientation of RuO2 films46. The XMLD measurements were performed in total electron yield mode at Beamline BL08U at Shanghai Synchrotron Radiation Facility. To determine the Néel vector of RuO2, X-ray absorption spectra (XAS) measurements were performed for different crystal orientations of RuO2 films. The 12 nm-thick RuO2 film was deposited onto single crystalline substrates of MgO(001), Al2O3(1\(\bar{1}\)02) and TiO2(001) (Supplementary Note 1). The XAS were measured at normal incidence of the x-rays and the polarization orientation (ϕ = 0° and 90°) at zero field, as shown in Fig. 1g, where ϕ is defined as the angle between the \(\vec{E}\) vector of the incoming X-ray beam and the x-axis of the substrate. Then, the XAS spectra extracted with (110)- and (101)-RuO2 at the Ru4+ M3 and M2 edges are shown in Fig. 1h. It can be observed that the presented XMLD data are consistent with the presence of altermagnetic order in the RuO₂ film. Moreover, the XMLD effect is evident in both RuO2(110) and RuO2(101) films, with effect ratios of 1.68% and 2.2%, respectively. The effect ratio is calculated using the following formula: Ratios (%) = \(\frac{{I}_{{{\boldsymbol{\phi }}}=0^\circ }-{I}_{{{\boldsymbol{\phi }}}=90^\circ }}{{I}_{{{\boldsymbol{\phi }}}=0^\circ+{I}_{{{\boldsymbol{\phi }}}=90^\circ }}}\)×100%. Then, we extracted the XMLD intensity (plotted on the same y-axis scale without any additional processing as in Fig. 1h,) between ϕ = 0° and 90°, as summarized in Fig. 1i. The (110)- and (101)-RuO2 films exhibit significant XMLD signals, while XAS signals are detectable for all orientations including (110), (101), and (001)-RuO2 films (Supplementary Note 1). However, the XMLD intensity is absent in the (001)-RuO2 films. These observations suggest that the antiferromagnetic easy axis of RuO2 films is parallel to the <001> crystal axis. Furthermore, to investigate and manipulate the Néel vector (N) in RuO2, magnetic field annealing was employed to align the N with the direction of the annealing field (HFA). The field-induced reorientation of the N was successful and directly reflected in the XMLD response; more details see Supplementary Note 1. The XMLD results thus provide the direct evidence of the antiferromagnetic order in RuO2 thin films, which is in agreement with the recent studies47.
The emergence of the z-component spin polarization from altermagnetic RuO2
Next, the heterostructure of RuO2(12)/Mo(2)/CoFeB(0.85)/MgO(1.2)/Ta(2) (thickness in nanometers) is prepared and fabricated into a pillar device with a diameter of 8 μm (Fig. 2a), to investigate the SST and the SST-induced field-free switching of the perpendicular magnet that can work as the recording layer of the pMTJ. And the sample firstly exhibits strong PMA based on the anomalous Hall effect (AHE) measurement. The Hk is quantified from the saturation field of the Rxy-Hx curve to be 2.5 kOe, as shown in Fig. 2b. Then, the hysteresis loop of the Rxy versus the out-of-plane magnetic field (Hz) is measured in the presence of a pulse current (Ipusle) along φc = 0°. It is observed that the Rxy-Hz loops almost overlap under ±18 mA (Supplementary Note 2). However, an obvious loop shift occurs when the pulse current of ±21 mA is applied, as shown in the inset of Fig. 2c, and the centers of the Rxy-Hz loops shift to positive/negative fields for positive/negative pulse currents, respectively. Such a shift indicates the presence of a current-induced out-of-plane effective field \({H}_{{\mbox{z}}}^{{\mbox{eff}}}\) by SST. Figure 2c shows the Ipusle dependence of Δ\({H}_{{\mbox{z}}}^{{\mbox{eff}}}\). Beyond the threshold current with overcoming the magnetic damping of the system48,49,50, the \({H}_{{\mbox{z}}}^{{\mbox{eff}}}\) increasing, as indicated by error bars and exhibits almost linear behavior above the threshold current. We estimate the out-of-plane SST efficiency (Δ\({H}_{{\mbox{z}}}^{{\mbox{eff}}}\)/J, where J is the applied in-plane current density) by performing a linear fit to the effective field versus current amplitude data, specifically in the region beyond the threshold current. When applying a positive pulse current, the slope (Δ\({H}_{{\mbox{z}}}^{{\mbox{eff}}}\)/J) is 1.0 × 10–6 Oe A–1 cm2, and for a negative pulse current, the slope (Δ\({H}_{{\mbox{z}}}^{{\mbox{eff}}}\)/J) is −1.04 × 10–6 Oe A–1 cm2. By averaging the absolute values of both slopes, a value of 1.02 × 10–6 Oe A–1 cm2 is obtained for the out-of-plane SST efficiency. Furthermore, to investigate the presence of a threshold current, we conducted simulations without considering thermal effects. The results reveal that the loop shift ΔH exhibits an abrupt increase with rising current density (see Supporting Information). This sharp increase, observed once the current exceeds a certain threshold, aligns with previous studies49,51,52,53. And this indicates the emergence of an out-of-plane damping-like torque (τ⊥) originating from the z-component of the spin polarization generated by the altermagnetic RuO2.
