Abstract
The hole-electron resonance in two-dimensional WTe2 dynamically screens the built-in electric field, disrupting the scattering equilibrium constraints of conventional electron transport. Here, we propose utilizing the hole-electron resonance to achieve Coulomb force-unconstrained spin angular momentum transfer across the WTe2/Fe3GaTe2 interface, offering a novel platform for exploring unconventional spin transport phenomena. A clear signature of this mechanism is the observation of an unusual anisotropic magnetoresistance of 289%, which far exceeds conventional spin Hall magnetoresistance and cannot be explained by standard spin absorption or scattering models. Its angular profile deviates from the simple cosine-squared form but realigns after accounting for magnetization and field orientation, reflecting the interplay between hole-electron resonance and magnetization dynamics. Furthermore, chiral transverse transport with distinct symmetry transitions emerges within the hole-active temperature regime, originating from interfacial symmetry breaking and the inhomogeneous spin-orbital coupling. These findings highlight the essential roles of both electrons and holes in spin transport.
Similar content being viewed by others
Introduction
Spin transport phenomena, such as spin pumping1,2, spin injection3,4,5,6, spin Hall effect7,8,9,10,11, and spin-orbit torque12,13,14,15,16, constitute the fundamental basis for spintronics research and applications. While current studies in these areas predominantly focus on electron carriers, the role of hole-electron interactions has received comparatively less attention despite its fundamental importance.
Recent advancements in two-dimensional (2D) van der Waals (vdW) materials have provided rich opportunities for exploring transport phenomena. In particular, 2D WTe2 has emerged as a prototypical system for realizing hole-electron resonance17, where both electron and hole bands coexist at the Fermi level, as illustrated in Fig. 1a, b. Under the influence of a magnetic field or spin-orbit coupling (SOC), electron and hole displacements effectively neutralize the total charge, suppressing the formation of an internal electric field, as depicted in Fig. 1c. This charge compensation mechanism, combined with enhanced carrier scattering, leads to a remarkably large and unsaturated magnetoresistance (MR)17,18,19,20,21,22. This phenomenon was experimentally observed17 and confirmed to arise from the nearly perfect hole-electron compensation in WTe222. Subsequent studies have extensively explored the electrical transport properties of WTe2, including its band structure characteristics19, anisotropic MR20,23,24, planar Hall effect25,26, and nonlinear Hall effects27,28,29. Importantly, while these phenomena produce large MR, they are largely independent of magnetic moments, limiting their direct applicability in spintronic devices.
a Crystal structure and b band structure of WTe2 obtained through first-principles calculations (see Supplementary Information for details). c Carrier dynamics in a NM material and an FM/NM heterostructure under an external magnetic field B. c Electron-dominant systems: In the NM layer, B-induced electron deflection generates interfacial charge accumulation and a counteractive field (E), suppressing further scattering. At the FM/NM interface, E drives spin-exchange saturation. Hole-electron resonance-dominant systems: In the NM layer, synchronized deflection of electrons and holes under B achieves dynamic charge neutrality, effectively nullifying the built-in electric field, which enables persistent carrier scattering without Coulombic screening. At the FM/NM interface, the absence of net charge accumulation allows unrestricted spin-angular-momentum transfer between carriers and the FM layer, yielding a net spin current (JS) transport across the FM/NM interface.
Incorporating a hole-electron resonance system into a heterojunction with a ferromagnetic (FM) material introduces carrier accumulation and interfacial scattering, fundamentally altering spin transport dynamics. In this context, charge compensation suppresses the internal electric field, facilitating Coulomb force-unconstrained spin angular momentum transfer at the interface, as illustrated in Fig. 1c. WTe2/FM interface thus serves as an ideal platform to explore these unconventional spin transport processes. In magnetic heterostructures, interfacial effects such as spin absorption/reflection and interfacial electric fields give rise to magnetoresistance phenomena. These include spin Hall magnetoresistance (SMR)30,31,32 and unusual anisotropic magnetoresistance (UAMR). The concept of UAMR is defined by the two-vector MR theory33,34,35,36. It closely resembles classical AMR but includes the effect of an interfacial electric field that reflects interfacial interactions. In WTe2-based magnetic heterostructures within the hole-electron resonance regime, the interplay between hole-electron resonance and interfacial magnetization can further modulate the magnetoresistance, offering a strategy to harness the large MR of WTe2 for non-volatile spintronic applications.
Here, we investigate how hole-electron resonance interacts with the FM interface in an all-vdW WTe2/Fe3GaTe2 heterostructure. Our findings demonstrate a large UAMR in the plane perpendicular to the charge current, which directly correlates with both the magnetization and hole-electron resonance. Furthermore, within the temperature regime dominated by hole-electron resonance, a chiral transverse transport response is observed. These results highlight the crucial role of both electron and hole carriers in governing spin transport, providing valuable insights for the design of spintronic memory devices based on hole-electron resonance materials.
