Abstract
Transesterification reactions are fundamental transformations in organic chemistry, yet performing them in aqueous media is challenging because of the competing hydrolysis reaction. In this study, we describe a mutant of alcohol oxidase from Phanerochaete chrysosporium (PcAOx-VPN) that also exhibits transesterification activity. Moreover, PcAOx-VPN displays no detectable hydrolytic activity, owing to its hydrophobic active site, which effectively excludes water. These characteristics make PcAOx-VPN a promising catalyst for transesterification reactions in aqueous media, a context that is typically compromised by competing hydrolysis.
Similar content being viewed by others
Introduction
Transesterification is a cornerstone transformation in organic chemistry, widely exploited to alter the physical and chemical properties of esters and to enable the synthesis of a broad spectrum of compounds, from pharmaceuticals to biodiesel. Conventional approaches typically rely on aprotic solvents, as water is incompatible due to the prevalence of competing hydrolysis reactions. As a result, the overwhelming majority of catalytic transesterifications are performed in non-aqueous media1,2. An exception is the acyltransferase from Mycobacterium smegmatis (MsAct)3, which has attracted considerable attention owing to its preference for alcohol nucleophiles over water, thereby enabling transesterification in aqueous systems4,5,6,7,8,9,10. Nevertheless, MsAct-mediated reactions remain hampered by hydrolysis as the dominant side reaction2,4,7,11,12,13,14,15,16,17,18, necessitating stringent kinetic control to mitigate product loss (Fig. 1).
Established catalysts such as MsAct promote both the desired transesterification reaction and the (undesired) hydrolysis (black, dotted line). In contrast, the PcAOx presented here catalyses exclusively the transesterification (green, solid line). The grey line represents the thermodynamic equilibrium.
Here, we report an alternative biocatalytic route to transesterification in aqueous media employing an enzyme class not previously associated with this reactivity. Specifically, we identify variants of the flavin-dependent oxidase from Phanerochaete chrysosporium19,20,21 that catalyse transesterification without concomitant hydrolysis.
Results and discussion
PcAOx-VPN exhibits an enlarged substrate scope
Inspired by the foundational work of Fraaije and colleagues utilising PcAOx as oxidation catalyst20,21, our initial objective was to broaden the substrate scope of PcAOx to accommodate sterically bulkier alcohols than the small, primary alcohols typically processed by the wild-type enzyme. Utilising the crystal structure of PcAOx20 as a guide, we identified three sites (M59, Q60, and R61) for saturation mutagenesis. Their position at the active site’s entrance (Fig. 1), potentially obstructing access for larger substrates, rendered them prime candidates for mutagenesis.
By simultaneously randomising positions 59, 60 and 61, we identified the triple mutant M59V-Q60P-R61N (PcAOx-VPN) to oxidise benzyl alcohol (SI 1.3). The purified enzyme (Supplementary Fig. S2) displayed a bright yellow colour, showcasing the distinctive flavin absorption peaks at 359 nm and 457 nm (Supplementary Fig. S3). Relative to the wild-type enzyme, PcAOx-VPN demonstrated markedly increased activity towards bulkier substrates. For instance, its efficacy in catalysing benzyl alcohol oxidation increased over tenfold compared to the wild-type (0.72 U×mg−1 for wt-PcAOx and 7.7 U×mg−1 for PcAOx-VPN, respectively). Simultaneously, its catalytic activity towards methanol diminished from 66.3 U×mg−1 (wt-PcAOx) to 0.16 U×mg−1 (PcAOx-VPN).
To further understand the molecular basis of this change in substrate preference, the crystal structure of PcAOx-VPN was elucidated (SI 2.15). When juxtaposed with the structure of the wild-type enzyme20, it becomes evident that the M59V substitution plays a pivotal role in broadening the substrate scope of PcAOx-VPN (Fig. 2). In the wild-type enzyme, M59 situates W560 directly atop the flavin moiety, obstructing access for bulkier substrates. Conversely, in PcAOx-VPN, W560 adopts an outward flip, thereby creating additional space above the flavin entity.
The red arrow emphasises the reorientation of W560.