a Schematic illustration of RuO2/Mo/CoFeB/MgO/Ta multilayer. The z-polarized spin current generated via the SST is injected into the CoFeB layer. And φc is the angle between the applied current and the crystal direction [010] for RuO2(101). b Anomalous Hall effect (AHE) loop for the sample with the out-of-plane magnetic field (black square) and extracted Hk from the Rxy versus an external in-plane magnetic field (blue square). c Summarizing the shift (\({H}_{{\mbox{z}}}^{{\mbox{eff}}}\)) at different Ipulse along φc = 0°. The threshold Ipulse to cause a shift in the AHE curve is about 18 mA. +Ipulse (blue line) results in the AHE curve to the +x while -Ipulse (yellow line) leads to the opposite shift. Inset: the AHE loops under pulse current +21 mA and −21 mA for φc = 0°. The error bars represent the standard deviations derived from measurements on three devices. d The switching curve under different external magnetic fields from negative to positive for φc = 0°. e Current-induced magnetic switching without magnetic field for φc = 0° (red line) and for φc = 90° (black line). f MOKE images recorded for stats (i)–(iii) in (e).
The z-component of the spin polarization from RuO2 makes it possible to achieve field-free switching of the perpendicular magnetization. Figure 2d shows the measured Rxy-Ipusle loops under various in-plane magnetic fields Hx along [\(\bar{1}\)01] direction, where a wiring current Ipusle is applied along φc = 0° to provide the SST firstly followed by a 0.5 mA reading current to detect the magnetization by AHE at 10 s later. Upon reversing the Hx, the polarity of the current-induced switching loop also reverses, which is consistent with the y-component of the spin polarization-driven magnetization switching, originating from the SST and the conventional SOT contributions. Most importantly, a full switching loop is achieved even in the absence of Hx, revealing the z-component of the SST besides the conventional y-torque. The critical switching current density Jc of SST is determined to be 12.15 × 106 A cm–2, enabling the energy-efficient writing method by exploiting the z-component of the altermagnetic SST that breaks the inversion symmetry (Supplementary Note 3, 4). In contrast, no magnetization switching occurs when the Ipusle is applied along φc = 90° [\(\bar{1}\)01] without Hx (Supplementary Note 5), where the SST is absent in this case, as shown in Fig. 2e. Furthermore, the Rxy-Ipusle loops were measured for several devices on the same sample under different Hx along the [\(\bar{1}\)01] direction, confirming the consistent behavior and robustness of the devices (Supplementary Note 6). The z and y components of spin torque indicate the altermagnetic spin splitting induced transversal spin current with the spin polarization along the Néel vector (titled in y-z plane) from (101)-RuO2.
Then, the current-driven magnetic domain switching process is directly detected by the polar-MOKE microscopy, and the bright and dark contrasts in the Kerr images correspond to the opposite +Mz and –Mz magnetic domains. The Kerr images corresponding to the magnetic states marked in Fig. 2e are present in Fig. 2f, and the magnetic domain is switched between +Mz and –Mz under +Ipulse and –Ipulse without an external magnetic field, respectively, further confirming the altermagnetic SST-induced field-free switching of Mz upon applying the pulsed current along φc = 0°. The standard harmonic measurements54,55 are carried out to determine the SST efficiency of 0.824 × 10–6 Oe A–1 cm2, and the charge-spin conversion efficiency is 0.052 (Supplementary Note 7). In addition, the behavior of RuO2 thin films at low dimensions can be influenced by lattice strains, interfacial effects, and defect concentrations (Ru or O vacancies)46,56,57,58,59,60, which may result in the antiferromagnetic orders that differ from those of bulk single crystals60,61,62. Then, magnetic field annealing was performed to align the tilted N along the annealing field (HFA) to exclude the influence of the RuO2 and Mo interface (Supplementary Note 8). To further isolate the effect of Mo on magnetization switching, we prepared the reference sample Sub./Mo(2)/CoFeB(0.85)/MgO(1.2)/Ta(2) (thickness in nanometers) and observed that without the RuO2 layer, deterministic switching fails to occur at Hx = 0 Oe in the Mo/CoFeB sample (Supplementary Note 9). We then estimated the Joule heating during current-induced magnetization switching. The results show that, even at the maximum Ipulse applied in the RuO2/Mo/CoFeB multilayer, the RuO2 thin films preserve a stable antiferromagnetic configuration (Supplementary Note 10). For continued investigation, the details and the stack of RuO2(12)/Pt(1.2)/Co(0.7)/Pt(1.2)/SiO2(3) (number in nanometers) are designed to verify the z-torque spin current generated by RuO2(101) film (Supplementary Note 11). MOKE imaging was performed on RuO2(12)/Pt(1.2)/Co(0.7)/Pt(1.2)/SiO2(3) in the absence of a magnetic field to uncover magnetization switching under pulsed current (Supplementary Note 12). The dependence of ΔHz on Ipulse and harmonic measurements was carried out to reveal the z-component of the spin polarization and the effective charge-spin conversion induced by the altermagnetic (101)-RuO2 (Supplementary Note 13).