Results
Hole-electron resonance and UAMR
The vdW heterostructure WTe2/Fe3GaTe2 is prepared via mechanical exfoliation. Fe3GaTe2 is a 2D vdW FM material with a bulk Curie temperature of ~350 K37,38,39 (see Supplementary Information S1). According to atomic force microscopy (AFM), the thicknesses of WTe2 and Fe3GaTe2 are determined to be 9 nm and 26 nm, respectively (see Supplementary Information S2). The schematic of the electrical transport measurements is shown in Fig. 2a. A DC current of 10 μA is applied along the a-axis of WTe2, corresponding to a current density of ~2.38 × 103 A/cm2, where Joule heating effects are negligible40 (Fig. S3). A 9T magnetic field is then rotated in the yz-plane (H⊥I) to minimize H–I angle effects and highlight magnetization-induced contributions. To better analyze the sources of the magnetoresistances, we also fabricated WTe2 devices and Fe3GaTe2 devices for comparison with the WTe2/Fe3GaTe2 heterostructure. Details of the sample structures are listed in the Supplementary Information S2.
a The schematic of the electrical transport measurements. b Magnetoresistance of WTe2 and WTe2/Fe3GaTe2 measured at 5 K. Inset is the optical micrograph of WTe2/Fe3GaTe2 device. UAMR of the c WTe2/Fe3GaTe2 d WTe2 and e Fe3GaTe2 obtained in the yz-plane and H = 9T. Solid lines denote the experimental data, while dashed lines represent fits to a cos2β dependence.
The temperature dependence of the WTe2/Fe3GaTe2 heterostructure resistance is depicted in Fig. S4 in Supplementary Information. By analyzing the temperature-dependent resistivities, ρW and ρF, of WTe2 and Fe3GaTe2 devices under H = 9T, we determine the current distribution ratio IF/IW between Fe3GaTe2 and WTe2 layers within the heterostructure. The IF/IW ratio exhibits a minimum of ~12 at around 60 K. Below this temperature, IF/IW increases with decreasing temperature, approaching 14 at 5 K, suggesting that the majority of the current flows through the Fe3GaTe2 layer.
Figure 2b presents the nonsaturating MR in both WTe2 and WTe2/Fe3GaTe2 heterostructure at 5 K. Nonsaturating MR can originate from several mechanisms, including charge-carrier compensation, open-orbit transport, or other effects related to Fermi surface topology41,42,43. Among these, charge-carrier compensation, in which nearly equal volumes of electron and hole pockets lead to a continuous increase of resistance with magnetic field, has been identified as the dominant mechanism in systems such as WTe217, LaSb44, ReO345, and GdBi46. In the WTe2, the hole-electron compensation is confirmed by two-band model fitting18 (Supplementary Information S5). Upon the integration of Fe3GaTe2, the field-induced growth of MR becomes less pronounced at high magnetic fields. Nevertheless, a substantial nonsaturating MR persists up to 9 T, suggesting that the hole-electron resonance remains active, albeit potentially modified by the magnetic interface. To elucidate this interplay, we examined the angular dependence of the longitudinal resistance, as shown in Fig. 2c. Given that UAMR provides a mathematical framework encompassing all possible angular dependencies of magnetoresistance, we adopt the term UAMR to describe the angular-dependent magnetoresistance (ADMR) measured in our experiments. Below 80 K, Rxx varies strongly with the angle β between the magnetic field and the z-axis in the yz-plane, producing a pronounced UAMR. Its amplitude is defined as \(\frac{{{R}_{{xx},\perp }-R}_{{xx},//}}{{R}_{{xx},//}}\times 1\)00 %, where \({R}_{{xx},//}\) and \({R}_{{xx},\perp }\) denote the longitudinal resistance with the magnetic field applied in the ab-plane and along the c-axis, respectively. This UAMR is also observed in isolated WTe2 and Fe3GaTe2, as shown in Fig. 2d, e, respectively. The former is attributed to the hole-electron resonance in WTe2, while the latter is likely related to interfacial fields in 2D layered systems 33,34,35,36.
By comparing these three devices, it is evident that the UAMR in the WTe2/Fe3GaTe2 device distinctly differs from that in the WTe2 and Fe3GaTe2 devices. Although WTe2 itself exhibits appreciable UAMR below 80 K, it is not directly correlated with the magnetic moments and follows a cos2β angular dependence, as indicated by dashed fitting lines in Fig. 2c, d, e. In contrast, the angular dependence in the WTe2/Fe3GaTe2 device deviates significantly from cos2β, exhibiting a sharp peak near H⊥c, reminiscent of the behavior observed in the Fe3GaTe2 device. This may arise from the strong perpendicular magnetic anisotropy (PMA) competing with the Zeeman energy, leading to a misalignment between the magnetic moment orientation and the magnetic field direction39,47. However, contrary to the WTe2/Fe3GaTe2 device, Fe3GaTe2 device shows a much lower UAMR when the magnetic field is along the c-axis compared to when it is perpendicular. We further compare the WTe2/hBN/Fe3GaTe2 device, as presented in Supplementary Information S6. With the insertion of an hBN spacer, the interfacial coupling between magnetization and charge carriers is effectively suppressed. Under this condition, the observed UAMR recovers a cos2β dependence, characteristic of the bulk response of WTe2. This comparison indicates that the UAMR in the WTe2/Fe3GaTe2 heterostructure incorporates contributions from both WTe2 and Fe3GaTe2 yet cannot be regarded as a simple superposition of the two. While the bulk effects associated with hole–electron resonance and the Fermi surface of WTe2 make an important contribution, the interfacial interplay between magnetizations and both electron and hole carriers in the WTe2/Fe3GaTe2 heterostructure constitutes the decisive factor in shaping the UAMR (Supplementary Information S10). This behavior in the WTe2/Fe3GaTe2 heterostructure has been consistently reproduced across multiple devices (Supplementary Information S11).