PcAOx-VPN catalyses acyl transfer reactions
With the goal of enhancing the solubility of predominantly hydrophobic substrates, we subsequently explored various deep eutectic solvents, such as a blend of propane-1,2-diol, choline chloride, and H2O in a 1:1:1 molar ratio. In this milieu, unforeseen additional peaks emerged in the gas chromatograms of the ethyl acetate-extracted reaction mixtures, which, upon GC/MS analysis, were identified as propane-1,2-diol mono- and diacetates (data shown in the source data file). Notably, these products were solely detected in control reactions involving PcAOx-VPN and subsequent extraction with ethyl acetate, leading us to hypothesise a potential promiscuous acyl transferase activity of PcAOx-VPN. To our knowledge, this represents the first example of a flavoprotein catalysing acyl transfer reaction, and prompted us to divert our focus from the alcohol oxidation capabilities of PcAOx-VPN to investigate this newfound activity.
Control reactions in the absence of or using thermally inactivated PcAOx-VPN did not yield detectable amounts of the ester thereby excluding a possible contribution of trace amounts of imidazole (representing possible contaminants from enzyme purification) in the transacylation reaction. Classical serine hydrolase inhibitors, such as phenylmethylsulfonyl fluoride, did not affect the transesterification activity (Supplementary Fig. S10).
Next, we tested several acyl donors. No esterification activity of PcAOx-VPN was detected when the enzyme was incubated with acetic acid and either 2-phenylethanol or benzyl alcohol; even after extended reaction periods ester formation was absent. This lack of activity is likely due to the acyl donor (acetic acid) being predominantly deprotonated and, consequently, unreactive. Activated vinyl esters22 such as vinyl acetate, isopropenyl acetate, and trifluoroethyl acetate as acyl donors accelerated the esterification reaction of e.g. 2-phenylethanol (Supplementary Fig. S11). Among these, trifluoroethyl acetate clearly outperformed the other acyl donors in terms of product formation. Compared to ethyl acetate, the yield of phenylethyl acetate was ~2.5-fold higher. We attribute this to the higher intrinsic reactivity of trifluoroethyl acetate (kinetic acceleration of the transesterification reaction). But also a more favourable reaction equilibrium likely contributes as with vinyl acetate and isopropenyl acetate, where the by-products readily tautomerise to the corresponding non-reactive carbonyl compounds, higher yields were observed. In view of avoiding halogenated reagents, we proceeded with vinyl acetate as the acyl donor, which afforded approximately double the initial reaction rates and final product concentrations (Supplementary Fig. S12).
An interesting observation was made for the ‘dual-reactivity’ substrate benzyl alcohol, which can be both oxidised and transesterified by PcAOx-VPN. The overall reaction rate remained unchanged, whether benzyl alcohol underwent oxidation alone or both oxidation and transesterification simultaneously (Supplementary Fig. S13). This may hint towards substrate binding being the overall rate-limiting step in the catalytic mechanisms of both benzyl alcohol oxidation and benzyl alcohol transesterification. It is also worth noting that the initial transesterification rate was approximately 5 times higher than the oxidation rate.
Next, we investigated the effect of the reagent concentration on the initial rate of the transesterification of 2-phenylethanol with vinyl acetate (Fig. 3). We chose 2-phenylethanol as acyl acceptor as it was only sluggishly oxidised by PcAOx-VPN (Supplementary Fig. S9).
General conditions: [PcAOx-VPN] = 20 µM, 50 mM NaPi buffer (pH 7.5) containing 5% (v/v) DMSO, 30 °C, 500 rpm. Left: time courses of the ester formation, right: initial rates depending on the varying reagent concentration. a Variation of the acyl donor concentration: c(2-phenylethanol) = 50 mM, c(vinyl acetate) = 50–500 mM; b Variation of the alcohol concentration: c(vinyl acetate) = 250 mM: c(2-phenylethanol) = 25–500 mM. Experiments were performed as technical duplicates (N = 2), no statistical analysis was performed. The initial rates shown were estimated from the linear portion of the time courses, typically within the first 30–60 min, based on 2–3 data points.
For the alcohol substrate a typical saturation-type dependence of the initial reaction rate on the substrate concentration was observed (Fig. 3b). For the acyl donor, however, substrate inhibition was detected (Fig. 3a). Analogous patterns were observed when employing benzyl alcohol as alcohol substrate (Supplementary Fig. S14). As enzyme inactivation by the reactive acetaldehyde by-product (obtained both, from the enzymatic transesterification reaction and from vinyl acetate autohydrolysis (~2.5 mM h−1, Supplementary Fig. S17)) may account for the reduced activity and incomplete conversion, we also tested the influence of different isopropenyl acetate concentrations (Supplementary Fig. S15). Again, a pronounced substrate inhibition was observed. This may be the result of substrate inhibition originating from an ordered bi-bi ping-pong mechanism (Supplementary Fig. S16), in which the alcohol binds first, followed by the acyl donor. However, more detailed kinetic studies are required to confirm this hypothesis.