RuO2-based SST-MRAM design and characterization
By using the Mo/CoFeB/MgO as the recording layer and the synthetic antiferromagnetically-coupled structure as the reference layer, the full RuO2-pMTJ stack of RuO2(12)/Mo(2)/Co20Fe60B20(0.85)/MgO(1.8)/Co20Fe60B20(1.1)/Ta(0.5)/Co(0.3)/Pt(1.3)/Co(0.4)/Pt(0.6)/Co(0.4)/Ru(0.85)/[Co(0.4)/Pt(0.6)]4/Ru(5) (thickness in nanometer) is prepared. The RuO2-pMTJ stack includes a Mo layer to decouple the exchange interaction between the RuO2 and CoFeB. Mo is selected due to its minimal intermixing with Fe and Co63 and high thermal tolerance, and its smaller SOC compared to heavy metals64, so the contribution of spin current from RuO2 dominates. A 250 °C annealing process is carried out on the RuO2-pMTJ devices in a vacuum to enhance the PMA. The RuO2-pMTJ stack is then patterned into 3-terminal SST-MRAM devices by using a combination of electron-beam and photolithography, along with Ar ion milling. As shown in Fig. 3a, the MRAM cell with the cross-sectional scanning transmission electron microscopy (STEM) image shows the well-defined interface between RuO2 and MTJ in Fig. 3c, as well as the sharp interface between the CoFeB ferromagnetic electrodes and the MgO barrier. The pMTJ is located at the intersection between the bottom RuO2 electrode and the top Ti/Au electrodes, marked by a white-dotted circle with a diameter of 250 nm as illustrated in Fig. 3b. The writing current is applied along the channel between T1 and T2, and the TMR of MTJ is read by applying a small dc current between the T1–T3 channel. The microscopic (top view) and cross-sectional TEM (side view) images of the patterned SST-MRAM device clearly show the RuO2 writing channel (T1-T2), MTJ device, and the reading channels (T1-T3). Additionally, HAADF image and energy-dispersive X-ray mappings of RuO2-pMTJ further demonstrate the clear and sharp interfaces, indicating high interfacial spin transparency, as shown in Fig. 3d, e. Then, the polarized neutron reflectivity (PNR) for the whole stack is measured to analyze the layer-resolved atomic and magnetization distribution along the thickness direction. As shown in Fig. 3f, g the theoretical curves are consistent with the experimental results, capturing all the major features. The best fit to the data includes a magnetization of 526 kA m–1 for CoFeB layer and 1332 kA m–1 for Co layer in the 19 kOe measurement. The PNR analysis provides detailed insights into the structure and quality of the RuO2-pMTJ sample.
a Cross-section scanning transmission electron microscopy (STEM) image shows the layer-by-layer structure of the RuO2-pMTJ device in c, highlighting the distinct RuO2 and MTJ interface and the well-defined interface between CoFeB and the MgO barrier. b Microscopic picture of the pattern SST-MRAM device, with the RuO2 layer acting as the bottom electrode, and the MTJ device has a diameter of 250 nm. The scale bar is 10 μm. T1 and T2 channels are the bottom electrodes to switch the recording layer by SST, TMR is employed as the reading method by applying a small dc current of 20 μA between the T1–T3 channel. c Scanning electron micrograph of the three-terminal device featuring injection electrodes for SST switching. d, e HAADF and elemental mapping using energy-dispersive x-ray spectroscopy (EDX) of the RuO2-pMTJ stack. f The fitting nuclear (blue) and magnetic (red) scattering length density (SLD) profiles used to generate the fits in g. g PNR normalized for the spin-polarized R++ and R-- channels at 19 kOe. Inset: the related SA curve.
All-electrical field-free switching of SST-MRAM
Figure 4a shows the schematic of the SST-driven switching measurement for the RuO2-pMTJ device. A 1-ms writing current J is applied in the RuO2 writing channel between T1 and T2, followed by a reading current (2 μA) applied along the T1 and T3 to detect the switching of MTJ by TMR. The normalized magnetic hysteresis (M/Ms-Hz) loop of the RuO2-pMTJ stack with the magnetic field applied along the out-of-plane direction (Hz) in Fig. 4b shows the individual magnetic switching process for the whole stack, where the light blue/dark blue, yellow, and purple arrows represent the magnetic moment direction of the two AFM-coupled Co/Pt multilayers, the top CoFeB reference layer, and the bottom CoFeB recording layer, respectively. The magnetic field-driven tunneling resistance R/TMR-Hz curves for the RuO2-pMTJ device in Fig. 4c clearly show the high- and low-resistance states for antiparallel and parallel magnetic configurations, with a TMR ratio of 54%, indicating the high quality of MTJ.
a Schematics of the MTJ unit cell in MRAM. b Magnetic properties (M/Ms-Hz curves) in RuO2-pMTJ stack, where the blue, yellow, and purple arrows represent the magnetization of the Co/Pt multilayer, the top reference and bottom recording CoFeB layers, respectively. c Tunneling resistance (R) and TMR ratio as a function of the magnetic field (Hz), with the 54% TMR ratio indicating the high quality of MTJ. d Current-driven SST switching in the RuO2-pMTJ device under different magnetic fields. e Resistance vs. applied magnetic field curves measured under 20 μA current. f Evolution of the probability of switching P as a function of the P to AP (AP to P) state obtained from the result shown in e.