Magnetic orientation dependence
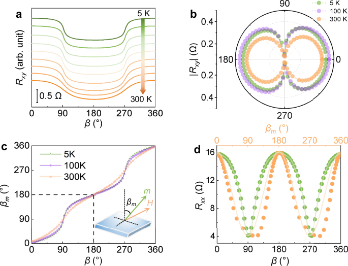
To further clarify the contribution of magnetic moments to the UAMR in the WTe2/Fe3GaTe2 device, we perform a correction on the orientations between the magnetization m and the applied magnetic field H using the Fe3GaTe2 device. This correction is based on the fact that the anomalous Hall effect (AHE) signal of the Fe3GaTe2 device is positively correlated with the z-component of its magnetic moments. Figure 3a shows the transverse magnetoresistance Rxy of the Fe3GaTe2 device as a function of β. The normalized polar plot is shown in Fig. 3b. From these results, it is evident that the magnetic moments prefer to maintain an orientation near the c-axis rather than fully aligning with the applied magnetic field, as illustrated in the inset of Fig. 3c. When H is applied at an angle β, the actual angle βm between the magnetic moments and the z-direction can be expressed as39,47
a The transverse magnetoresistance Rxy of the Fe3GaTe2 device as a function of β and b the corresponding polar plot. c The relationship between βm and β obtained from Fe3GaTe2 device. d Rxx of WTe2/Fe3GaTe2 with the corrected βm at 5 K. Green dots are original data detected at 5 K while orange dots are data variation after βm correction. Green line is fitted using higher-order terms related to m, and orange line is fitted using cos2β.
The resulting relationship between βm and β is shown in Fig. 3c. It is clear that m and H are nearly collinear near the c-axis, while there is a significant deviation when approaching the ab-plane, particularly at low temperatures. We introduced the corrected βm into the WTe2/Fe3GaTe2 device, and the results are shown in Fig. 3d. It is evident that the UAMR of the WTe2/Fe3GaTe2 device now aligns more closely with the cos2β angular dependence. Some deviations from the cos2β dependence remain after the correction is due to the high sensitivity of the PMA of Fe3GaTe2 to thickness, making it challenging to achieve a perfect match between the corrected angles in the parallel device and those in the heterostructure device. This indicates that the magnetization in Fe3GaTe2 plays a crucial role in the UAMR of the WTe2/Fe3GaTe2 device. Additionally, the UAMR of the WTe2/Fe3GaTe2 device at low temperatures can also be fitted using higher-order terms related to m (green curve in Fig. 3d), which is also a characteristic feature of non-collinearity between the magnetization and the magnetic field, as discussed in the Supplementary Information S7.
Relationship between the UAMR and the hole-electron resonance
Next, we examine the relationship between the UAMR and the hole-electron resonance by analyzing its temperature dependence. The UAMR of WTe2/Fe3GaTe2 exhibits similar temperature trend as pristine WTe2, as shown in Fig. 4a. Although the current flowing in Fe3GaTe2 layer is much larger than that in WTe2 layer, the heterostructure device exhibits an exceptionally high UAMR of 288.78%. This large value may include bulk contributions from individual WTe2 and Fe3GaTe2 layers, which can be estimated to be ~31.48% based on a parallel-circuit model. The estimated contributions of this bulk effect in WTe2/Fe3GaTe2 device at different temperatures are shown as the green dashed line in Fig. 4a, which are far smaller than the UAMR observed here. Furthermore, control experiments reveal that the UAMR is significantly reduced when the interface is disrupted or weakened, for instance by inserting an hBN spacer (Supplementary Information S6) or by increasing the thickness of the heterostructure (Supplementary Information S11), indicating the important role of the magnetic interface.
a Temperature dependence of UAMR in WTe2/Fe3GaTe2 heterostructure and WTe2 devices. The inset shows the ratio of electron and hole carrier density (ne/nh) in WTe2, and the black dashed line is guide to the eye. b Temperature dependence of UAMR in Fe3GaTe2 and WTe2/Fe3GaTe2 devices. Solid lines represent fits using a generalized logistic function, while green-dashed line denotes the estimated bulk contributions from individual WTe2 and Fe3GaTe2 layers.
The inset of Fig. 4a shows the ratio of electron to hole carrier densities (ne/nh) in WTe2 (Supplementary Information S5). By correlating this ratio with the temperature evolution of UAMR, we find that higher UAMR values occur in the temperature range where the electron and hole carrier densities are nearly balanced. As the temperature increases, the UAMR gradually decreases. Once the system moves out of the hole-electron compensation regime, it approaches the magnitude of UAMR typically observed in magnetic heterostructures (Table S2 in the Supplementary Information). At higher temperatures, thermal fluctuations increasingly suppress the long-range magnetic order in Fe3GaTe2, leading to the attenuation of interfacial interaction-related magnetoresistance48. Consequently, the UAMR in WTe2/Fe3GaTe2 converges toward that of the Fe3GaTe2 device, as shown in Fig. 4b. The temperature-dependent UAMR in both WTe2/Fe3GaTe2 and pristine WTe2 devices can be well described by an empirical generalized logistic function, UAMR(T) = \({U}_{2}+\frac{{U}_{1}-{U}_{2}}{1+{\left(T/{T}_{0}\right)}^{p}}\), which, while not derived from a microscopic theory, provides an accurate description of the observed temperature dependence (solid lines in Fig. 4a). Here, U1 and U2 represent the low- and high- temperature limits of UAMR, respectively, T0 characterizes the approximate transition temperature, and p determines the sharpness of the temperature dependence. For WTe2/Fe3GaTe2 (WTe2), the extracted parameters are U1 = 288.62 (491.97) %, U2 = −0.62 (0.65) %, T0 = 27.54 (27.35) K, p = 2.68 (2.64). By contrast, Fe3GaTe2 exhibits only a small negative UAMR (not exceeding –1.1%) across its entire magnetically ordered regime, making the logistic description inapplicable.