Notably, ester yields (based on the limiting substrate) generally exceeded 80%, except in cases where both 2-phenylethanol and vinyl acetate concentrations were high (Fig. 3b). Under these conditions, no more than 90 mM of the corresponding 2-phenethyl acetate was obtained. A fully satisfactory explanation is currently lacking; however, product inhibition and reduced enzyme stability in the presence of high concentrations of organic compounds may account for this observation. Further studies will address this issue.
Oxidised PcAOx-VPN catalyses the transesterification reaction
Given that PcAOx-VPN is a flavoprotein, the oxidation state of the enzyme-bound FAD group could impact its transesterification activity. To investigate this, we devised an experiment investigating the transacylase activity of reduced and oxidised PcAOx-VPN (Fig. 4). Under anaerobic reaction conditions and using oxidisable benzyl alcohol as acyl acceptor no benzyl acetate formation was observed in the presence of vinyl acetate (acyl donor) over 4 h of incubation time. Upon introduction of O2 to the reaction mixture, a rapid reoxidation of the flavin cofactor was observed (also visible by the re-formation of the characteristic yellow colour) together with a commencing formation of benzyl acetate.
Reaction conditions: [PcAOx-VPN] = 50 μM, [benzyl alcohol] = [vinyl acetate] = 50 mM in 50 mM NaPi buffer (pH 7.5) containing 5% v/v DMSO, T = 30 °C, 500 rpm. Shortly after addition of the substrates under anaerobic conditions, the reaction mixture decolorised indicating the reduction of the flavin prosthetic group. After 8 h the reaction mixture was exposed to ambient air resulting in an immediate re-formation of the yellow colour typical for oxidised flavins. Experiments were performed as technical duplicates (N = 2), no statistical analysis was performed. For reasons of clarity, benzaldehyde is not shown.
PcAOx-VPN does not catalyse ester hydrolysis
Another unexpected observation was the absence of ester hydrolysis. The concentration of benzyl acetate in the presence of PcAOx-VPN remained essentially unchanged, even after prolonged incubation (Fig. 5), and was unaffected by the addition of 2-phenylethanol. Transesterification occurred only upon addition of vinyl acetate, yielding 2-phenylethyl acetate. Throughout this experiment, neither a significant decrease in benzyl acetate concentration nor the formation of benzyl alcohol or benzaldehyde was detected, indicating that hydrolysis of benzyl acetate did not take place. Further control experiments confirmed these results (Supplementary Fig. S18). It is also noteworthy that 2-phenylethyl acetate was apparently not formed via transesterification of benzyl acetate. This suggests that the active site of PcAOx-VPN may not be sufficiently spacious to simultaneously accommodate both bulky substrates, benzyl acetate and 2-phenylethanol.
Reaction conditions: [PcAOx-VPN] = 20 μM, 50 mM phosphate buffer (pH 7.5) containing 10% v/v DMSO, T = 30 °C, 500 rpm. Phase 1: at t = 0 h 50 mM benzyl acetate was added; phase 2: at t = 4 h 50 mM 2-phenylethanol was added; phase 3: at t = 8 h 50 mM vinyl acetate was added. Experiments were performed as technical duplicates (N = 2)), no statistical analysis was performed.
The absence of hydrolytic activity is consistent with Fraaije’s observation that the enzyme’s active site is effectively impermeable to solvent (i.e. water) molecules20. The active site is lined predominantly by aromatic residues (F101, Y407, F422, W560 and H561), together with the similarly hydrophobic M103, which together account for its pronounced hydrophobic character. In the crystal structure of PcAOx-VPN, no water molecules are observed within 8.2 Å of the flavin cofactor. Analysis with CAVER Analyst23 (Supplementary Fig. S7) likewise confirms the hydrophobic nature of both the active site and the access channel.
Substrate scope of PcAOx-VPN
Next, we performed a preliminary evaluation of the substrate scope of PcAOx-VPN (Fig. 6). As mentioned above, several acyl donors such as ethyl acetate, vinyl acetate, isopropenyl acetate, and trifluoroethyl acetate were accepted by PcAOx-VPN. Also benzyl acetate and 2-phenylethyl acetate were accepted as acyl donors but only if combined with small alcohols (Fig. 6, 1a–4a vs. Fig. 5). The somewhat larger 2-phenylethyl acetate consistently gave lower yields compared to benzyl acetate. In direct comparison (Fig. 6, 4a), vinyl acetate clearly outperformed the latter two acyl donors. Amongst the aliphatic alcohols tested, primary alcohols (1–8) were preferred over the 2-alkanols of the same chain length (17–21). Approx. 2-fold more 4a was formed than 17a whereas the yield of 8a was almost 5 times higher than of 21a. An optimal chain length of 4–5 was observed for aliphatic alcohols. In the case of α,ω-diols, both mono- and diacetylation were observed (as with 1,5-pentanediol, 9). For 1,8-octanediol (10), only the monoacetylated product (10a) was detected, which is presumably due to its lower reactivity.