Then, the all-electrical SST-driven switching is performed in the RuO2-pMTJ device: 500 μs writing Ipusle is applied in the RuO2 writing channel between the T1 and T2 to induce the SST for switching the CoFeB recording layer, followed by a small reading current of 2 μA passing through the MTJ between T1 and T3 to detect the tunneling resistance R of the MTJ device after 10 s. Figure 4d illustrates the MTJ resistance as a function of the writing current in the RuO2 layer (R-Ipusle) at room temperature. The most significant feature is the remarkable tunneling resistance switching of pMTJ induced by altermagnetic SST at zero external field, with the critical switching current density Jc is 2.1 × 106 A cm–2, enabling the all-electrical field-free writing method by exploiting the z-component of the altermagnetic SST that breaks the inversion symmetry for +Mz and –Mz. The opposite switching polarity for R-Ipusle loops under Hx = ± 40 Oe shows the standard switching behavior induced by the y-component spin polarization originating from ASSE and conventional SOC. Here, the MTJ device exhibits a lower switching current density Jc compared to the single magnetic layer film. This difference may result from current shunting in the multilayer MTJ stack, variations in the magnetic properties of the CoFeB layer caused by differences in device structure and fabrication processes, and distinct device geometries that influence current distribution, edge effects, and thermal behavior. Indeed, the partial switching observed in our experiments is a known phenomenon in such systems, often attributed to thermal effects leading to partial demagnetization. Several studies have reported similar observations65. In our case, the local heating effects might have contributed to the partial demagnetization of magnetic domains. We believe that this technical/engineering point can be further optimized in future work, particularly by refining parameters such as anisotropy, device dimensions, pulse width, and others.
To obtain the thermal stability factor Δ of the nanoscale RuO2-pMTJ devices, we measured the switching probability P(τ) as a function of the magnetic field amplitude and evaluated Δ using the following relationship based on the Stoner–Wohlfarth model66, as shown below
Where τ is the pulse duration time (1 s) of external magnetic field Hz, τ0 is the inverse of attempt frequency (typically around 1 ns). Hk is the effective magnetic anisotropy field, and Hs is the shift field of the resistance-field curves; H is the external magnetic field amplitude. The minor normalized ΔTMR/TMR-Hz loops of the nanoscale RuO2-pMTJ were measured 60 times in Fig. 4e, to determine the switching probability P. In these measurements, reversible switching occurs solely in the CoFeB recording layer, and the shift of the loop center is mainly due to the stray field generated by the partially compensated magnetization of the pinning layer65. Figure 4f shows the experimentally obtained results represented by squares, while the solid line represents a fit calculated from Eq. (1), illustrating the relationship between P and Hz. A thermal stability factor of Δ = 64 was obtained for the nanoscale RuO2-pMTJ, satisfying the requirement (Δ = 60) for a 10-year retention time in MRAM.
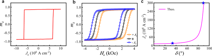
For a thorough understanding of the all-electrical field-free switching in the 3-terminal RuO2-pMTJ device, we perform the micromagnetic simulations based on Landau-Lifshitz-Gibert equation, including SST term (the details see Supplementary Note 14). Considering the effective field \({{{\boldsymbol{H}}}}_{eff}\) and spin polarization direction\({{\boldsymbol{\sigma }}}=(0,\,\sin \delta,\,\cos \delta )\), with δ being the angle between the σ and the z-axis. As shown in Fig. 5a, the field-free magnetization switching occurs with Je = 6.8 × 106 A cm–2 for δ ≈ 35°, corresponding to an ideal crystal structure and the electrical current applied along the [010] direction in (101)-RuO2, with both z- and y-polarized spin components (Supplementary Note 14). Additionally, Fig. 5b illustrates the relationship between the magnetization switching loops of mz-Hz and Je, showing a notable positive or negative shift when applying a current density of ± 6 × 106 A cm–², which is consistent with the experimental results in Fig. 2c. Figure 5c also shows the critical current density Jc under different angles δ. It can be observed that Jc scales down with increasing the z-component of the spin polarization, and δ ≈ 35° with tiled N in our experiment has a relatively lower Jc and a better energy-efficiency.
a The loop of the current density Je vs the z-component of magnetization mz. b The hysteresis loops under different current densities Je. c Dependence of the angle δ on the critical current density Jc.
In this work, by utilizing the unique altermagnetic spin-splitting band structure from (101)-RuO2, the transversal spin current with a tilted spin polarization along the Néel vector is employed to provide an altermagnetic SST, and thus to generate the z-component spin torque on the adjacent magnetic moment with PMA. Based on these, the field-free SST-driven switching is achieved in both the Hall devices and the pMTJ devices, where the z-component effective field of altermagnetic SST is characterized by the current-induced shift of the Rxy-Hz hysteresis loop. Our work demonstrates the altermagnetic SST-driven magnetic memory, with great potential for next-generation MRAM technology with flexible control of the spin polarization and spin current flow directions.