We further analyze the possible physical sources of the large UAMR in WTe2/Fe3GaTe2. First, we analyze the data within the framework of the SMR model32, with the results shown in Fig. S11. In the hole–electron resonance regime, the conventional SMR framework fails to capture the experimental data, as it leads to an unphysical negative spin-mixing conductance. In contrast, at around 150 K, where electron–hole compensation is lifted while Fe3GaTe2 still maintains long-range magnetic order, the SMR model provides a reasonable fit, giving a spin-mixing conductance on the order of 1014 Ω−1m−2. This value is consistent with typical experimental reports in conventional systems49,50. Second, we perform the ADMR measurements in other planes are presented in the Supplementary Information S13, where Rxx for the yz- and xz-planes is found to be comparable and significantly larger than that for the xy-plane. These angular dependencies can be generally described by the two vector MR theory, which posits that the ADMR is determined by the relationships among vectors including the charge current, magnetization, and the interfacial electric field33,34,35,36. According to the two-vector MR theory, the sum of the expansion coefficients of Rxx for the yz- and xz-planes is comparable and can be much larger than that for the xy-plane, consistent with our experimental observations. In general, these different physical mechanisms may coexist in our system. However, the key point here is that the UAMR formalism itself is a vector-based analytical framework rather than a description of the actual microscopic origin. In our case, the large UAMR mainly arise from the interaction between the charge carriers and the magnetic interface, which may already be implicitly included within the two-vector MR framework and warrants further investigation.
Based on these observations, we propose that the large UAMR in the WTe2/Fe3GaTe2 device is closely associated with the interplay between the magnetic interface and charge carriers under hole–electron balance condition. Specifically, under the hole-electron resonance state, electrons and holes shift and accumulate to one side under the magnetic field due to the Lorentz force. This suppresses the formation of a built-in electric field that balance the transverse migration of carriers. Therefore, the transverse scattering continues to increase, the longitudinal carrier mean free path decreases, ultimately leading to a huge, unsaturated longitudinal resistance. When a magnetic interface is present, the sustained interaction between carriers and the magnetic interface allows the generation of large UAMR. This interaction has often been neglected in prior studies of magneto-electric transport, but our results highlight its critical significance. It is therefore essential to reevaluate the role of hole carriers within the existing theoretical frameworks of spin transport, particularly the SHE and SOT14,15,51,52. We believe this to be a highly significant and urgently needed direction for theoretical development, as it emphasizes the profound influence of hole carriers on spin-related phenomena and challenges the current paradigms of spin transport.
Evolution of transverse magnetoelectric transport
We now direct our attention to the transverse transport characteristics in WTe2/Fe3GaTe2 heterostructure. Figure 5a, b display the transverse magnetoresistance Rxy as a function of the magnetic field angle in the yz-plane at various temperatures. It is important to note that the Rxy signal may contain contributions from the longitudinal resistance Rxx. We attempted to antisymmetrize the data with respect to the magnetic field direction (see Supplementary Information S12 for details). However, in the WTe2/Fe3GaTe2 bilayer, the even component of Rxy does not correspond to the even part of the measured Rxx, and the odd component of Rxx fails to reproduce the odd part of Rxy. This discrepancy indicates that the even contribution in Rxy cannot be attributed solely to longitudinal mixing, but instead reflects intrinsic interfacial effects. Accordingly, we retained the raw data without performing antisymmetrization. At 5 K, with the magnetic field H aligned along the c-axis, Rxy encompasses contributions from both the AHE in the Fe3GaTe2 layer and the ordinary Hall effect in the WTe2 layer, as shown in Fig.5c. Analysis using the two-band model (Supplementary Information S5) indicates that electron and hole carriers remain comparable at low temperatures, highlighting the critical role of hole carriers in this regime18,21,22. Figure 5d shows the Rxy-H loop obtained in the ab-plane. The enhanced coercivity for the in-plane field arises from the complex magnetization switching in Fe3GaTe2, resulting from the interplay of strong PMA, thermal fluctuations, and domain dynamics47,53,54. Previous studies have reported in-plane topological Hall effect (THE)-like signals in Fe3GaTe2 and Fe3GeTe255,56,57, which bear some resemblance to the hump-like anomaly around ~3 T observed in Fig. 5d. However, given that the heterostructure may host multiple non-topological contributions, such as the planer Hall effect in Fe3GaTe2, and the multiband transport in WTe2, the presence of a true THE in this system remains to be established.
The transverse magnetoresistance Rxy of WTe2/Fe3GaTe2 at a 5–80 K and b 90–350 K. The Rxy versus H loop at 5 K with c H//c and d H⊥c. e The polar plot of |Rxy| obtained after removing the contribution of the longitudinal resistance at different temperatures.