General conditions: [PcAOx-VPN] = 20 μM, [substrate] = 50 mM in 50 mM KPi buffer (pH 7.5) containing DMSO (5%, v/v) as cosolvent. T = 30 °C, 500 rpm, [vinyl acetate] = 250 mM. Experiments were performed as technical duplicates (N = 2). The values given represent GC-yields estimated via peak areas. Product formation of compound 1–3 was performed indirectly based on the formation of benzyl alcohol and benzaldehyde, respectively. [a] Diester: 12%; [b] aldehyde: 29%; [c] aldehyde: 23%; [d] aldehyde: 19%; [e] aldehyde: 16%; [f] aldehyde: 25%; [g] aldehyde: 21%; [h] starting from racemate, ee was not determined; [i] starting from racemate, E < 48; [j] starting from racemate, E < 75; [k] starting from racemate, E < 61; [l] background subtracted.
We also performed a set of experiments utilising methyl- or nitro- substituted benzyl alcohols (11–13 and 14–16, respectively). With those starting materials, both transesterification and oxidation was observed. With the exceptions of 12 and 13, the ratio of transesterification product to oxidation product was ~2:1. Electron-donating methyl substituents enabled higher reaction rates than electron-withdrawing nitro-substituents for both, the transesterification reaction as well as the concomitant benzylic oxidation reaction. Interestingly, meta-substitution gave the highest activities, which may be attributable to steric effects.
Consistent with findings by Fraaije and co-workers21, an (S)-preference was observed when testing both individual pure enantiomers and the racemate of 1-phenylethanol. In both cases, no significant conversion of (R)-1-phenylethanol was observed, indicating that the transesterification activity is also highly enantioselective (Supplementary Fig. S20). Likewise racemic lactic acid (Supplementary Fig. S21) as well as 3-hydroxy butyric acid (Supplementary Fig. S22) underwent a kinetic resolution when exposed to PcAOx-VPN in the presence of vinyl acetate. E-values ranging from 48 to 75 were estimated.
Docking of the four stereoisomers of the putative tetrahedral intermediates leading to 1-phenylethyl acetate formation into the structure of PcAOx-VPN showed that the intermediates derived from (S)-1-phenylethanol displayed markedly more favourable docking scores than those from the (R)-enantiomer (Supplementary Fig. S8).
We also tested some alternative to alcohols as nucleophiles in the PcAOx-VPN-catalysed acyl transfer. Benzylamine for example, served as nucleophile (Fig. 6, Supplementary Fig. 29a). Due to the considerable extent of spontaneous amidation, a distinct rate acceleration was only observed during the first 30 min of the reaction (Supplementary Fig. S23). Thiols also gave the desired thioester products (Fig. 6, Supplementary Figs. 25a–28a). In this case, however, also a thiol oxidase activity was observed (as judged by GC/MS data, Supplementary Table S4, entry 23).
To evaluate the preparative scope of the proposed PcAOx-VPN-catalysed transesterification, we performed the acetylation of 2-phenylethanol with vinyl acetate on a 25 mmol scale (Supplementary Section 2.12 in the Supplementary Information). Within 12 h approximately the 2-phenethyl acetate yield was 82%, the isolated yield (2.57 g) was 62% (Supplementary Fig. S24).
In summary, PcAOx-VPN readily accepts various activated acetyl donors and exhibits clear preferences among aliphatic and aromatic alcohols, displaying (S)-enantioselectivity. Its reduced activity with bulkier substrates suggests that PcAOx-VPN is particularly well suited to the biocatalytic synthesis of small to medium-sized esters, whereas conversions of larger substrates may be less efficient and could benefit from further enzyme engineering.