Methods
Sample growth and device fabrication
The film stacks consist of:
-
i)
Al2O3(1\(\bar{1}\)02)//RuO2(12)/Mo(2)/Co20Fe60B20(0.85)/MgO(1.8)/Ta(2)
-
ii)
Al2O3(1\(\bar{1}\)02)//RuO2(12)/Pt(1.2)/Co(0.7)/Pt(1.2)/SiO2(3)
-
iii)
Al2O3(1\(\bar{1}\)02)//RuO2(12)/Mo(2)/Co20Fe60B20(0.85)/MgO(1.8)/Co20Fe60B20(1.1)/Ta(0.5)/Co(0.3)/Pt(1.3)/Co(0.4)/Pt(0.6)/Co(0.4)/Ru(0.85)/[Co(0.4)/Pt(0.6)]4/Ru(5) (thickness in nanometers)
All these stacks are grown on the Al2O3(1\(\bar{1}\)02) substrates by magneton sputtering in a system with a base pressure of 3 × 10−8 Torr. During the deposition, the Ar atmosphere was maintained with a pressure of 2.5 mTorr. The RuO2 layer was deposited by radio frequency sputtering. Then, (i) the stack of Mo(2)/Co20Fe60B20(0.85)/MgO(1.8)/Ta(2) and (iii) the p-MTJ stack of Mo(2)/Co20Fe60B20(0.85)/MgO(1.8)/Co20Fe60B20(1.1)/Ta(0.5)/Co(0.3)/Pt(1.3)/Co(0.4)/Pt(0.6)/Co(0.4)/Ru(0.85)/[Co(0.4)/Pt(0.6)]4/Ru(5) were deposited on RuO2 by using a Singulus ROTARIS magnetron sputtering system at room temperature with a base pressure of 1 × 10–6 Pa. For (ii) stack, the Pt and Co layers were deposited by dc sputtering, and the sputtering power was 25 W and 50 W, respectively, and a 3-nm-thick SiO2 capping layer was deposited as protection. Then, the Hall bar device was fabricated by standard photolithography combined with an argon ion etching technique.
The 3-terminal SST-MRAM devices were fabricated by using two electron-beam lithography (EBL), one photolithography and two Ar ion milling steps. First, an electron beam lithography (JEOL JBX-6300 FS) with a ma-N 2403 negative-tone resist was performed to pattern the RuO2 underlayer. After etching all the layers and removing the photoresist, MTJ pillars with circular shapes and diameters of 250 nm were fabricated using second electron beam lithography with a ma-N 2403 negative-tone resist. The film was etched down to the RuO2 layer, followed by sputtering a 32 nm-thick SiO2 film to electrically isolate the top and bottom contacts of the tunnel junctions. Finally, a photolithography step was carried out using AZ5214 positive-tone photoresist to pattern the electrodes, which were then formed by sputtering 10 nm of Ti and 80 nm of Au. The fully patterned RuO2-MTJ devices were finally annealed in a vacuum at 250 °C for 0.5 h with an 8 kOe perpendicular magnetic field.
Structural characterizations
High-resolution XRD scans were conducted using a Panalytical MRD X’Pert 3 diffractometer with Cu Kα radiation. X-ray reflectivity (XRR) measurements were also performed to verify the layer thickness, interface and surface roughness, as well as the densities of the thin films.
Transport measurements
The anomalous Hall resistance and current-induced magnetization switching were measured using a room-temperature multipurpose transport measurement system. A Keithley 2182 A nanovoltmeter and a Keithley 6221 current source were utilized for DC and pulse measurements, respectively. For the harmonic Hall voltage measurement, a low-frequency alternating current (133.33 Hz) from Keithley 6221 was passed into the device, and the first and second harmonic Hall voltages were measured using two SR830 lock-in amplifiers.
The SST switching in the 3-terminal RuO2-pMTJ device was characterized using a probe station system equipped with an electromagnet. A Keithley 2612 current source was used to apply the pulse current, while the voltage across the MTJ was measured using a Keithley 2182 A voltmeter. The magnetic properties of the RuO2-pMTJ stack were measured using a vibrating sample magnetometer system. All measurements were conducted at room temperature.
PNR measurement
The PNR was carried out at the Multipurpose Reflectometer beamline of the Chinese Spallation Neutron Source. The RuO2-pMTJ film with size is 10 × 10 mm2. Neutron reflectivity curves were measured as a function of the momentum transfer Q = 4πsinθ/λ, where λ is the neutron wavelength and θ is the incident angle between the neutron beam and the film plane. To cover a broad range of momentum transfer, reflected neutrons were collected at various incident angles. Measurements recorded both R++ and R-- for neutrons with spins parallel and antiparallel to the applied field, corresponding to spin-up and spin-down neutrons, respectively. The PNR data were fitted to a model that included layer thickness and chemical roughness, using parameters obtained from XRR fitting with the GenX software.