To reveal the intrinsic symmetry of Rxy, we isolate the target signal in the WTe2/Fe3GaTe2 device using a linear least-squares method, which removes the spurious contribution from Rxx while preserving the potential even-symmetric component in Rxy (see Supplementary Information S12 for details). The resulting Rxy is plotted in polar coordinates after taking its absolute value, as shown in Fig. 5e and Fig. S22. With increasing temperature, the angular dependence of Rxy undergoes three characteristic transformations: (a) In the low-temperature regime below 80 K, corresponding to the hole-electron resonance region of WTe2, Rxy exhibits a complex angular dependence that deviates from the conventional symmetric trigonometric relationships. It breaks the mirror symmetry with respect to the ab-plane, revealing the chiral nature of the transverse current, which is distinct from that observed in conventional electron-dominant magnetic heterostructures or in isolated Fe3GaTe2 and WTe2 (see Fig. 3 and Fig. S16). (b) In the intermediate temperature regime around 150 K, referred to as the competition region, additional extrema in Rxy emerge near angles ~20° away from the y-axis, in contrast to conventional systems where Rxy extrema typically occur at 0° and 180°, indicating a significant change in the spatial symmetry of transverse transport. (c) In high-temperature regime near 300 K, known as the electron-dominant regime, Rxy resembles that observed in Fig. 3 for Fe3GaTe2, dominated by the conventional AHE with a cosβ relationship. The detailed evolution of the Rxy symmetry is presented in Fig. S22.
In order to gain deeper insights into the interfacial coupling between hole-electron resonance and magnetic moments, we performed first-principles calculations to map the SOC distribution in WTe258,59,60,61. The calculated band structure with projecting different orbitals for the W and Te atoms in reciprocal space are shown in Fig. 6a, b, respectively. These results reveal that the SOC in WTe2 primarily arises from the hybridization between the d-orbital of W and the p-orbital of Te. Notably, near the Fermi level, the SOC associated with W d-orbitals exhibits pronounced anisotropy in momentum space, giving rise to a spatially inhomogeneous SOC landscape. This anisotropic SOC distribution can modulate the interfacial interactions with adjacent FM layers, influencing spin-dependent scattering and the coupling between hole-electron resonance and magnetic moments. Such modulation provides a plausible mechanism for the observed chiral transverse transport.
a The SOC distribution of W atoms and b Te atoms in WTe2. Purple, red, and green points correspond to s-, p-, and d-orbitals, respectively, with the size and the color intensity of the data points indicating the relative SOC strength. c Crystal structure and symmetry of the WTe2/Fe3GaTe2 interface. The upper panel shows a top view along the c-axis, while the lower panel presents the cross-sectional view.
Considering the decisive role of crystal symmetry in determining the band structure and thereby the spin transport, we performed a symmetry-based quantitative analysis. The constructed WTe2/Fe3GaTe2 interface structure is shown in Fig. 6c. Beyond the intrinsic symmetry breaking of WTe2, the Fe3GaTe2 interface further enhances the spatial asymmetry, placing the system in the point group C3v(No. 156), characterized by a threefold rotational axis and three mirror planes. According to point group analysis, the Hall current along the y direction can be expressed as
where pn and qn (n = 1, 3, 5) are coefficients determined by the crystal structure and intrinsic properties of the materials. In addition to the conventional cosβ term, higher-order harmonics and sine terms are symmetry-allowed. The sine terms are even functions with respect to the ab plane, while the cosine terms are odd. Their coexistence yields \({j}_{H}^{y}\left(m\right)\ne -{j}_{H}^{y}\left(-m\right)\), indicating that the Hall current intrinsically reflects the broken ab-plane symmetry62. The first-order terms are mainly associated with the dipole moment (net magnetization), whereas the higher-order terms primarily originate from multipole moments contributing to the Hall current63,64. Details are provided in Supplementary Information S14. Around 150 K, fitting results reveal that higher-order coefficients increase significantly relative to the first-order terms. This enhancement is likely driven by temperature-dependent variations in carrier concentration. In this regime, the electron carrier density rises rapidly while the hole fraction decreases sharply (see inset of Fig. 4a), accompanied by evolving phonon and magnon scattering. These changes alter the Berry curvature, thereby enhancing the multipole effect and accounting for the pronounced contribution to the Hall resistance 63.
In conclusion, we have demonstrated a significant UAMR (~289 %) and the chiral transverse transport properties in an all-vdW heterostructure WTe2/Fe3GaTe2, enabled by the interplay of hole-electron resonance and FM interface. The UAMR observed in the WTe2/Fe3GaTe2 heterostructure is notably influenced by the magnetization orientation of the Fe3GaTe2 layer. Despite the current mainly passing through Fe3GaTe2, the UAMR shows a WTe2-like temperature dependence, highlighting the crucial carrier-magnetization interaction enhanced at the hole-electron resonance. Furthermore, when hole and electron carriers are nearly balanced, chiral transverse transport is clearly observed. In the intermediate regime, where electrons gradually dominate but hole carriers remain active, higher-order symmetry components of the Hall resistivity emerge. Theoretical analyses indicate that these unconventional transport responses originate from interfacial symmetry breaking, which permits chiral Hall currents and higher-order symmetry terms. The broken symmetry also induces an inhomogeneous SOC distribution, further modulating the symmetry of the magnetoresistance. These findings underscore the potential limitations of previous magnetic-electric transport models that have primarily considered electron carriers, suggesting the urgency of expanding theoretical frameworks that incorporate hole carriers in spintronics.