M59A/V, H561 and N604 are pivotal for activity
To determine which of the newly introduced mutations contributed to transesterification activity, we individually introduced mutations at positions M59, Q60, and R61 (Fig. 6). Only the variants containing M59A or M59V showed a marked increase in catalytic activity compared to the wild-type parent enzyme (Fig. 7), thereby supporting our structural hypotheses (Fig. 2). The individual or combined introduction of Q60P and R61N into PcAOx did not enhance transesterification activity on their own (Fig. 7b). However, when combined with M59A or M59V, these mutations further increased the enzyme’s catalytic activity (Fig. 7a).
a Mutants involving M59A or M59V, b ‘partial’ VPN mutants containing unaltered M59, c PcAOX-VPN compared to its H561A and N601A mutants. Reaction conditions: [PcAOx] = 20 μM, [benzyl alcohol] = 50 mM, [vinyl acetate] = 250 mM, in 50 mM NaPi buffer (pH 7.5) containing 5% v/v DMSO, T = 30°C, 500 rpm, t = 12 h. Experiments were performed as technical duplicates (N = 2), no statistical analysis was performed.
In addition, we mutated H516 and N604, as these residues have previously been reported as strictly conserved general base/acid catalysts in the oxidation mechanism of wild-type PcAOx (Fig. 6c)20,24. These two residues also proved to be crucial for activity in the PcAOx-VPN-catalysed transesterification reaction.
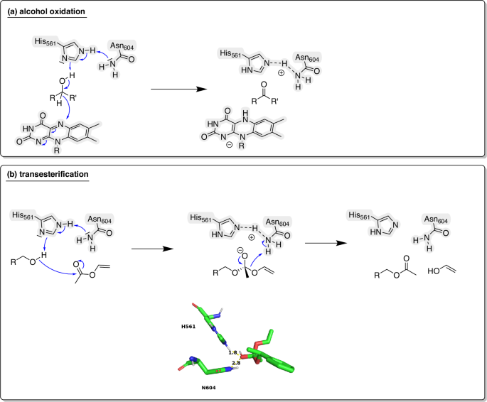
In their natural role as catalytic dyad activating the substrate via alcohol deprotonation His561 acts as general base while Asn604 delocalises the forming positive charge by accepting a hydrogen bond from the pre-existing Nε–H of His561 (Fig. 8a)20,24. In the transesterification reaction, this increases the nucleophilicity of the alcohol for the nucleophilic attack of the ester substrate. The resulting anionic tetrahedral intermediate is likely to be stabilised via electrostatic interaction with the His561/Asn604 cation as well as through H-bonding with Asn604 (Fig. 8b). In subtilisin, an analogous hydrogen-bonding interaction is responsible for an acceleration of ~200–300-fold25. Molecular docking of the putative tetrahedral intermediate arising from the nucleophilic attack of (S)-1-phenylethanol on vinyl acetate revealed highly favourable hydrogen-bonding interactions, with distances of 1.8 and 2.8 Å between the oxyanion and the Nε–H of His561 and the terminal NH2 of Asn604, respectively.
a In the alcohol oxidation, the His/Asn dyad has been proposed to facilitate the hydride abstraction from the alcohol C-H bond. b We propose a similar mechanism, in which deprotonation facilitates the nucleophilic attack of the alcohol on the ester carbonyl group, while the resulting transition state is stabilised through hydrogen bonding and electrostatic interactions. Shown here is the molecular docking of the putative tetrahedral intermediate formed upon the attack of (S)-1-phenylethanol on vinyl acetate.
The role of the oxidised flavin cofactor in the proposed catalytic transesterification mechanism remains uncertain. In flavin-dependent HNLs, where the oxidised flavin is likewise required for the non-redox nucleophilic attack of cyanide on a carbonyl group, it has been suggested that FAD is not directly involved in catalysis. Instead, the observed enzyme inactivation upon cofactor reduction is thought to result primarily from a reversal of the active-site electrostatic potential26. Nevertheless, conformational changes associated with the bent, reduced flavin may also play a role.
The VPN motif can be generalised
To examine whether this transacylation capability was unique to PcAOx-VPN, we investigated two other AOxs from Polyporus arcularius (ParAOx) and Aspergillus flavus (AflAOx), which share sequence similarity with PcAOx (ParAOx: 87% identity; AflAOx: 53% identity). The AlphaFoldIII27-predicted structures of ParAOx and AflAOx were found to be almost superimposable with the crystal structure of PcAOx-VPN (Supplementary Fig. S6).