Micromagnetic simulation
The micromagnetic simulations were conducted using the GPU-accelerated software Mumax3 at a temperature of 300 K. The magnetization dynamics were determined by solving the Landau–Lifshitz–Gilbert equation, which included additional terms for SST, as described in reference67:
where m is the reduced magnetization, \({{{\boldsymbol{H}}}}_{eff}={H}_{k}{m}_{z}\widehat{z}\) is the effective field, Hk is the effective anisotropy field, γ is the gyromagnetic ratio, α is the Gilbert damping factor, \({{\boldsymbol{\sigma }}}=(0,\,\sin \delta,\,\cos \delta )\) is the spin polarization direction from the SST, δ is the angle between the σ and the z-axis, ξST is the ratio of field-like torque to damping-like torque of the SST, respectively. In our model, α = 0.01568, ξST = 0.1, Ms = 1994 kA/m measured by the SQUID, and Hk = 0.18 T.
Data availability
The data that support the findings of this study are available from the corresponding authors upon reasonable request.
References
Apalkov, D., Dieny, B. & Slaughter, J. M. Magnetoresistive Random Access Memory. Proc. IEEE 104, 1796–1830 (2016).
Bhatti, S. et al. Spintronics-based random access memory: a review. Mate. Today 20, 530–548 (2017).
Julliere, M. Tunneling between ferromagnetic films. Phys. Lett. A 54, 225 (1975).
Moodera, J. S. et al. Large magnetoresistance at room temperature in ferromagnetic thin film tunnel junctions. Phys. Rev. Lett. 74, 3273–3276 (1995).
Slonczewski, J. C. Current-driven excitation of magnetic multilayers. J. Magn. Magn. Mater. 159, L1–L7 (1996).
Ralph, D. C. & Stiles, M. D. Spin transfer torques. J. Magn. Magn. Mater. 320, 1190–1216 (2008).
Miron, I. M. et al. Perpendicular switching of a single ferromagnetic layer induced by in-plane current injection. Nature 476, 189–193 (2011).
Liu, L. Q. et al. Spin-torque switching with the giant spin Hall effect of tantalum. Science 336, 555–558 (2012).
Yu, G. Q. et al. Switching of perpendicular magnetization by spin-orbit torques in the absence of external magnetic fields. Nat. Nanotechnol. 9, 548–554 (2014).
Manchon, A. et al. Current-induced spin-orbit torques in ferromagnetic and antiferromagnetic systems. Rev. Mod. Phys. 91, 035004 (2019).
Fan, Y. et al. Electric-field control of spin-orbit torque in a magnetically doped topological insulator. Nat. Nanotechnol. 11, 352 (2016).
Wang, Y. et al. Magnetization switching by magnon-mediated spin torque through an antiferromagnetic insulator. Science 366, 1125–1128 (2019).
Han, J. et al. Room-temperature spin-orbit torque switching induced by a topological insulator. Phys. Rev. Lett. 119, 077702 (2017).
Dc, M. et al. Room-temperature high spin-orbit torque due to quantum confinement in sputtered BixSe(1-x) films. Nat. Mater. 17, 800–807 (2018).
Khang, N. H. D., Ueda, Y. & Hai, P. N. A conductive topological insulator with a large spin Hall effect for ultralow power spin-orbit torque switching. Nat. Mater. 17, 808–813 (2018).
Wu, H. et al. Magnetic memory driven by topological insulators. Nat. Commun. 12, 6251 (2021).
Wu, H. et al. Room-temperature spin-orbit torque from topological surface states. Phys. Rev. Lett. 123, 207205 (2019).
Cui, B. et al. Low-power and field-free perpendicular magnetic memory driven by topological insulators. Adv. Mater. 35, e2302350 (2023).
MacNeill, D. et al. Control of spin–orbit torques through crystal symmetry in WTe2/ferromagnet bilayers. Nat. Phys. 13, 300 (2016).
Ostwal, V., Shen, T. & Appenzeller, J. Efficient spin-orbit torque switching of the semiconducting van der Waals ferromagnet Cr2Ge2Te6. Adv. Mater. 32, e1906021 (2020).
Manchon, A. et al. New perspectives for Rashba spin-orbit coupling. Nat. Mater. 14, 871–882 (2015).
Koo, H. C. et al. Rashba effect in functional spintronic devices. Adv. Mater. 32, e2002117 (2020).
Qiu, X. et al. Characterization and manipulation of spin-orbit torque in magnetic heterostructures. Adv. Mater. 30, 1705699 (2018).
Nan, T. et al. Controlling spin current polarization through non-collinear antiferromagnetism. Nat. Commun. 11, 4671 (2020).
Baek, S. -hC. et al. Complementary logic operation based on electric-field controlled spin–orbit torques. Nat. Electron. 1, 398–403 (2018).
Kim, D.-H. et al. Bulk Dzyaloshinskii–Moriya interaction in amorphous ferrimagnetic alloys. Nat. Mater. 18, 685 (2019).
Wu, H. et al. Chiral symmetry breaking for deterministic switching of perpendicular magnetization by spin-orbit torque. Nano Lett. 21, 515–521 (2020).
Zhang, Q. Q. et al. Perpendicular magnetization switching driven by spin-orbit torque for artificial synapses in epitaxial Pt-based multilayers. Adv. Electron. Mater. 8, 2200845 (2022).