Methods
Single crystals growth
Single crystals of Fe3GaTe2 are grown by the standard high-temperature self-flux technique. A mixture of iron (Fe, 99.98%), gallium (Ga, 99.99%), and tellurium (Te, 99.99%) powders in a molar ratio of 1:1:2 is placed in an alumina crucible, and another empty alumina crucible is kept on top of it with quartz wool separation. The whole crucible assembly is sealed in an evacuated quartz ampoule after a few purges with Ar. The ampoule is first heated to 1273 K and held at this temperature for 24 h to obtain a homogeneous solution. Subsequently, the temperature is rapidly decreased to 1153 K within 1 h, followed by a slow cooling process to 1053 K in 100 h and remained for 12 h at 1053 K for the annealing of the crystals. The ampoule is then quickly taken out of the furnace and centrifuged to separate the crystals from the fluxes. WTe2 single crystals are prepared by chemical vapor transport method using Br as transport agent. High-purity tungsten (W, 99.999%) and tellurium (Te, 99.999%) powders are precisely weighed in stoichiometric ratio and placed into a quartz ampoule with transport agent Br (3 mg/ml volume). The sealed ampoule was placed in a two-zone furnace with a temperature gradient. The source zone is gradually heated to 1093 K, while the growth zone is maintained at 993 K, held at this temperature for 7–10 days. After the growth process, the furnace is slowly cooled to room temperature.
Device fabrication
First, a six-electrode Hall bar is prepatterned on a SiO2 (285 nm)/Si substrate using electron-beam lithography, with Ti/Au (5/15 nm) electrodes deposited by thermal evaporation. Then, thin flakes of Fe3GaTe2 and WTe2 are mechanically exfoliated from bulk crystals using adhesive tape. The exfoliated flakes are transferred onto polydimethylsiloxane stamps, which are adhered to a glass slide. Finally, under optical microscope, the Fe3GaTe2 flake with appropriate thickness and shape is chosen and transferred onto the electrodes. Using the same method, a WTe2 flake is precisely stacked onto the Fe3GaTe2 to form the WTe2/Fe3GaTe2 heterostructure. To prevent oxidation, the heterostructure is encapsulated with an hBN layer. Both mechanical exfoliation and transfer process are operated inside an argon-filled glovebox maintaining oxygen and water levels below 0.1 ppm. The obtained WTe2/Fe3GaTe2 heterostructure device is baked at 120 °C for 10 min to enhance interfacial contact.
Measurements
The accurate thickness of each flake is determined by an AFM in a tapping mode. Magnetic and electrical transport measurements are performed using a Physical Property Measurement System (PPMS DynaCool, Quantum Design, USA). During the measurements, an excitation current of 10 μA is applied along the x-direction within the ab-plane of WTe2 and Fe3GaTe2. ADMR measurements are performed by rotating a 9 T magnetic field within the yz-plane while simultaneously recording the longitudinal resistance (Rxx) and transverse resistance (Rxy) as functions of the field orientation.
Data availability
All data supporting the findings of this study are available within the article and its Supplementary Information. The corresponding Source data are provided with this paper.
References
Tserkovnyak, Y., Brataas, A. & Bauer, G. E. W. Spin pumping and magnetization dynamics in metallic multilayers. Phys. Rev. B 66, 224403 (2002).
Lee, T. et al. Signatures of longitudinal spin pumping in a magnetic phase transition. Nature 638, 106–111 (2025).
Ohno, Y. et al. Electrical spin injection in a ferromagnetic semiconductor heterostructure. Nature 402, 790–792 (1999).
Kajiwara, Y. et al. Transmission of electrical signals by spin-wave interconversion in a magnetic insulator. Nature 464, 262–266 (2010).
Ando, K. et al. Electrically tunable spin injector free from the impedance mismatch problem. Nat. Mater. 10, 655–659 (2011).
Van't Erve, O. M. J. et al. Low-resistance spin injection into silicon using graphene tunnel barriers. Nat. Nanotechnol. 7, 737–742 (2012).
Hirsch, J. E. Spin Hall effect. Phys. Rev. Lett. 83, 1834–1837 (1999).
Kato, Y. K., Myers, R. C., Gossard, A. C. & Awschalom, D. D. Observation of the spin Hall effect in semiconductors. Science 306, 1910–1913 (2004).
Valenzuela, S. O. & Tinkham, M. Direct electronic measurement of the spin Hall effect. Nature 442, 176–179 (2006).
Jungwirth, T., Wunderlich, J. & Olejník, K. Spin Hall effect devices. Nat. Mater. 11, 382–390 (2012).
Sinova, J., Valenzuela, S. O., Wunderlich, J., Back, C. H. & Jungwirth, T. Spin Hall effects. Rev. Mod. Phys. 87, 1213–1260 (2015).
Mellnik, A. R. et al. Spin-transfer torque generated by a topological insulator. Nature 511, 449–451 (2014).
Yu, G. et al. Switching of perpendicular magnetization by spin–orbit torques in the absence of external magnetic fields. Nat. Nanotechnol. 9, 548–554 (2014).
MacNeill, D. et al. Control of spin–orbit torques through crystal symmetry in WTe2/ferromagnet bilayers. Nat. Phys. 13, 300–305 (2017).
Wang, F. et al. Field-free switching of perpendicular magnetization by two-dimensional PtTe2/WTe2 van der Waals heterostructures with high spin Hall conductivity. Nat. Mater. 23, 768–774 (2024).
Zheng, Z. et al. Effective electrical manipulation of a topological antiferromagnet by orbital torques. Nat. Commun. 15, 745 (2024).
Ali, M. N. et al. Large, non-saturating magnetoresistance in WTe2. Nature 514, 205–208 (2014).