ParAOx and AflAOx were recombinantly expressed in E. coli BL21(DE3), yielding soluble enzymes with expression levels of 678 and 179 mg × L−1 culture medium for ParAOx and AflAOx, respectively. Their specific activities for methanol oxidation were 3.6 and 1.1 U × mg−1, respectively. Similar to the wild-type PcAOx, native ParAOx and AflAOx displayed only minimal activity towards benzyl alcohol as well as in the transesterification reaction. Consequently, mutants of ParAOx and AflAOx, mirroring the mutations found in PcAOx-VPN, were engineered. Specifically, the mutants ParAOx-M59V-Q60P-R61N and AflAOx-M58V-K59P-L60N (ParAOx-VPN and AflAOx-VPN, respectively) were created. Both ParAOx-VPN and AflAOx-VPN demonstrated transesterification activities comparable to that of PcAOx-VPN, and, notably, the active-site histidine was again pivotal in the transesterification reaction (Fig. 9). We therefore hypothesise that the here reported transesterification activity of a flavin-containing enzyme is rather a general phenomenon than limited to PcAOx.
Reaction conditions: [enzyme] = 20 μM, [benzyl alcohol] = 50 mM, [vinyl acetate] = 250 mM, in 50 mM NaPi buffer (pH 7.5) containing 5% v/v DMSO, T = 30 °C, 500 rpm, t = 12 h. Experiments were performed as technical duplicates (N = 2)), no statistical analysis was performed.
In this study, we unveil a yet unknown transesterification activity of flavin-dependent oxidases, marking a significant departure from their known functions. To our knowledge, this ‘promiscuous activity’ represents a facet of flavoenzyme catalysis not previously documented. In hindsight, this activity is not completely unexpected. The mechanism of FAD-containing alcohol oxidases comprises the activation of the alcohol OH group to facilitate hydride abstraction. This partially deprotonated OH group, however also exhibits higher nucleophilicity thereby preparing it for nucleophilic reactions such as the attack at a ester functionality.
The intrinsic hydrophobicity of the active site in PcAOx plays a pivotal role in kinetically restricting water nucleophile access, effectively minimising unwanted hydrolysis reaction. This unique characteristic facilitates the execution of transesterifications in aqueous environments, eliminating the necessity for kinetic reaction control. This discovery not only broadens our understanding of flavin-dependent oxidases but also opens new avenues for the application of these enzymes in ester synthesis.
Methods
Enzyme preparation
Recombinant cells expressing PcAOx were grown in LB medium with kanamycin (50 µg × mL−1) at 37 °C to OD600 ≈ 0.8 and used (10 mL into 500 mL) to inoculate TB medium (1% glucose, 50 µg × mL−1 kanamycin). At OD600 0.8–0.9, cultures were shifted to 20 °C, induced with 0.5 mM IPTG for 20 h, harvested by centrifugation, washed, and stored at –80 °C. Frozen cells (10% w/v) were resuspended in lysis buffer (50 mM potassium phosphate, pH 7.8, 400 mM NaCl, 100 mM KCl, 40 mM imidazole, 100 µM FAD), lysed by sonication, and clarified by centrifugation. The supernatant was applied to Ni2+-NTA, PcAOx was eluted with a 40–500 mM imidazole gradient, desalted into 50 mM potassium phosphate (pH 7.5), analysed by SDS–PAGE, and stored at –80 °C.
Transesterification reactions
Analytical-scale PcAOx-VPN–catalysed transesterifications were carried out in 50 mM sodium phosphate buffer (pH 7.5) containing 5–10% (v/v) DMSO at 30 °C and 500 rpm. PcAOx-VPN was used at 20–50 µM, and substrate concentrations were as indicated in the main text, added from DMSO stock solutions (50 µL per reaction). Buffer, substrate and cosolvent were premixed, and reactions were initiated by addition of the enzyme. Unless stated otherwise, reactions were performed under ambient atmosphere and monitored by time-course analysis.
For preparative-scale synthesis, PcAOx-VPN (20 µM), 2-phenylethanol (50 mM) and vinyl acetate (50 mM) were incubated in 500 mL sodium phosphate buffer (50 mM, pH 7.5, 5% v/v DMSO) at 30 °C and 300 rpm for 12 h in a 1 L round-bottom flask under ambient atmosphere. The reaction mixture was filtered and extracted twice with ethyl acetate (250 mL each). Combined organic phases were dried over anhydrous Na2SO4 and concentrated by rotary evaporation at 40 °C. The crude product was purified by short-path distillation at <1 Pa, sequentially heating to 40 °C (removal of residual solvents), 80 °C (removal of 2-phenylethanol) and finally 120 °C to collect phenethyl acetate. From a theoretical yield of 3.38 g, 2.57 g of purified phenethyl acetate was obtained.