Zhu, Y. P. et al. Observation of plaid-like spin splitting in a noncoplanar antiferromagnet. Nature 626, 523–528 (2024).
Krempasky, J. et al. Altermagnetic lifting of Kramers' spin degeneracy. Nature 626, 517–522 (2024).
Bose, A. et al. Tilted spin current generated by the collinear antiferromagnet ruthenium dioxide. Nat. Electron. 5, 267–274 (2022).
Bai, H. et al. Observation of spin splitting torque in a collinear antiferromagnet, RuO2. Phys. Rev. Lett. 128, 197202 (2022).
Karube, S. et al. Observation of spin-splitter torque in collinear antiferromagnetic RuO2. Phys. Rev. Lett. 129, 137201 (2022).
Guo, Y. et al. Direct and inverse spin splitting effects in altermagnetic RuO2. Adv. Sci. 11, 2400967 (2024).
Ahn, K.-H. et al. Antiferromagnetism in RuO2 as d-wave Pomeranchuk instability. Phys. Rev. B 99, 184432 (2019).
Šmejkal, L. et al. Crystal time-reversal symmetry breaking and spontaneous Hall effect in collinear antiferromagnets. Sci. Adv. 6, eaaz8809 (2020).
Zhu, Z. H. et al. Anomalous antiferromagnetism in metallic RuO2 determined by resonant X-ray scattering. Phys. Rev. Lett. 122, 017202 (2019).
Šmejkal, L., Sinova, J. & Jungwirth, T. Beyond conventional ferromagnetism and antiferromagnetism: a phase with nonrelativistic spin and crystal rotation symmetry. Phys. Rev. X 12, 031042 (2022).
Šmejkal, L. et al. Giant and tunneling magnetoresistance in unconventional collinear antiferromagnets with nonrelativistic spin-momentum coupling. Phys. Rev. X 12, 011028 (2022).
Gonzalez-Hernandez, R. et al. Efficient electrical spin splitter based on nonrelativistic collinear antiferromagnetism. Phys. Rev. Lett. 126, 127701 (2021).
Fedchenko, O. et al. Observation of time-reversal symmetry breaking in the band structure of altermagnetic RuO2. Sci. Adv. 10, eadj4883 (2024).
Ma, H.-Y. et al. Multifunctional antiferromagnetic materials with giant piezomagnetism and noncollinear spin current. Nat. Commun. 12, 2846 (2021).
Cui, Q. et al. Efficient spin Seebeck and spin Nernst effects of magnons in altermagnets. Phys. Rev. B 108, L180401 (2023).
Cui, Q. et al. Giant spin-Hall and tunneling magnetoresistance effects based on a two-dimensional nonrelativistic antiferromagnetic metal. Phys. Rev. B 108, 024410 (2023).
Bai, H. et al. Efficient spin-to-charge conversion via the altermagnetic spin splitting effect in antiferromagnet RuO2. Phys. Rev. Lett. 130, 216701 (2023).
He, C. et al. Evidence for single variant in altermagnetic RuO2(101) thin films. Nat. Commun. 16, 8235 (2025).
Zhang, Y.-C. et al. Probing the Néel Order in Altermagnetic RuO2 Films via X-Ray Magnetic Linear Dichroism. Chinese Phys. Lett. 42, 027301 (2025).
Li, Z., Zhang, S. Magnetization dynamics with a spin-transfer torque. Phys. Rev. B 68, 024404 (2003).
Baek, S. C. et al. Spin currents and spin-orbit torques in ferromagnetic trilayers. Nat. Mater. 17, 509–513 (2018).
Lee, K. J. et al. Spin transfer effect in spin-valve pillars for current-perpendicular-to-plane magnetoresistive heads (invited). J. Appl. Phys. 95, 7423 (2004).
Cao, C. et al. Anomalous spin current anisotropy in a noncollinear antiferromagnet. Nat. Commun. 14, 5873 (2023).
Hu, S. et al. Efficient perpendicular magnetization switching by a magnetic spin Hall effect in a noncollinear antiferromagnet. Nat. Commun. 13, 4447 (2022).
Liu, L. et al. Symmetry-dependent field-free switching of perpendicular magnetization. Nat. Nanotechnol. 16, 227 (2021).
Zheng, Z. C. et al. Magnetization switching driven by current-induced torque from weakly spin-orbit coupled Zr. Phys. Rev. Res. 2, 013127 (2020).
Ueda, K. et al. Effect of rare earth metal on the spin-orbit torque in magnetic heterostructures. Appl. Phys. Lett. 108, 232405 (2016).
Gregory, B. Z. et al. Strain-induced orbital-energy shift in antiferromagnetic RuO2 revealed by resonant elastic x-ray scattering. Phys. Rev. B 106, 195135 (2022).
Smolyanyuk, A. et al. Fragility of the magnetic order in the prototypical altermagnet RuO2. Phys. Rev. B 109, 134424 (2024).
Ko, D.-S. et al. Understanding the structural, electrical, and optical properties of monolayer h-phase RuO2 nanosheets: a combined experimental and computational study. NPG Asia Mater. 10, 266–276 (2018).