Sondheimer, E. H. & Wilson, A. H. The theory of the magneto-resistance effects in metals. Proc. R. Soc. Lond. A 190, 435–455 (1947).
Pletikosić, I., Ali, M. N., Fedorov, A. V., Cava, R. J. & Valla, T. Electronic structure basis for the extraordinary magnetoresistance in WTe2. Phys. Rev. Lett. 113, 216601 (2014).
Zhao, Y. et al. Anisotropic magnetotransport and exotic longitudinal linear magnetoresistance in WTe2 crystals. Phys. Rev. B 92, 041104 (2015).
Das, P. K. et al. Layer-dependent quantum cooperation of electron and hole states in the anomalous semimetal WTe2. Nat. Commun. 7, 10847 (2016).
Wang, Y. et al. Direct evidence for charge compensation-induced large magnetoresistance in thin WTe2. Nano Lett. 19, 3969–3975 (2019).
Thoutam, L. R. et al. Temperature-dependent three-dimensional anisotropy of the magnetoresistance in WTe2. Phys. Rev. Lett. 115, 046602 (2015).
Tan, C. et al. Spin-momentum locking induced anisotropic magnetoresistance in monolayer WTe2. Nano Lett. 21, 9005–9011 (2021).
Nandy, S., Sharma, G., Taraphder, A. & Tewari, S. Chiral anomaly as the origin of the planar Hall effect in Weyl semimetals. Phys. Rev. Lett. 119, 176804 (2017).
Li, P. et al. Anisotropic planar Hall effect in the type-II topological Weyl semimetal WTe2. Phys. Rev. B 100, 205128 (2019).
Tiwari, A. et al. Giant c-axis nonlinear anomalous Hall effect in Td-MoTe2 and WTe2. Nat. Commun. 12, 2049 (2021).
Ma, Q. et al. Observation of the nonlinear Hall effect under time-reversal-symmetric conditions. Nature 565, 337–342 (2019).
Kang, K., Li, T., Sohn, E., Shan, J. & Mak, K. F. Nonlinear anomalous Hall effect in few-layer WTe2. Nat. Mater. 18, 324–328 (2019).
Jia, Z. et al. Spin transport modulation of 2D Fe3O4 nanosheets driven by Verwey phase transition. Adv. Sci. 11, 2405945 (2024).
Kim, J., Sheng, P., Takahashi, S., Mitani, S. & Hayashi, M. Spin Hall magnetoresistance in metallic bilayers. Phys. Rev. Lett. 116, 097201 (2016).
Chen, Y.-T. et al. Theory of spin Hall magnetoresistance. Phys. Rev. B 87, 144411 (2013).
Wang, X. R. A theory for anisotropic magnetoresistance in materials with two vector order Parameters. Chin. Phys. Lett. 39, 027301–027301 (2022).
Wang, X. R., Wang, C. & Wang, X. S. A theory of unusual anisotropic magnetoresistance in bilayer heterostructures. Sci. Rep. 13, 309 (2023).
Zhu, L., Liu, Q. & Wang, X. Physics origin of universal unusual magnetoresistance. Natl. Sci. Rev. 12, nwaf240 (2025).
Chen, Q. et al. Unusual Van der Waals magnetoresistance in stacked ferromagnetic Fe3GeTe2: the role of atomically sharp interfaces. Adv. Sci. 12, e08244 (2025).
Wang, M. et al. Hard ferromagnetism in van der Waals Fe3GaTe2 nanoflake down to monolayer. npj 2D Mater. Appl. 8, 22 (2024).
Li, W. et al. Room-temperature van der Waals ferromagnet switching by spin-orbit torques. Adv. Mater. 35, 2303688 (2023).
Zhang, G. et al. Above-room-temperature strong intrinsic ferromagnetism in 2D van der Waals Fe3GaTe2 with large perpendicular magnetic anisotropy. Nat. Commun. 13, 5067 (2022).
Shao, Y. et al. The current modulation of anomalous Hall effect in van der Waals Fe3GeTe2/WTe2 heterostructures. Appl. Phys. Lett. 116, 092401 (2020).
Takatsu, H. et al. Extremely large magnetoresistance in the nonmagnetic metal PdCoO2. Phys. Rev. Lett. 111, 056601 (2013).
Feng, J. et al. Large linear magnetoresistance in Dirac semimetal Cd3As2 with Fermi surfaces close to the Dirac points. Phys. Rev. B 92, 081306 (2015).
Zhang, S., Wu, Q., Liu, Y. & Yazyev, O. V. Magnetoresistance from Fermi surface topology. Phys. Rev. B 99, 035142 (2019).
Zeng, L. K. et al. Compensated semimetal LaSb with unsaturated magnetoresistance. Phys. Rev. Lett. 117, 127204 (2016).
Chen, Q. et al. Extremely large magnetoresistance in the ordinary metal ReO3. Phys. Rev. B 104, 115104 (2021).
Dwari, G. et al. Large unsaturated magnetoresistance and electronic structure studies of single-crystal GdBi. Phys. Rev. B 107, 235117 (2023).
Deng, Y. et al. Gate-tunable room-temperature ferromagnetism in two-dimensional Fe3GeTe2. Nature 563, 94–99 (2018).
Uchida, K. -i, Qiu, Z., Kikkawa, T., Iguchi, R. & Saitoh, E. Spin Hall magnetoresistance at high temperatures. Appl. Phys. Lett. 106, 052405 (2015).