Reporting summary
Further information on research design is available in the Nature Portfolio Reporting Summary linked to this article.
Data availability
All data are available in the main text or the supplementary information file, and from the corresponding author(s) upon request. Primary data such as chromatograms are available from Y.M. Crystallographic data has been deposited (9V6K [https://www.rcsb.org/structure/unreleased/9V6K]). The accession numbers for the two newly identified AOx are: ParAOx: TFK81242.1 [https://www.ncbi.nlm.nih.gov/protein/TFK81242.1/]. AflAOx: XP_041142246.1 [https://www.ncbi.nlm.nih.gov/protein/XP_041142246.1/]. Source data are provided with this paper.
References
Bornscheuer, U. & Kazlauskas, R. Hydrolases in Organic Synthesis, 2nd edn. Wiley-VCH (2006).
Müller, H., Terholsen, H., Godehard, S. P., Badenhorst, C. P. S. & Bornscheuer, U. T. Recent insights and future perspectives on promiscuous hydrolases/acyltransferases. ACS Catal. 11, 14906–14915 (2021).
Mathews, I. et al. Structure of a novel enzyme that catalyzes acyl transfer to alcohols in aqueous conditions. Biochemistry 46, 8969–8979 (2007).
Cannazza, P., Donzella, S., Pellis, A. & Contente, M. L. Mycobacterium smegmatis acyltransferase: the big new player in biocatalysis. Biotechnol. Adv. 59, 107985 (2022).
Jost, E. et al. Variants of the acyltransferase from Mycobacterium smegmatis enable enantioselective acyl transfer in water. ACS Catal. 10, 10500–10507 (2020).
Godehard, S. P., Badenhorst, C. P. S., Müller, H. & Bornscheuer, U. T. Protein engineering for enhanced acyltransferase activity, substrate scope, and selectivity of the Mycobacterium smegmatis acyltransferase MsAcT. ACS Catal. 10, 7552–7562 (2020).
Mestrom, L., Claessen, J. G. R. & Hanefeld, U. Enzyme-catalyzed synthesis of esters in water. ChemCatChem. 11, 2004–2010 (2019).
Contente, M. L., Pinto, A., Molinari, F. & Paradisi, F. Biocatalytic N-acylation of amines in water using an acyltransferase from Mycobacterium smegmatis. Adv. Synth. Catal. 360, 4814–4819 (2018).
von Haugwitz, G. et al. Synthesis of modified poly(vinyl alcohol)s and their degradation using an enzymatic cascade. Angew. Chem. Int. Ed. 62, e202216962 (2023).
Perdomo, I. C. et al. Efficient enzymatic preparation of flavor esters in water. J. Agric. Food Chem. 67, 6517–6522 (2019).
Carvalho, H. F., Mestrom, L., Hanefeld, U. & Pleiss, J. Beyond the chemical step: the role of substrate access in acyltransferase from Mycobacterium smegmatis. ACS Catal. 14, 10077–10088 (2024).
Baumert, B. et al. Promiscuous acyltransferases for ester and amide synthesis in aqueous solution. Catal. Today 442, 114925 (2024).
Rudzka, A., Reiter, T., Kroutil, W. & Borowiecki, P. Bienzymatic dynamic kinetic resolution of secondary alcohols by esterification/racemization in water. Angew. Chem. Int. Ed. 64, e202420133 (2025).
Müller, H. et al. Sequence-based prediction of promiscuous acyltransferase activity in hydrolases. Angew. Chem. Int. Ed. 59, 11607–11612 (2020).
Kazemi, M., Sheng, X., Kroutil, W. & Himo, F. Computational study of Mycobacterium smegmatis acyl transferase reaction mechanism and specificity. ACS Catal. 8, 10698–10706 (2018).
de Leeuw, N. et al. Ester synthesis in water: Mycobacterium smegmatis acyl transferase for kinetic resolutions. Adv. Synth. Catal. 360, 242–249 (2018).
Annunziata, F., Contente, M. L., Pinna, C., Tamborini, L. & Pinto, A. Biocatalyzed flow oxidation of tyrosol to hydroxytyrosol and efficient production of their acetate esters. Antioxidants 10, 1142 (2021).
Zdun, B. et al. Chemoenzymatic synthesis of optically active alcohols possessing 1,2,3,4-tetrahydroquinoline moiety employing lipases or variants of the acyltransferase from Mycobacterium smegmatis. Catalysts 12, 1610 (2022).