Uchida, M. et al. Superconductivity in uniquely strained RuO2 films. Phys. Rev. Lett. 125, 147001 (2020).
Keßler, P. et al. Absence of magnetic order in RuO2: insights from μSR spectroscopy and neutron diffraction. npj Spintronics 2, 1 (2024).
Liu, J. et al. Absence of altermagnetic spin splitting character in Rutile Oxide RuO2. Phys. Rev. Lett. 133, 176401 (2024).
Hiraishi, M. et al. Nonmagnetic ground state in RuO2 revealed by Muon Spin Rotation. Phys. Rev. Lett. 132, 166702 (2024).
Cheng, H. et al. Giant perpendicular magnetic anisotropy in Mo-based double-interface free layer structure for advanced magnetic tunnel junctions. Adv. Electron. Mater. 6, 2000271 (2020).
Rotenberg, E. li & Kevan, J. W. C. S. D. Spin-orbit coupling induced surface band splitting in Li/W(110) and Li/Mo(110). Phys. Rev. Lett. 82, 4066 (1999).
Wang, M. et al. Field-free switching of a perpendicular magnetic tunnel junction through the interplay of spin–orbit and spin-transfer torques. Nat. Electron. 1, 582–588 (2018).
Sato, H. et al. CoFeB thickness dependence of thermal stability factor in CoFeB/MgO perpendicular magnetic tunnel junctions. IEEE Magn. Lett. 3, 3000204 (2012).
Wang, M. et al. Current-induced magnetization switching in atom-thick tungsten engineered perpendicular magnetic tunnel junctions with large tunnel magnetoresistance. Nat.Commun. 9, 671 (2018).
Diez, L. H. et al. Enhancement of the Dzyaloshinskii-Moriya interaction and domain wall velocity through interface intermixing in Ta/CoFeB/MgO. Phys. Rev. B 99, 054431 (2019).
Acknowledgements
This work was supported by the National Key Research and Development Program of China (Grant No. 2022YFA1402801), the National Natural Science Foundation of China (NSFC, Grant Nos.12504122, 52271239, 12304149 and 52311530674), the Guangdong Basic and Applied Basic Research Foundation (Grant Nos. 2024A1515110156, 2022A1515110648, 2023A1515010953, and 2023A1515110880), Guangdong Provincial Quantum Science Strategic Initiative (GDZX2302003 and GDZX2301002). The work carried out at King Abdullah University of Science and Technology (KAUST) is supported by the KAUST Office of Sponsored Research (OSR) under Award Nos. ORA-CRG10-2021-4665 and ORA-CRG11-2022-5031. We thank the beam line BL08U at Shanghai Synchrotron Radiation Facility for providing experimental conditions and support.
Author information
Authors and Affiliations
Contributions
H.W., A.C., and X.Z. conceived and supervised the project. Y.G., A.C., T.A., J.Z., and M.T. grew materials. Y.G., A.C., D.Z., and T.A. fabricated devices. Y.G., A.C., X.Z., Y.F., Z.W., and Z.Z. performed magnetic and electrical transport measurements. Y.G., T.A., and J.Z. performed the XMLD measurement. X.D. and T.Z. performed the PNR measurement. C.W. and W.S. performed the MOKE microscope measurement. Q.C. and Y.Ga discussed the experiment results. Z.Z. and P.Y. performed the macro-spin simulations. S.W., X.H., J.Zh., K.W., and G.Y. contributed to the analysis of the results. All authors contributed to discussions. Y.G. and H.W. wrote the manuscript with the input from all authors.
Corresponding authors
Ethics declarations
Competing interests
The authors declare no competing interests.
Peer review
Peer review information
Nature Communications thanks Francesco Maccherozzi and the other anonymous reviewer(s) for their contribution to the peer review of this work. A peer review file is available.
Additional information
Publisher’s note Springer Nature remains neutral with regard to jurisdictional claims in published maps and institutional affiliations.
Supplementary information
Rights and permissions
Open Access This article is licensed under a Creative Commons Attribution-NonCommercial-NoDerivatives 4.0 International License, which permits any non-commercial use, sharing, distribution and reproduction in any medium or format, as long as you give appropriate credit to the original author(s) and the source, provide a link to the Creative Commons licence, and indicate if you modified the licensed material. You do not have permission under this licence to share adapted material derived from this article or parts of it. The images or other third party material in this article are included in the article’s Creative Commons licence, unless indicated otherwise in a credit line to the material. If material is not included in the article’s Creative Commons licence and your intended use is not permitted by statutory regulation or exceeds the permitted use, you will need to obtain permission directly from the copyright holder. To view a copy of this licence, visit http://creativecommons.org/licenses/by-nc-nd/4.0/.
About this article
Cite this article
Guo, Y., Chen, A., Zeng, Z. et al. Magnetic memory driven by spin splitting torque in nonrelativistic collinear antiferromagnet. Nat Commun 17, 1309 (2026). https://doi.org/10.1038/s41467-025-68065-w
Received:
Accepted:
Published:
Version of record:
DOI: https://doi.org/10.1038/s41467-025-68065-w