Jia, X., Liu, K., Xia, K. & Bauer, G. E. W. Spin transfer torque on magnetic insulators. Europhys. Lett. 96, 17005 (2011).
Zhu, L., Ralph, D. C. & Buhrman, R. A. Effective spin-mixing conductance of heavy-metal-ferromagnet interfaces. Phys. Rev. Lett. 123, 057203 (2019).
Kajale, S. N., Nguyen, T., Hung, N. T., Li, M. & Sarkar, D. Field-free deterministic switching of all–van der Waals spin-orbit torque system above room temperature. Sci. Adv. 10, eadk8669 (2024).
Kao, I. H. et al. Deterministic switching of a perpendicularly polarized magnet using unconventional spin–orbit torques in WTe2. Nat. Mater. 21, 1029–1034 (2022).
Deng, Y. et al. Room-temperature highly efficient nonvolatile magnetization switching by current in van der Waals Fe3GaTe2 devices. Nano Lett. 24, 9302 (2024).
Liu, S. et al. Wafer-scale two-dimensional ferromagnetic Fe3GeTe2 thin films grown by molecular beam epitaxy. npj 2D Mater. Appl. 1, 30 (2017).
You, Y. et al. Angular dependence of the topological Hall effect in the uniaxial van der Waals ferromagnet Fe3GeTe2. Phys. Rev. B 100, 134441 (2019).
Macy, J. et al. Magnetic field-induced non-trivial electronic topology in Fe3−xGeTe2. Appl. Phys. Rev. 8, 041401 (2021).
Algaidi, H. et al. Room-temperature unconventional topological Hall effect in a van der Waals ferromagnet Fe3GaTe2. APL Mater. 13, 011108 (2025).
Zhang, E. et al. Tunable positive to negative magnetoresistance in atomically thin WTe2. Nano Lett. 17, 878–885 (2017).
Perdew, J. P., Burke, K. & Ernzerhof, M. Generalized gradient approximation made simple. Phys. Rev. Lett. 77, 3865–3868 (1996).
Kresse, G. & Furthmüller, J. Efficient iterative schemes for ab initio total-energy calculations using a plane-wave basis set. Phys. Rev. B 54, 11169–11186 (1996).
Kresse, G. & Furthmüller, J. Efficiency of ab-initio total energy calculations for metals and semiconductors using a plane-wave basis set. Comput. Mater. Sci. 6, 15–50 (1996).
Li, L., Sun, J., Wang, L., Wang, X. R. & Xia, K. Angular dependence of the anomalous Hall current. Phys. Rev. B 112, 014403 (2025).
Niu, C., Li, L., Wang, Y., Wang, L., & Xia, K. Giant octupole moment in magnetic multilayers. Phys. Rev. B 113, 045415 (2025).
Liu, Z. et al. Multipolar anisotropy in anomalous Hall effect from spin-group symmetry breaking. Phys. Rev. X 15, 031006 (2025).
Acknowledgements
The authors acknowledge valuable discussions with Yiqing Wang. This work is supported by the National Key Research and Development Program of China (Grant Nos. 2023YFA1406600 and 2022YFA1204000), National Natural Science Foundation of China (Grant Nos. U24A6002, 12274071, 52571263, 52201292 and 12534002), Jiangsu Funding Program for Excellent Postdoctoral Talent (Grant No. 2023ZB491), and the Key Research and Development Program of Tianjin (Grant No. 24YFXTHZ00150).
Author information
Authors and Affiliations
Contributions
Q.C. fabricated the samples and analyzed the experimental data. Q.C., Y.T., and Z.J. conducted structural characterization and co-wrote the manuscript. Y.T., W.J., and H.M. performed magnetic and electrical transport measurements. C.N. and L.W. performed the theoretical calculations. Z.J., Y.J., Y.Z., and K.X. conceived the study. Z.J. and K.X. coordinated the research efforts and supervised the project.
Corresponding authors
Ethics declarations
Competing interests
The authors declare no competing interests.
Peer review
Peer review information
Nature Communications thanks Chandra Shekhar and the other anonymous reviewer(s) for their contribution to the peer review of this work. A peer review file is available.
Additional information
Publisher’s note Springer Nature remains neutral with regard to jurisdictional claims in published maps and institutional affiliations.
Supplementary information
Source data
Rights and permissions
Open Access This article is licensed under a Creative Commons Attribution-NonCommercial-NoDerivatives 4.0 International License, which permits any non-commercial use, sharing, distribution and reproduction in any medium or format, as long as you give appropriate credit to the original author(s) and the source, provide a link to the Creative Commons licence, and indicate if you modified the licensed material. You do not have permission under this licence to share adapted material derived from this article or parts of it. The images or other third party material in this article are included in the article’s Creative Commons licence, unless indicated otherwise in a credit line to the material. If material is not included in the article’s Creative Commons licence and your intended use is not permitted by statutory regulation or exceeds the permitted use, you will need to obtain permission directly from the copyright holder. To view a copy of this licence, visit http://creativecommons.org/licenses/by-nc-nd/4.0/.
About this article
Cite this article
Chen, Q., Tian, Y., Wang, L. et al. Giant unusual anisotropic magnetoresistance enabled by hole-electron resonance in van der Waals heterostructures. Nat Commun 17, 1736 (2026). https://doi.org/10.1038/s41467-026-68438-9
Received:
Accepted:
Published:
Version of record:
DOI: https://doi.org/10.1038/s41467-026-68438-9