Linke, D., Lehnert, N., Nimtz, M. & Berger, R. G. An alcohol oxidase of Phanerochaete chrysosporium with a distinct glycerol oxidase activity. Enz. Microb. Technol. 61-62, 7–12 (2014).
Nguyen, Q.-T. et al. Structure-based engineering of Phanerochaete chrysosporium alcohol oxidase for enhanced oxidative power toward glycerol. Biochem. 57, 6209–6218 (2018).
Martin, C., Trajkovic, M. & Fraaije, M. W. Production of hydroxy acids: selective double oxidation of diols by flavoprotein alcohol oxidase. Angew. Chem. Int. Ed. 59, 4869–4872 (2020).
Paravidino, M. & Hanefeld, U. Enzymatic acylation: assessing the greenness of different acyl donors. Green. Chem. 13, 2651–2657 (2011).
Chovancova, E. et al. CAVER 3.0: a tool for the analysis of transport pathways in dynamic protein structures. PLoS Comput. Biol. 8, e1002708 (2012).
Rotsaert, F. A. J., Renganathan, V. & Gold, M. H. Role of the flavin domain residues, His689 and Asn732, in the catalytic mechanism of cellobiose dehydrogenase from Phanerochaete chrysosporium. Biochem. 42, 4049–4056 (2003).
Bryan, P., Pantoliano, M. W., Quill, S. G., Hsiao, H. Y. & Poulos, T. Site-directed mutagenesis and the role of the oxyanion hole in subtilisin. Proc. Nati. Acad. Sci. 83, 3743–3745 (1986).
Dreveny, I., Kratky, C. & Gruber, K. The active site of hydroxynitrile lyase from Prunus amygdalus: modeling studies provide new insights into the mechanism of cyanogenesis. Prot. Sci. 11, 292–300 (2002).
Abramson, J. et al. Accurate structure prediction of biomolecular interactions with AlphaFold 3. Nature 630, 493–500 (2024).
Acknowledgements
This work was supported by the Program of Natural Science Foundation of China (32402025, B.W.) and the European Union (ERC, PeroxyZyme, No 101054658, F.H.). Views and opinions expressed are however those of the authors only and do not necessarily reflect those of the European Union or the European Research Council. Neither the European Union nor the granting authority can be held responsible for them.
Author information
Authors and Affiliations
Contributions
B.W. designed the study and performed experiments; C.F. was responsible for the crystallographic study; L.R. and E.A.P. performed in silico experiments; C.D, Y.W. and T.H. performed experiments; U.H. was involved in data interpretation and manuscript formulation; F.H. and Y.M. designed experiments and analysed and interpreted experimental data, Y.W. directed the whole project. All authors contributed to the manuscript preparation.
Corresponding authors
Ethics declarations
Competing interests
The authors declare that they have no known competing financial interests or personal relationship that could have appeared to influence the work reported in this paper. Guangdong Youmei Institute of Intelligent Bio-manufacturing Co., Ltd provided some experimental instruments for testing during the whole experiment process. Guangdong Youmei Institute of Intelligent Bio-manufacturing Co., Ltd declares no commercial interest in the results reported in this study.
Peer review
Peer review information
Nature Communications thanks Paweł Borowiecki, Joerg H. Schrittwieser and the other anonymous reviewer for their contribution to the peer review of this work. A peer review file is available.
Additional information
Publisher’s note Springer Nature remains neutral with regard to jurisdictional claims in published maps and institutional affiliations.
Source data
Rights and permissions
Open Access This article is licensed under a Creative Commons Attribution 4.0 International License, which permits use, sharing, adaptation, distribution and reproduction in any medium or format, as long as you give appropriate credit to the original author(s) and the source, provide a link to the Creative Commons licence, and indicate if changes were made. The images or other third party material in this article are included in the article's Creative Commons licence, unless indicated otherwise in a credit line to the material. If material is not included in the article's Creative Commons licence and your intended use is not permitted by statutory regulation or exceeds the permitted use, you will need to obtain permission directly from the copyright holder. To view a copy of this licence, visit http://creativecommons.org/licenses/by/4.0/.
About this article
Cite this article
Wu, B., Ma, Y., Feng, C. et al. Engineered alcohol oxidases catalyse transesterification in aqueous media without competing hydrolysis. Nat Commun 17, 2183 (2026). https://doi.org/10.1038/s41467-026-68899-y
Received:
Accepted:
Published:
Version of record:
DOI: https://doi.org/10.1038/s41467-026-68899-y











